DOI:
10.1039/D5MD00902B
(Research Article)
RSC Med. Chem., 2026,
17, 658-675
Developing pyrazole–oxadiazole conjugates as potent anti-tubercular agents: an in silico and in vitro approach
Received
10th October 2025
, Accepted 9th November 2025
First published on 10th December 2025
Abstract
Decaprenylphosphoryl-beta-D-ribose 2′-oxidase (DprE1) is a unique enzyme in Mycobacterium tuberculosis (Mtb) essential for the synthesis of the cell wall constituent arabinan. It converts decaprenyl phosphoryl ribose (DPR) to decaprenyl phosphoryl arabinose (DPA) with DprE2. Inhibition of DprE1 affects the integrity of the cellular membrane, causing cell wall rupture, leakage of cellular contents, and ultimately, cell death. Structural analysis of the DprE1 binding site reveals three binding regions: hydrophobic head region, planar core nucleus, and solvent-accessible tail region. Based on these structural features and reported inhibitors, structure-based drug design (SBDD) was employed to design and develop 22 novel pyrazole–oxadiazole conjugates (PO1–PO22), combining a hydrophobic pyrazole and planar oxadiazole connected to an amide linker. The designed compounds were synthesized and evaluated for antitubercular activity against the Mtb H37Rv strain using the Microplate Alamar Blue (MAB) assay. Among them, PO3 and PO4 exhibited potent activity with MIC values of 0.24 and 0.53 μM, respectively, better than the known DprE1 inhibitor TCA-1 (MIC 0.66 μM). Six compounds with MICs < 2.5 μM were further screened for DprE1 inhibition. PO3 and PO4 showed IC50 values of 32.7 ± 6.0 and 39.2 ± 7.3 μM, suggesting DprE1 may not be their primary target. Molecular dynamics simulations (200 ns) supported the limited stability of DprE1–ligand complexes. Notably, the active compounds displayed excellent safety (IC50 > 500 μM) in NIH/3T3 fibroblast cytotoxicity assays. Overall, the pyrazole–oxadiazole conjugates represent promising anti-Mtb agents, likely acting through multi-target mechanisms within the pathogen.
1. Introduction
Tuberculosis (TB) is one of the deadliest infectious diseases that requires a combination of medications for multiple months.1 The causative organism, Mycobacterium tuberculosis (Mtb), is profoundly resistant to different classes of drugs used to treat TB.2 It is concerning that Mtb can develop mutations, leading to resistance to the drugs currently used for tuberculosis.3 Approximately 5% of the total TB cases are multidrug-resistant, accounting for nearly 50
000 new cases every year.4 This scenario highlights the need for the development of novel drug molecules with better potency, improved drug characteristics, and compatibility with existing anti-TB drugs. Advances in proteomics and genomics have led to the identification of numerous Mtb proteins that can be targeted to develop anti-TB drug candidates.5 Few proteins are promising because of their crucial involvement in bacterial replication and survival, namely the QCrB subunit of cytochrome bc1 oxidase,6 MmpL3-trehalose dimycolate transporter,7 and DprE1-subunit of decaprenylphosphoryl-β-D-ribofuranose epimerase involved in cell wall arabinan synthesis.8 Diverse chemical scaffolds that bind to these target proteins and elicit drug action have been identified, and many of the potent molecules are in the clinical trial pipeline.9 Among these molecules, a few that target DprE1 have profound anti-TB potency at nanomolar concentrations and are compatible with other anti-TB drugs.10
The development of small-molecule therapeutics against tuberculosis is an ideal strategy for eradicating the disease. Medicinal chemists have been utilizing heterocyclic moieties to develop efficient drug candidates that can address the issues of tuberculosis treatment.11 Five- and six-membered heterocyclic moieties are popular among chemists because of their ease of synthesis and varied biological responses.12 Heterocycles containing nitrogen, oxygen, and sulfur atoms are profound in drug design because of their electronic properties and derivatization potential.13 Oxadiazole is a heterocycle whose derivatives exhibit biological responses against various disease conditions, including tuberculosis.14–17
Decaprenylphosphoryl arabinofuranose (DPA) is an arabinose donor used as a substrate by Emb and Aft (arabinofuranose transferase families) for the synthesis of lipoarabinomannan (LAM) and arabinogalactan (AG), which are essential constituents of the Mtb cell wall.18 Decaprenylphosphoryl-β-D-ribose 2′-epimerase (DprE1 and DprE2) is essential for Mtb growth as it catalyze the synthesis of DPA from decaprenylphosphoryl ribose (DPR).19 A study on mutant Mtb that lacks arabinan in the cell wall found that DprE1 can be a vulnerable Mtb target due to toxic accumulation of DPR in the cell, rather than Mtb's arabinan essentiality.20 The conversion of DPR to DPA involves a two-step process. DprE1 oxidizes DPR to decaprenylphosphoryl-2-keto-β-D-erythropentofuranose (DPX) through the associated reduction of the cofactor FAD, which is non-covalently bound to the target.21 Furthermore, DPX is reduced to DPA by DprE2 with the aid of reduced nicotinamide adenine dinucleotide phosphate (NADPH) or NADH.22 The enzymes DprE1 and DprE2 were found to be periplasmic, not integrated, but associated with the membrane of the bacteria. Therefore, epimerization possibly occurs in the periplasm of the cell membrane.20
Structural studies of DprE1s' crystals (protein data bank (PDB) structures), along with their inhibitors, revealed that the binding site of DprE1 is composed of three sub-regions, like the hydrophobic head region, the planar core nucleus, and a solvent accessible tail portion.8,23,24 Most of the reported DprE1 inhibitors complement these structural features.8 In 2016, Karabanovich et al. reported structural hybrids of dinitrobenzyl and 1,3,4-oxadiazole as potent, selective, safe, and anti-multidrug-resistant tuberculosis agents with a low MIC of 0.03 μM and predicted them as DprE1 inhibitors through in silico analysis.25 However, the dinitro substitution in the benzyl ring of the reported structures possibly causes covalent inhibition and deals with target mutation/off-target interactions. We hypothesized that structural modification of these compounds, considering the structural components of the reported non-covalent DprE1 inhibitors, could generate better anti-tubercular agents. Therefore, we considered planar oxadiazole as the central core while incorporating hydrophobic 3,5-dimethyl pyrazole complementary to the head region of the binding site. The literature emphasizes the interactions in the hydrophobic regions and their influence on DprE1–ligand complex stability and ligand affinity.
In this study, we considered the structural features of the DprE1s' binding site, molecular features of non-covalent DprE1 inhibitors, and the binding mode for modelling structural conjugates of oxadiazole and pyrazole moieties as non-covalent DprE1 inhibitors. A schematic representation of this study is presented in Fig. 1.
 |
| | Fig. 1 Schematic representation of the work. | |
2. Experimental
2.1. Materials and methods
Reactions were performed using solvents and chemicals procured from reputed commercial sources and used without further purification. Certain solvents were dried prior to use according to procedures reported in the literature.26 The reaction progress was tracked by thin-layer chromatography (TLC) using a readily available TLC plate (Gel-60) from Merck. The uncorrected melting point of the target compounds was ascertained using a digital melting point apparatus (LAB INDIA). A Bruker ATR (Nicolet) was used to obtain the IR spectra of the target compounds and the intermediates. 1H and 13C-NMR of the intermediates and target compounds were obtained using a Bruker NMR (400 Hz) with deuterated DMSO (DMSO-d6). A Waters LC-MS (Acquity UPLC/Xevo G2-XS Qtof) was used for the HRMS of the target compounds. In vitro experiments were carried out using reagents such as minimum essential medium (MEM) and Middlebrook 7H9 broth (base) (Sigma Aldrich, St. Louis, USA), Alamar blue reagent (for cell viability) from Thermo Fisher Scientific (Massachusetts), and MTT reagent from HiMedia Laboratory (Bengaluru, Karnataka, India).
2.2.
In silico drug likeness screening
Biovia Discovery Studio version 2020 (Dassault Systèmes, France) provides drug-likeness characteristics of designed compounds based on physicochemical properties and absorption, distribution, metabolism, and elimination (ADME) profiles. Drug-like molecules satisfy ‘Lipinski's rule of 5’, which states that these compounds have appreciable absorption–permeation characteristics if their molecular weight is below 500 g mol−1; the hydrogen bond donor count and log
P value are below 5, and the hydrogen bond acceptor count does not exceed 10.27 The ADMET model of Discovery Studio predicted the ADME profile of the compounds, which included solubility, blood–brain barrier (BBB) penetration, cytochrome P450 (CYP) inhibition, and human intestinal absorption. Each parameter of the model was assigned to different ranges or levels of severity.
2.3. Molecular docking
Biovia Discovery Studio version 2020 was used for molecular docking studies of the 3-dimensional structure of the DprE1 protein and designed molecules. We compared the docking interactions of the protein–ligand complex with those of the protein–co-crystal ligand. The docking protocol involves mainly 4 steps: protein preparation and binding site identification, ligand preparation, docking, and binding energy calculation. The PDB IDs of the protein of interest (DprE1) were downloaded from the RCSB Protein Data Bank in pdb format. The PDB was filtered based on parameters such as resolution, method of crystallization, source organism, and presence/appropriateness of the co-crystal ligand. The downloaded PDB (4PFD) was preprocessed before protein preparation to retain the protein with a particular chain of interest, with the co-crystal ligand. Protein preparation included the addition of hydrogen, the addition of missing loops, and energy minimization using the CHARMM force field. The binding cavity for docking was defined based on the 3-dimensional structure of the co-crystal ligand within the protein. Ligands were prepared using the ligand preparation tool in DS, which converts 2D structures into 3D structures. The prepared proteins and ligands were docked using the CDOCKER algorithm with system-generated conformations of the ligands. The docking results were evaluated based on the scoring functions, namely –CDOCKER energy, –CDOCKER interaction energy, and post-scoring function ‘binding energy’. The lower the energy, the more stable the protein–ligand complex. The critical interactions of the protein–ligand complex were analyzed using 2D interaction analysis generated by the software.28
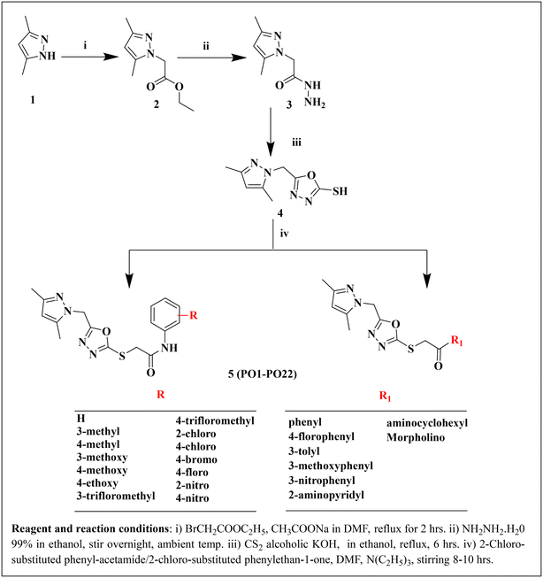
2.4. Synthesis
Intermediates such as 2-(3,5-dimethyl-1H-pyrazol-1-yl)acetate (2) and 2-(3,5-dimethyl-1H-pyrazol-1-yl)acetohydrazide (3) were reported in the literature and synthesized according to the procedures.28
2.4.1. Synthesis of 5-((3,5-dimethyl-1H-pyrazol-1-yl)methyl)-1,3,4-oxadiazole-2-thiol (4).
2-(3,5-Dimethyl-1H-pyrazol-1-yl)acetohydrazide (3, 0.01 mol) and potassium hydroxide (1 mmol) were taken in ethanol. Carbon disulfide (0.01 mol) was then added slowly with stirring. The reaction mixture was then refluxed for 12 h. The completion of the reaction was determined by TLC. The solvent in the reaction mixture was removed via evaporation. The resulting residue was dissolved in water, and the solution was acidified to a pH of 2. The precipitate obtained was washed with water to obtain product (4).
2.4.2. Synthesis of 5-((3,5-dimethyl-1H-pyrazol-1-yl)methyl)-1,3,4-oxadiazole-2-ylthio-N-(aryl/alkyl)acetamide.
5-((3,5-Dimethyl-1H-pyrazol-1-yl)methyl)-1,3,4-oxadiazole-2-thiol (4, 0.0005 mol) was dissolved in dry acetone (25 mL) with mild heating, and an equimolar amount of 2-chloro-N-substituted aryl/alkyl acetamide (0.01 mol), and 2 g of potassium carbonate were added. The reaction mixture was refluxed for 5–6 h. The completion of the reaction was checked by TLC. The reaction mixture was filtered, concentrated, cooled, dried, and recrystallized from ethanol to obtain the compounds (derivatives of 5).
2-((5-((3,5-Dimethyl-1H-pyrazol-1-yl)methyl)-1,3,4-oxadiazol-2-yl)thio)-N-phenylacetamide (PO1).
Yield: 84%, (145 mg), m.p. 194–196 °C, IR (ν cm−1, KBr): 3257 (N–H), 3130 (C–H), 2911 (C–CH3), 1661 (C
O), 1601 (C
N), 1267 (C–N), 1217 (C–O); 1H-NMR ((d6) DMSO, δ ppm): 10.38 (S, 1H, NH), 7.57 (d, J = 7.6, 2H, ArH), 7.34 (t, J = 7.6, 2H, ArH), 7.10 (t, J = 7.2, 1H, ArH), 5.85 (S, 1H, CH), 5.48 (S, 2H, CH2), 4.28 (S, 2H, CH2), 2.24 (S, 3H, CH3), 2.06 (S, 3H, CH3); 13C-NMR ((d6) DMSO, δ ppm) 10.89, 13.70, 37.24, 43.13, 106.04, 119.61, 124.12, 129.31, 139.11, 140.27, 147.67, 164.09, 164.56, 165.01; HR-MS calculated for C16H17N5O2S, 343.11; found 344.1779 [M + H]+.
2-((5-((3,5-Dimethyl-1H-pyrazol-1-yl)methyl)-1,3,4-oxadiazol-2-yl)thio)-N-(m-tolyl)acetamide (PO2).
Yield: 79%, (142 mg), m.p. 198–200 °C, IR (ν cm−1, KBr): 3257 (N–H), 3025 (C–H), 2922 (C–CH3), 1658 (C
O), 1610 (C
N), 1265 (C–N), 1216 (C–O); 1H-NMR ((d6) DMSO, δ ppm): 10.30 (S, 1H, NH), 7.41 (s, 1H, ArH), 7.35 (d, J = 8, 1H, ArH), 7.22 (t, J = 7.6, 1H, ArH), 6.91 (d, J = 7.6, 1H, ArH) 5.85 (S, 1H, CH), 5.48 (S, 2H, CH2), 4.27 (S, 2H, CH2), 2.28 (S, 3H, CH3), 2.23 (S, 3H, CH3), 2.06 (S, 3H, CH3); 13C-NMR ((d6) DMSO, δ ppm) 10.89, 13.70, 21.63, 37.25, 43.12, 106.03, 116.81, 120.13, 124.82, 129.13, 138.52, 139.03, 140.27, 147.68, 164.07, 164.56, 164.93; HR-MS calculated for C17H19N5O2S, 357.13; found 358.1971 [M + H]+.
2-((5-((3,5-Dimethyl-1H-pyrazol-1-yl)methyl)-1,3,4-oxadiazol-2-yl)thio)-N-(4-(trifluoromethyl)phenyl)acetamide (PO3).
Yield: 74%, (155 mg), m.p. 244–246 °C, IR (ν cm−1, KBr): 3250 (N–H), 3126 (C–H), 2945 (C–CH3), 1689 (C
O), 1610 (C
N), 1295 (C–N), 1253 (C–O), 1102 (C–F); 1H-NMR ((d6) DMSO, δ ppm): 10.75 (S, 1H, NH), 7.79 (d, J = 8.4, 2H, ArH), 7.71 (d, J = 8.8, 2H, ArH), 5.83 (S, 1H, CH), 5.47 (S, 2H, CH2), 4.32 (S, 2H, CH2), 2.23 (S, 3H, CH3), 2.04 (S, 3H, CH3); 13C-NMR ((d6) DMSO, δ ppm) 10.87, 13.66, 37.20, 43.11, 106.03, 119.56, 120.72, 123.42, 123.66, 123.98, 124.30, 126.11, 126.59, 126.63, 126.67, 128.81, 140.27, 142.62, 147.69, 164.13, 164.46, 165.78; HR-MS calculated for C17H16F3N5O2S, 411.10; found 412.1798 [M + H]+.
N-(4-Bromophenyl)-2-((5-((3,5-dimethyl-1H-pyrazol-1-yl)methyl)-1,3,4-oxadiazol-2-yl)thio)acetamide (PO4).
Yield: 81%, (170 mg), m.p. 197–199 °C, IR (ν cm−1, KBr): 3241 (N–H), 3102 (C–H), 2922 (C–CH3), 1684 (C
O), 1607 (C
N), 1295 (C–N), 1243 (C–O), 546 (C–Br); 1H-NMR ((d6) DMSO, δ ppm): 10.53 (S, 1H, NH), 7.55 (d, J = 6.8, 2H, ArH), 7.51 (d, J = 6.8, 2H, ArH), 5.84 (S, 1H, CH), 5.47 (S, 2H, CH2), 4.27 (S, 2H, CH2), 2.39 (S, 3H, CH3), 2.05 (S, 3H, CH3); 13C-NMR ((d6) DMSO, δ ppm) 10.88, 13.69, 37.17, 43.11, 106.04, 115.74, 121.56, 132.14, 138.45, 140.28, 147.70, 164.10, 164.50, 165.26; HR-MS calculated for C16H16BrN5O2S, 421.02; found 422.1085 [M + H]+, isotope peak at 424.1042.
2-((5-((3,5-Dimethyl-1H-pyrazol-1-yl)methyl)-1,3,4-oxadiazol-2-yl)thio)-N-(3-methoxyphenyl)acetamide (PO5).
Yield: 75%, (140 mg), m.p. 190–195 °C, IR (ν cm−1, KBr): 3208 (N–H), 3060 (C–H), 2972 (C–CH3), 1726 (C
O), 1660 (C
N), 1288 (C–N), 1250 (C–O); 1H-NMR ((d6) DMSO, δ ppm): 10.42 (S, 1H, NH), 7.42 (t, J = 8, 1H, ArH), 7.02 (d, J = 6.4, 1H, ArH), 6.91 (d, J = 6, 1H, ArH), 6.87 (S, 1H, ArH), 5.79 (S, 1H, CH), 4.70 (S, 2H, CH2), 4.18 (S, 2H, CH2), 3.76 (S, 3H, CH3), 2.16 (S, 3H, CH3), 2.06 (S, 3H, CH3); 13C-NMR ((d6) DMSO, δ ppm) 11.09, 13.71, 33.52, 50.42, 55.83, 105.25, 114.61, 114.65, 120.84, 130.19, 136.37, 140.44, 146.59, 159.19, 160.06, 163.82, 171.49; HR-MS calculated for C17H19N5O3S, 373.12; found 374.1930 [M + H]+.
N-(2-Chlorophenyl)-2-((5-((3,5-dimethyl-1H-pyrazol-1-yl)methyl)-1,3,4-oxadiazol-2-yl)thio)acetamide (PO6).
Yield: 76%, (145 mg), m.p. 200–204 °C, IR (ν cm−1, KBr): 3247 (N–H), 3042 (C–H), 2928 (C–CH3), 1673 (C
O), 1586 (C
N), 1281 (C–N), 1241 (C–O), 756 (C–Cl); 1H-NMR ((d6) DMSO, δ ppm): 9.96 (S, 1H, NH), 7.73 (d, J = 8, 1H, ArH), 7.52 (d, J = 8, 1H, ArH), 7.36 (t, J = 7.6, 1H, ArH), 7.23 (t, J = 7.6, 1H, ArH) 5.86 (S, 1H, CH), 5.49 (S, 2H, CH2), 4.35 (S, 2H, CH2), 2.24 (S, 3H, CH3), 2.09 (S, 3H, CH3); 13C-NMR ((d6) DMSO, δ ppm) 10.91, 13.71, 36.69, 43.15, 106.05, 126.23, 126.66, 127.06, 127.97, 130.03, 134.89, 140.27, 147.67, 164.14, 164.43, 165.80; HR-MS calculated for C16H16ClN5O2S, 377.07; found 378.1471 [M + H]+, isotope peak at 380.1439.
2-((5-((3,5-Dimethyl-1H-pyrazol-1-yl)methyl)-1,3,4-oxadiazol-2-yl)thio)-N-(p-tolyl)acetamide (PO7).
Yield: 88%, (156 mg), m.p. 218–220 °C, IR (ν cm−1, KBr): 3230 (N–H), 3108 (C–H), 2915 (C–CH3), 1677 (C
O), 1606 (C
N), 1301 (C–N), 1243 (C–O); 1H-NMR ((d6) DMSO, δ ppm): 10.30 (S, 1H, NH), 7.46 (d, J = 8.4, 2H, ArH), 7.13 (d, J = 8.4, 2H, ArH), 5.85 (S, 1H, CH), 5.48 (S, 2H, CH2), 4.26 (S, 2H, CH2), 2.25 (S, 3H, CH3), 2.24 (S, 3H, CH3), 2.06 (S, 3H, CH3); 13C-NMR ((d6) DMSO, δ ppm) 10.88, 13.69, 20.90, 37.22, 43.12, 106.05, 119.65, 129.66, 133.11, 136.59, 140.28, 147.71, 164.06, 164.59, 164.75; HR-MS calculated for C17H19N5O2S, 357.13; found 358.1971 [M + H]+.
2-((5-((3,5-Dimethyl-1H-pyrazol-1-yl)methyl)-1,3,4-oxadiazol-2-yl)thio)-N-(4-nitrophenyl)acetamide (PO8).
Yield: 84%, (160 mg), m.p. 198–200 °C, IR (ν cm−1, KBr): 3026 (N–H), 3001 (C–H), 2944 (C–CH3), 1737 (C
O), 1694 (C
N), 1530 (N–O), 1281 (C–N), 1230 (C–O); 1H-NMR ((d6) DMSO, δ ppm): 11.00 (S, 1H, NH), 8.25 (d, J = 8.8, 2H, ArH), 7.82 (d, J = 8.8, 2H, ArH), 5.83 (S, 1H, CH), 5.47 (S, 2H, CH2), 4.34 (S, 2H, CH2), 2.23 (S, 3H, CH3), 2.04 (S, 3H, CH3); 13C-NMR ((d6) DMSO, δ ppm) 10.86, 13.66, 37.25, 43.10, 106.04, 119.40, 125.52, 140.29, 142.98, 145.15, 147.72, 164.15, 164.41, 166.16; HR-MS calculated for C16H16N6O4S, 388.10; found 389.1723 [M + H]+.
2-((5-((3,5-Dimethyl-1H-pyrazol-1-yl)methyl)-1,3,4-oxadiazol-2-yl)thio)-N-(4-methoxyphenyl)acetamide (PO9).
Yield: 80%, (150 mg), m.p. 195–197 °C, IR (ν cm−1, KBr): 3292 (N–H), 3079 (C–H), 2934 (C–CH3), 1672 (C
O), 1609 (C
N), 1293 (C–N), 1235 (C–O); 1H-NMR ((d6) DMSO, δ ppm): 10.25 (S, 1H, NH), 7.49 (d, J = 8.8, 2H, ArH), 6.91 (d, J = 8.8, 2H, ArH), 5.86 (S, 1H, CH), 5.48 (S, 2H, CH2), 4.25 (S, 2H, CH2), 2.25 (S, 3H, CH3), 2.06 (S, 3H, CH3); 13C-NMR ((d6) DMSO, δ ppm) 10.89, 13.70, 37.16, 43.13, 55.63, 106.04, 114.41, 121.19, 132.24, 140.27, 147.69, 155.95, 164.06, 164.48, 164.60; HR-MS calculated for C17H19N5O3S, 373.12; found 374.1930 [M + H]+.
N-(4-Chlorophenyl)-2-((5-((3,5-dimethyl-1H-pyrazol-1-yl)methyl)-1,3,4-oxadiazol-2-yl)thio)acetamide (PO10).
Yield: 89%, (169 mg), m.p. 215–218 °C, IR (ν cm−1, KBr): 3170 (N–H), 3093 (C–H), 2970 (C–CH3), 1684 (C
O), 1592 (C
N), 1274 (C–N), 1239 (C–O), 831 (C–Cl); 1H-NMR ((d6) DMSO, δ ppm): 10.53 (S, 1H, NH), 7.60 (d, J = 8.8, 2H, ArH), 7.39 (d, J = 8.8, 2H, ArH), 5.84 (S, 1H, CH), 5.47 (S, 2H, CH2), 4.28 (S, 2H, CH2), 2.24 (S, 3H, CH3), 2.05 (S, 3H, CH3); 13C-NMR ((d6) DMSO, δ ppm) 10.88, 13.69, 37.16, 43.12, 106.04, 121.19, 127.71, 129.23, 138.04, 140.27, 147.69, 164.10, 164.50, 165.23; HR-MS calculated for C16H16ClN5O2S, 377.07; found 378.1471 [M + H]+, isotope peak at 380.1439.
2-((5-((3,5-Dimethyl-1H-pyrazol-1-yl)methyl)-1,3,4-oxadiazol-2-yl)thio)-N-(pyridin-2-yl)acetamide (PO11).
Yield: 82%, (140 mg), m.p. 188–190 °C, IR (ν cm−1, KBr): 3110 (N–H), 3047 (C–H), 2977 (C–CH3), 1690 (C
O), 1597 (C
N), 1322 (C–N), 1282 (C–O); 1H-NMR ((d6) DMSO, δ ppm): 10.88 (S, 1H, NH), 8.35 (m, J = 0.8, 1H, ArH), 8.01 (d, J = 7.6, 1H, ArH), 7.81 (m, J = 7.2, 1H, ArH), 7.15 (m, J = 0.8, 1H, ArH), 5.83 (S, 1H, CH), 5.48 (S, 2H, CH2), 4.34 (S, 2H, CH2), 2.23 (S, 3H, CH3), 2.05 (S, 3H, CH3); 13C-NMR ((d6) DMSO, δ ppm) 10.88, 13.69, 37.04, 43.12, 106.01, 113.92, 120.23, 138.80, 140.26, 147.68, 148.54, 152.04, 164.11, 164.47, 166.00; HR-MS calculated for C15H16N6O2S, 344.11; found 345.1735 [M + H]+.
2-((5-((3,5-Dimethyl-1H-pyrazol-1-yl)methyl)-1,3,4-oxadiazol-2-yl)thio)-N-(2-nitrophenyl)acetamide (PO12).
Yield: 81%, (155 mg), m.p. 218–220 °C, IR (ν cm−1, KBr): 3272 (N–H), 3087 (C–H), 2969 (C–CH3), 1738 (C
O), 1692 (C
N), 1508 (N–O), 1288 (C–N), 1245 (C–O); 1H-NMR ((d6) DMSO, δ ppm): 12.40 (S, 1H, NH), 8.02 (d, J = 7.6, 1H, ArH), 7.79 (t, J = 7.2, 1H, ArH), 7.61 (d, J = 7.6, 1H, ArH), 7.56 (t, J = 7.6, 1H, ArH), 5.83 (S, 1H, CH), 4.98 (S, 2H, CH2), 3.97 (S, 2H, CH2), 2.12 (S, 3H, CH3), 2.07 (S, 3H, CH3); 13C-NMR ((d6) DMSO, δ ppm) 10.86, 13.69, 34.99, 51.16, 105.55, 125.49, 127.57, 128.58, 133.41, 134.42, 140.43, 144.80, 146.48, 168.48, 173.42, 174.27; HR-MS calculated for C16H16N6O4S, 388.10; found 389.1723 [M + H]+.
2-((5-((3,5-Dimethyl-1H-pyrazol-1-yl)methyl)-1,3,4-oxadiazol-2-yl)thio)-N-(4-ethoxyphenyl)acetamide (PO13).
Yield: 87%, (172 mg), m.p. 222–224 °C, IR (ν cm−1, KBr): 3262 (N–H), 3052 (C–H), 2975 (C–CH3), 1661 (C
O), 1601 (C
N), 1294 (C–N), 1250 (C–O); 1H-NMR ((d6) DMSO, δ ppm): 10.23 (S, 1H, NH), 7.47 (d, J = 8.8, 2H, ArH), 6.89 (d, J = 8.8, 2H, ArH), 5.86 (S, 1H, CH), 5.48 (S, 2H, CH2), 4.25 (S, 2H, CH2), 4.01 (q, J = 7.2, 2H, CH2), 2.23 (S, 3H, CH3), 2.06 (S, 3H, CH3), 1.32 (t, J = 7.2, 3H, CH3); 13C-NMR ((d6) DMSO, δ ppm) 10.90, 13.70, 15.13, 37.15, 43.13, 63.56, 106.04, 114.93, 121.17, 132.14, 140.27, 147.68, 155.21, 164.06, 164.45, 164.59; HR-MS calculated for C18H21N5O3S, 387.14; found 388.2159 [M + H]+.
N-Cyclohexyl-2-((5-((3,5-dimethyl-1H-pyrazol-1-yl)methyl)-1,3,4-oxadiazol-2-yl)thio)acetamide (PO14).
Yield: 85%, (157 mg), m.p. 185–190 °C, IR (ν cm−1, KBr): 3308 (N–H), 3067 (C–H), 2924 (C–CH3), 1635 (C
O), 1579 (C
N), 1317 (C–N), 1258 (C–O); 1H-NMR ((d6) DMSO, δ ppm): 8.20 (d, J = 7.6, 1H, NH), 5.87 (S, 1H, CH), 5.47 (S, 2H, CH2), 4.02 (S, 2H, CH2), 3.54 (m, J = 10.0, 1H, cyclohexyl group), 2.25 (S, 3H, CH3), 2.07 (S, 3H, CH3), 1.73 (m, J = 4.4, 4H, cyclohexyl group), 1.30 (m, J = 11.2, 6H, cyclohexyl group); 13C-NMR ((d6) DMSO, δ ppm) 10.91, 13.70, 24.84, 25.60, 32.64, 36.45, 43.14, 48.61, 106.03, 140.26, 147.64, 163.95, 164.64, 165.04; HR-MS calculated for C16H23N5O2S, 349.16; found 350.2268 [M + H]+.
2-((5-((3,5-Dimethyl-1H-pyrazol-1-yl)methyl)-1,3,4-oxadiazol-2-yl)thio)-N-(4-fluorophenyl)acetamide (PO15).
Yield: 86%, (155 mg), m.p. 214–216 °C, IR (ν cm−1, KBr): 3255 (N–H), 2982 (C–H), 2970 (C–CH3), 1659 (C
O), 1618 (C
N), 1365 (C–N), 1285 (C–O), 1217 (C–F); 1H-NMR ((d6) DMSO, δ ppm): 10.45 (S, 1H, NH), 7.58 (m, J = 4.8, 2H, ArH), 7.18 (t, J = 8.8, 2H, ArH), 5.85 (S, 1H, CH), 5.45 (S, 2H, CH2), 4.24 (S, 2H, CH2), 2.23 (S, 3H, CH3), 2.04 (S, 3H, CH3); 13C-NMR ((d6) DMSO, δ ppm) 10.84, 13.64, 36.97, 43.06, 106.10, 115.78, 116.00, 121.49, 121.56, 123.57, 135.38, 135.40, 140.37, 147.81, 157.50, 159.88, 164.07, 164.54, 165.02; HR-MS calculated for C16H16FN5O2S, 361.10; found 362.1751 [M + H]+.
2-((5-((3,5-Dimethyl-1H-pyrazol-1-yl)methyl)-1,3,4-oxadiazol-2-yl)thio)-N-(3-(trifluoromethyl)phenyl)acetamide (PO16).
Yield: 76%, (160 mg), m.p. 251–253 °C, IR (ν cm−1, KBr): 3259 (N–H), 3073 (C–H), 2970 (C–CH3), 1737 (C
O), 1694 (C
N), 1327 (C–N), 1229 (C–O), 1114 (C–F); 1H-NMR ((d6) DMSO, δ ppm): 10.74 (S, 1H, NH), 8.05 (S, 1H, ArH), 7.75 (d, J = 8, 1H, ArH), 7.60 (t, J = 8, 1H, ArH), 7.45 (d, J = 7.6, 1H, ArH), 5.82 (S, 1H, CH), 5.47 (S, 2H, CH2), 4.30 (S, 2H, CH2), 2.23 (S, 3H, CH3), 2.04 (S, 3H, CH3); 13C-NMR ((d6) DMSO, δ ppm) 10.85, 13.64, 37.07, 43.10, 106.02, 115.63, 115.67, 120.49, 120.53, 123.14, 123.19, 125.84, 129.86, 130.17, 130.63, 139.82, 140.28, 147.72, 164.12, 164.46, 165.73; HR-MS calculated for C17H16F3N5O2S, 411.10; found 412.1798 [M + H]+.
2-((5-((3,5-Dimethyl-1H-pyrazol-1-yl)methyl)-1,3,4-oxadiazol-2-yl)thio)-1-morpholinoethan-1-one (PO17).
Yield: 79%, (135 mg), m.p. 190–192 °C, IR (ν cm−1, KBr): 3138 (N–H), 2984 (C–H), 2969 (C–CH3), 1633 (C
O), 1598 (C
N), 1289 (C–N), 1265 (C–O); 1H-NMR ((d6) DMSO, δ ppm): 5.82 (S, 1H, CH), 5.32 (S, 2H, CH2), 4.24 (S, 2H, CH2), 3.69 (m, J = 5.2, 4H, morpholine), 3.53 (m, J = 4.8, 4H, morpholine), 2.27 (S, 3H, CH3), 2.17 (S, 3H, CH3); 13C-NMR ((d6) DMSO, δ ppm) 10.94, 13.44, 36.51, 42.55, 43.16, 46.43, 66.37, 66.59, 106.41, 139.84, 149.00, 162.93, 164.70, 165.45; HR-MS calculated for C14H19N5O3S, 337.12; found 338.1854 [M + H]+.
2-((5-((3,5-Dimethyl-1H-pyrazol-1-yl)methyl)-1,3,4-oxadiazol-2-yl)thio)-1-phenylethan-1-one (PO18).
Yield: 86%, (140 mg), m.p. 188–190 °C, IR (ν cm−1, KBr): 3064 (C–H), 2957 (C–CH3), 1676 (C
O), 1645 (C
N), 1327 (C–N), 1295 (C–O); 1H-NMR ((d6) DMSO, δ ppm): 8.04 (m, J = 5.2, 2H, ArH), 7.73 (m, J = 5.6, 1H, ArH), 7.60 (m, J = 8, 2H, ArH), 5.85 (S, 1H, CH), 5.47 (S, 2H, CH2), 5.09 (S, 2H, CH2), 2.22 (S, 3H, CH3), 2.05 (S, 3H, CH3); 13C-NMR ((d6) DMSO, δ ppm) 10.86, 13.69, 39.34, 43.10, 106.04, 128.89, 129.36, 134.46, 135.47, 140.27, 147.69, 164.03, 164.46, 192.68; HR-MS calculated for C16H16N4O2S, 328.10; found 329.1597 [M + H]+.
2-((5-((3,5-Dimethyl-1H-pyrazol-1-yl)methyl)-1,3,4-oxadiazol-2-yl)thio)-1-(4-methoxyphenyl)ethan-1-one (PO19).
Yield: 80%, (146 mg), m.p. 210–214 °C, IR (ν cm−1, KBr): 3109 (C–H), 2918 (C–CH3), 1667 (C
O), 1599 (C
N), 1311 (C–N), 1270 (C–O); 1H-NMR ((d6) DMSO, δ ppm): 8.02 (d, J = 8.8, 2H, ArH), 7.10 (d, J = 8.8, 2H, ArH), 5.85 (S, 1H, CH), 5.47 (S, 2H, CH2), 5.03 (S, 2H, CH2), 3.87 (S, 3H, CH3), 2.23 (S, 3H, CH3), 2.06 (S, 3H, CH3); 13C-NMR ((d6) DMSO, δ ppm) 10.86, 13.69, 39.35, 43.11, 56.14, 106.04, 114.58, 128.33, 131.33, 140.27, 147.68, 163.98, 164.23, 164.58, 190.95; HR-MS calculated for C17H18N4O3S, 358.11; found 359.1779 [M + H]+.
2-((5-((3,5-Dimethyl-1H-pyrazol-1-yl)methyl)-1,3,4-oxadiazol-2-yl)thio)-1-(p-tolyl)ethan-1-one (PO20).
Yield: 89%, (153 mg), m.p. 204–206 °C, IR (ν cm−1, KBr): 3015 (C–H), 2969 (C–CH3), 1673 (C
O), 1603 (C
N), 1293 (C–N), 1217 (C–O); 1H-NMR ((d6) DMSO, δ ppm): 7.93 (d, J = 8, 2H, ArH), 7.39 (d, J = 7.6, 2H, ArH), 5.85 (S, 1H, CH), 5.45 (S, 2H, CH2), 5.04 (S, 2H, CH2), 2.40 (S, 3H, CH3), 2.22 (S, 3H, CH3), 2.05 (S, 3H, CH3); 13C-NMR ((d6) DMSO, δ ppm) 10.84, 13.66, 21.69, 39.25, 43.07, 79.58, 106.07, 129.00, 129.89, 132.95, 140.31, 145.08, 147.74, 164.53, 192.17; HR-MS calculated for C17H18N4O2S, 342.12; found 343.1799 [M + H]+.
2-((5-((3,5-Dimethyl-1H-pyrazol-1-yl)methyl)-1,3,4-oxadiazol-2-yl)thio)-1-(4-fluorophenyl)ethan-1-one (PO21).
Yield: 74%, (129 mg), m.p. 209–212 °C, IR (ν cm−1, KBr): 3076 (C–H), 2918 (C–CH3), 1682 (C
O), 1671 (C
N), 1304 (C–N), 1231 (C–O) 1159 (C–F); 1H-NMR ((d6) DMSO, δ ppm): 8.13 (m, J = 3.6, 2H, ArH), 7.43 (m, J = 8.8, 2H, ArH), 5.85 (S, 1H, CH), 5.46 (S, 2H, CH2), 5.07 (S, 2H, CH2), 2.25 (S, 3H, CH3), 2.05 (S, 3H, CH3); 13C-NMR ((d6) DMSO, δ ppm) 10.84, 13.65, 39.27, 43.09, 106.06, 116.32, 116.54, 131.95, 132.05, 132.22, 132.25, 140.29, 147.74, 164.04, 164.43, 164.65, 167.16, 191.35; HR-MS calculated for C16H15FN4O2S, 346.09; found 347.1538 [M + H]+.
2-((5-((3,5-Dimethyl-1H-pyrazol-1-yl)methyl)-1,3,4-oxadiazol-2-yl)thio)-1-(4-nitrophenyl)ethan-1-one (PO22).
Yield: 82%, (152 mg), m.p. 215–218 °C, IR (ν cm−1, KBr): 3112 (C–H), 2920 (C–CH3), 1683 (C
O), 1612 (C
N), 1529 (N–O), 1322 (C–N), 1292 (C–O); 1H-NMR ((d6) DMSO, δ ppm): 8.40 (d, J = 8.8, 2H, ArH), 8.27 (d, J = 8.8, 2H, ArH), 5.85 (S, 1H, CH), 5.47 (S, 2H, CH2), 5.15 (S, 2H, CH2), 2.21 (S, 3H, CH3), 2.05 (S, 3H, CH3); 13C-NMR ((d6) DMSO, δ ppm) 10.86, 13.67, 39.35, 43.11, 106.04, 124.41, 130.34, 140.13, 140.27, 147.70, 150.76, 164.16, 164.21, 192.23; HR-MS calculated for C16H15N5O4S, 373.08; found 374.1574 [M + H]+.
2.5.
In vitro anti-tubercular assay
The experiment was performed according to a previously reported procedure.29,30 Middlebrook 7H9 broth culture medium was used for the experiment (100 μl); 200 μl of deionized water was rinsed on the outer perimeter wells of the culture plate (96-well plate) to reduce medium evaporation. Stock solutions of the test compounds were prepared in 100% DMSO at a concentration of 200 μg μl−1. A working solution was prepared from the stock solution at a final concentration of 100 μg ml−1 using 7H9 broth (final concentration of DMSO < 1% v/v). Serial two-fold dilutions of the compounds to be tested (100 to 0.8 μg ml−1) were added to the culture media (100 μL), followed by the addition of bacterial suspension (H37Rv ATCC No. 27294) (100 μL) with a density of ≈3 × 107 CFU ml−1 (turbidity matched with 1 McFarland standard). The culture plate was then enclosed, sealed with Parafilm, and incubated at 37 °C for 5 days. Later, freshly prepared Alamar dye in Tween 80 (1
:
1, 25 μl) was added and incubated for one day. After incubation, the culture plate was visually analyzed; conversion of the pink medium to blue indicated zero bacterial load, whereas the pink medium indicated the growth of the bacterium. The MIC was recorded as the lowest drug concentration that prevented color change from blue to pink. The experiment was repeated for those compounds with an MIC of 0.8 μg ml−1 (upper limit) with modified serial dilutions from 100 μg ml−1 to 0.00312 μg ml−1.
2.6. DprE1 enzyme inhibition assay
DprE1 enzyme inhibition assay was performed as per the reported procedure31 using geranylgeranylphosphoryl-β-D-ribose (GGPR) as the substrate. The reaction progress was measured based on resazurin–resorufin reduction (POLARstar Omega plate reader). Enzyme inhibition assays were conducted in a 384-well black culture plate. The pH of the culture plate was maintained at 7.5 using 50 mM buffer, Hepes (N-(2-hydroxyethyl) piperazine-N′-ethane sulfonic acid), and DMSO (1.5% v/v). NaCl (100 mM), FAD (2 μM), Tween 20 (100 μM), and resazurin (100 μM) were added along with 10 μM of DprE1 and variable concentrations of drug molecules using GGPR (200 μM). An increase in fluorescence was measured to monitor the formation of resorufin at an excitation wavelength of 530 nm and an emission wavelength of 595 nm. Enzyme inhibition studies were performed by measuring DprE1 associated with resazurin using GGPR at various drug concentrations. The experiment was conducted in triplicate, and the IC50 was calculated by plotting resazurin reduced per minute (initial velocities (μM)) against variable drug concentrations.32
2.7. Molecular dynamics simulation
Molecular dynamics simulation was performed for the innate protein (4PFD) and protein–ligand complexes (4PFD–PO3, 4PFD–PO4, 4PFD–PO5, 4PFD–PO7, 4PFD–PO21, and 4PFD–PO22) to understand the stability of the docked complexes for a period of 200 ns using GROMACS 5.1.5. We retained the cofactor FAD within the protein to understand its influence on the stability of the complex. Since it contains a cofactor, we performed the simulation using the CHARMM36 force field for the protein and ligands. The topology of the ligand was recorded using the open-source SwissParam software. Partial mesh Ewald summation (PME) was used to calculate long-range electrostatics (coulombic interactions) along with van der Waals interactions, both with a cut-off distance of 1 nm. The electrical neutrality of the system was maintained using counter ions (Na+/Cl−), and the triclinic box (unit cell) was solvated using the TIP3P model and maintained periodic boundary conditions with protein (1.5 nm from the box wall). The energy minimization of the complex was performed using the steepest descent method (5000 steps, 1000 kJ nm−1 tolerance). The equilibration of the system was performed using position restraints, and the canonical NPT and NVT ensembles were simulated at 1 bar pressure and 300 K temperature for a period of 200 ps. Velocity rescaling was used to perform temperature coupling (coupling constant of 0.1 ps), and initial velocities were determined using the Maxwell distribution. Temperature–pressure coupling was performed using the Parrinello–Rahman barostat algorithm with a 2 ps coupling constant. Thus, the equilibrated system was subjected to a 200 ns production run (MD) with a 2 fs integration time step. Every 500-step trajectory was saved and analyzed using the GROMACS analysis tool (default), and XMGRACE-5.1.25 was used to plot the graph.33
2.8.
In vitro cytotoxicity assay
Compounds with lower MIC in the MAB assay were selected for cytotoxicity studies on fibroblast-NIH/3T3 cells (normal cell lines). The experiment was performed using Dulbecco's modified Eagle medium (DMEM) and 96 well culture plates. Each test well was inoculated with fibroblast-NIH/3T3 cells at a density of 10
000 cells per well. DMEM was added to the 96-well plates, and the plates were upturned onto a filter paper to separate the resilient media and washed adequately with phosphate buffered saline (PBS), followed by sterile water rinsing in the outer perimeter of the 96-well plates to reduce medium evaporation. Stock solutions (100 μg μl−1) of the test compounds were prepared using 100% DMSO, followed by working solutions at a final concentration of 500 μM (final volume of DMSO 0.66% v/v). Thereafter, two-fold serial dilutions (500 μM to 15.62 μM) (100 μl) of the test compounds were added to the media and incubated for 2 days, after which the supernatant was removed and washed with phosphate-buffered saline (PBS). MTT reagent (50 μl) was added and incubated in the dark at 5% CO2 atmosphere, 37 °C for 4 h. The formazan crystals formed were dissolved in 200 μL DMSO and maintained at room temperature for 15 min. Optical density was calculated using an ELISA reader at 560 nm (wavelength), and a graph of compound concentration versus percentage inhibition was plotted.34,35
| Percentage inhibition = 100 – viable cell(%). |
3. Results and discussion
3.1. Design strategy
The proposed compounds were designed based on insights from the literature25 and our lab's previous work on benzothiazinone, benzimidazole, pyrazole, isoxazole, and triazole as anti-tubercular agents.28,36,37 Moreover, an elaborate study of the structural features of DprE1 highlighted the importance of the central binding pocket, disordered loop II of the enzyme, boomerang binding pose of the reported molecules, hydrophobic cavity, and crucial amino acids in the binding pocket in stabilizing non-covalent inhibitors23 were considered for molecular design. Additionally, the scaffold morphing approach of TCA-1 (a non-covalent DprE1 inhibitor) was used to design molecules that may offer new chemistry based on the molecular features of TCA-1.
3.2.
In silico drug-likeness screening of the designed compounds
The designed compounds were screened for drug-likeness using ‘Lipinski's rule of 5’ and ADMET prediction. Among the screened compounds, none of them violated the Lipinski rule (see section I in the SI). While designing the compounds, we focused on the log
P value because lipophilicity influences the passage of the drug through the cellular membrane of Mtb. The predicted A
log
P values of the compounds ranged from 0.095 to 2.884 (higher values indicate greater lipophilicity). The ADMET model in the Discovery Studio package revealed the predicted solubility, blood–brain barrier (BBB) penetration, cytochrome P450 (CYP) inhibition, and human intestinal absorption (HIA) characteristics of the molecules. The logarithm of the molar solubility (base 10) of the designed molecules ranged from −1.377 to −4.208. The data suggest that the compounds may have optimal (−2 to 0.0) to good solubility (−4.1 to −2) (see section II in the SI). BBB penetration was classified into four levels (high, medium, low, and undefined). Most of the designed compounds were classified as level 3, and a few as level 2; the software could not predict the BBB permeability of compounds PO8, PO12, and PO22. The cytochrome P450 2D6 model of the Discovery Studio predicted that the designed compounds did not inhibit the CYP2D6 enzyme, which is involved in the metabolism of a wide range of substrates in the liver. In addition, HIA levels were shown to be ‘zero’ for every compound, indicating that the compounds may possess good absorption characteristics (see section II in the SI).
3.3. Molecular interaction analysis between DprE1 and designed compounds using docking studies
Here, we selected different PDB IDs of the DprE1 enzyme (4PFD, 5OEP, and 5OEQ) to perform molecular docking based on different non-covalent co-crystal ligands (cBT, TCA481, and TCA020). From the above PDBs, an appropriate one was selected based on the RMSD values of the conformations of co-crystal ligands (generated by the software after re-docking) in comparison with the innate conformation.
RMSD studies.
The root mean square deviation (RMSD) values correlate the similarity of the system-generated conformations to that of the innate conformation of the co-crystal ligand. An RMSD value less than or equal to 2.5 Å is acceptable. 4PFD had an RMSD of <2.1 Å (Table 1). This is one of the methods used to validate the docking. RMSD calculation has an immense influence on the reliability of docking studies.
Table 1 RMSD calculation of the conformations of the co-crystal ligand generated by the software concerning the conformation of the co-crystal ligand within the PDB 4PFD
| Conformation |
Reference |
RMSD (Å) |
| Reference |
4PFD |
0.00 |
| 1 |
4PFD |
1.23 |
| 2 |
4PFD |
1.33 |
| 3 |
4PFD |
1.03 |
| 4 |
4PFD |
1.50 |
| 5 |
4PFD |
1.07 |
| 6 |
4PFD |
2.01 |
| 7 |
4PFD |
1.06 |
| 8 |
4PFD |
1.14 |
| 9 |
4PFD |
1.05 |
| 10 |
4PFD |
2.05 |
The re-docking of the co-crystal ligand with 4PFD had a binding energy of −85.50 kcal mol−1, with CDOCKER energy and CDOCKER interaction energy of −19.34 and −52.66 kcal mol−1, respectively. Among the screened molecules (22 numbers), the 4PFD–PO7 complex reported the least binding energy of −94.63 kcal mol−1, followed by 4PFD–PO9 with a binding energy of −92.95 kcal mol−1. A few complexes, such as 4PFD–PO3, 4PFD–PO4, 4PFD–PO11, and 4PFD–PO16, had binding energies closer to that of the 4PFD–co-crystal complex (less than five units). The remaining complexes had binding energy values ranging from −75.01 to −38.74 kcal mol−1. The complex 4PFD–PO19 had the highest binding energy of −38.74 kcal mol−1 among the series (Table 2). Interactions such as salt bridges and hydrogen bonds were predominant among non-bonded interactions. The amino acids in the active site of 4PFD, such as LYS:134, ASN:385, and GLN:336, interact with the co-crystal ligand through hydrogen bonds. The complexes with lower binding energies (the best seven compounds) had hydrogen bonds between the respective ligand and the amino acid/s mentioned above. This indicates that these amino acids are crucial in the active site of 4PFD8 (Fig. 2). Specifically, complexes 4PFD–PO4, 4PFD–PO7, 4PFD–PO9, and 4PFD–PO18 showed hydrogen bonding interactions with the amino acids GLN:336 and ASN:385 (Table 3). While analyzing the docking results, more attention was given to the crucial non-bonded interactions rather than the scoring functions. The scoring function is related to the overall interactions, but crucial interactions may reflect biological responses.
Table 2 Docking results of the designed compounds with the DprE1 receptor
|

|
| S no. |
Name |
R group |
Binding energy (kcal mol−1) |
–CDOCKER energy (kcal mol−1) |
–CDOCKER interaction energy (kcal mol−1) |
| 1 |
Co-crystal ligand (4PFD) |
— |
−85.5047
|
19.3498 |
52.6633 |
| 2 |
PO1
|
Phenylamino |
−72.2872 |
10.5663 |
44.08 |
| 3 |
PO2
|
3-Methyl phenylamino |
−58.5132 |
11.9554 |
45.3366 |
| 4 |
PO3
|
4-Trifluromethyl phenylamino |
−80.6869 |
14.2185 |
49.728 |
| 5 |
PO4
|
4-Bromo phenylamino |
−81.2724 |
16.6854 |
53.0052 |
| 6 |
PO5
|
3-Methoxy phenylamino |
−55.7195 |
11.7953 |
51.2169 |
| 7 |
PO6
|
2-Chlorophenylamino |
−60.4452 |
10.089 |
44.8462 |
| 8 |
PO7
|
4-Methyl phenylamino |
−94.6328
|
16.6245 |
52.2625 |
| 9 |
PO8
|
4-Nitro phenylamino |
−71.1647 |
11.5472 |
50.0582 |
| 10 |
PO9
|
4-Methoxy phenylamino |
−92.9577
|
14.6691 |
52.7746 |
| 11 |
PO10
|
4-Chloro phenylamino |
−57.2335 |
12.7039 |
46.8501 |
| 12 |
PO11
|
Pyridine-2-amino |
−83.5505 |
11.8973 |
45.5822 |
| 13 |
PO12
|
2-Nitro phenylamino |
−55.7718 |
5.47084 |
47.7542 |
| 14 |
PO13
|
4-Ethoxy phenylamino |
−59.3603 |
14.4423 |
50.9503 |
| 15 |
PO14
|
Cyclohexyl-1-amino |
−47.5174 |
10.8076 |
45.472 |
| 16 |
PO15
|
4-Fluro phenylamino |
−47.0801 |
10.18 |
44.4137 |
| 17 |
PO16
|
3-Trifluromethyl phenylamino |
−82.2155 |
14.5175 |
50.1926 |
| 18 |
PO17
|
Morpholine |
−73.1717 |
6.53981 |
42.754 |
| 19 |
PO18
|
Phenyl |
−75.0183 |
15.1318 |
50.1824 |
| 20 |
PO19
|
4-Methoxy phenyl |
−38.7456 |
9.38462 |
46.3143 |
| 21 |
PO20
|
4-Methyl phenyl |
−54.9435 |
11.8987 |
46.1822 |
| 22 |
PO21
|
4-Fluro phenyl |
−65.9416 |
14.2506 |
50.0436 |
| 23 |
PO22
|
4-Nitro phenyl |
−70.3257 |
6.35687 |
46.098 |
 |
| | Fig. 2 A) Protein–ligand interaction of the co-crystal ligand (cBT) and DprE1 enzyme (PDB: 4PFD). B) Protein–ligand interaction of compound PO7 with DprE1 enzyme (PDB: 4PFD). | |
Table 3 The amino acids interacting with the ligand molecules within the active site of DprE1 enzyme (PDB: 4PFD)
| S no. |
Cpd code |
Binding energy (kcal mol−1) |
Interacting amino acids |
|
(H) represents the hydrogen bond.
|
| 1 |
Co-crystal ligand (4PFD) before docking |
Nil |
LYS:134 (H),aASN:385 (H),aGLN:336 (H)a |
| FAD:501, CYS:387, HOH:669, HOH:688, HOH:689 |
| 2 |
Co-crystal ligand (4PFD) after docking |
−85.5047 |
LYS:418 (H),aASN:385 (H),aGLN:336 (H),aLYS:134 (H),aFAD:501 (H)a |
| LYS:367, HIS:132, GLY:133, CYS:387, SER:228, TYR:314, VAL:365, GLY:117, GLY:334 |
| 3 |
PO7
|
−94.6328 |
LYS:418 (H),aASN:385 (H),aGLN:336 (H)a |
| VAL:365, LYS:367, LEU:317, LYS:134, TYR:314, HIS:132, FAD:501 |
| 5 |
PO9
|
−92.9577 |
LYS:418 (H),aGLN:336 (H),aASN:385 (H)a |
| FAD:501, LYS:367, LYS:134, VAL:365, LEU:317, SER:228 |
| 7 |
PO11
|
−83.5505 |
FAD:501, LYS:367, HIS:132, TYR:314, VAL:365, LEU:317, LEU:363, LYS:418, CYS:387 |
| 8 |
PO16
|
−82.2155 |
LYS:418 (H)
|
| LYS:134, FAD:501, VAL:365, LEU:363, CYS:387, PRO:316 |
| 10 |
PO4
|
−81.2724 |
LYS:418 (H),aGLN:336 (H),aASN:385 (H)a |
| FAD:501, LEU:317, TRP:230, LYS:134, VAL:365, HIS:132, LYS:367 |
| 11 |
PO3
|
−80.6869 |
LYS:418 (H),aASN:385 (H)a |
| HIS:132, GLY:133, LYS:367, CYS:387, ASP:389, MET:319, LEU:363, PRO:316, FAD:501, VAL:365 |
| 12 |
PO18
|
−75.0183 |
GLN:336 (H),aASN:385 (H),aLYS:418 (H)a |
| HIS:132, LYS:367, VAL:365, LEU:317, LYS:134, SER:228 |
3.4. Chemistry
Scheme 1 illustrates the synthesis of pyrazole-linked oxadiazole derivatives. Intermediates like 2-(3,5-dimethyl-1H-pyrazol-1-yl)acetate (2) and 2-(3,5-dimethyl-1H-pyrazol-1-yl)acetohydrazide (3) shown in Scheme 1 were synthesized as per the reported literature.28 Intermediate 3 upon treatment with carbon disulfide in the presence of alcoholic potassium hydroxide and later acidification yielded 5-((3,5-dimethyl-1H-pyrazol-1-yl)methyl)-1,3,4-oxadiazole-2-thiol (4). Thus, the formed pre-final compounds were treated with N-substituted aryl/heteroaryl acetamides/C-substituted aryl ethan-1-one to obtain different derivatives of the final structures (5). Synthesized target compounds were characterized using spectral analysis such as IR, 1H-NMR, 13C-NMR, and mass spectroscopy.
 |
| | Scheme 1 Synthetic route for the designed compounds. | |
2-(3,5-Dimethyl-1H-pyrazol-1-yl)acetate had IR absorption bands at 1205 cm−1 for C–O stretching and 1740 cm−1 for ester carbonyl, and a C–H stretching peak was observed at 2983 cm−1. The NMR spectrum confirmed the formation of 2-(3,5-dimethyl-1H-pyrazol-1-yl)acetate by the presence of a quartet and a triplet of the methylene and methyl groups in the ester (between 1.15 and 1.45), as two singlets were found at 2.03 and 2.10 ppm, corresponding to the dimethyl substitution in the pyrazole ring. The formation of the acid hydrazides of 2-(3,5-dimethyl-1H-pyrazol-1-yl)acetate was confirmed by the IR spectrum of intermediate 3, which shows an NH stretching peak at 3311 cm−1. Further, 1H-NMR confirms the formation of 3 with the presence of an NH peak at 9.22 ppm, and the absence of the methylene and methyl peaks of the ester is evident.
5-((3,5-Dimethyl-1H-pyrazol-1-yl)methyl)-1,3,4-oxadiazole-2-thiol (4) had an IR absorption peak at 1556 cm−1 corresponding to the C
N group, and peaks at 2727 cm−1 reflect the presence of the C–S group. The absence of CO–NH and NH2 groups in the NMR spectrum and a broad peak resonating at 13.45 ppm for the thiol group confirm the cyclization of acid hydrazide to the oxadiazole derivative (4). The formation of the final compounds (PO1–PO22) was confirmed by IR absorption peaks for the carbonyl group between 1633 cm−1 and 1738 cm−1. Furthermore, NMR spectroscopy confirmed the formation of target structures by the presence of an NH group (PO1–PO16) and an additional four or five aromatic protons in the aromatic region, corresponding to N-substituted aryl/heteroaryl acetamides (PO1–PO17) or C-substituted aryl ethan-1-ones (PO18–PO22). All the synthesized compounds were solids, and the percentage yield was calculated after the purification process using the formula: percentage yield = (practical yield/theoretical yield) × 100. The spectra of the target compounds are included in the SI.
3.5. Determination of the MIC of the synthesized compounds using the in vitro MAB assay
The antitubercular potential of the synthesized compounds was screened using the Microplate Alamar Blue (MAB) assay. Standards such as rifampicin, streptomycin, ethambutol, isoniazid, and pyrazinamide were used to compare the results of the synthesized molecules, and the MICs of the standards were found to be 0.97, 1.37, 7.83, 11.66, and 25.38 μM, respectively. A total of 22 pyrazole–oxadiazole conjugates (PO1–PO22) were subjected to the MAB assay. The results of the MAB assay revealed that compounds had activity in the range of 0.24 to 19.04 μM (Table 4). Most of the tested compounds had an anti-tubercular potential (MIC) less than 11.6 μM, which is the MIC of isoniazid, a first-line anti-TB drug, and no compounds had MICs greater than 19.04 μM, which is still less than the MIC of another first-line drug, pyrazinamide. Compound PO3 exhibited greater potency, with an MIC of 0.24 μM, while PO18 exhibited the lowest potency at 19.04 μM. Three of the best seven compounds with higher docking scores displayed MICs below 1.5 μM. The best active compounds, PO3, PO4, PO5, PO7, PO21, and PO22, displayed activity of less than 2.5 μM. It is obvious and noteworthy that the active compounds had appreciable predicted lipophilicity (greater than 1.762), whereas compounds with morpholine substitution (PO17) (less lipophilic in nature) had less activity in the MAB assay.
Table 4
In vitro anti-tubercular activity (MAB assay) of the synthesized compounds and DprE1 enzyme inhibition potential of compounds with lower MIC values
| S no. |
Compound code |
Molecular weight (g) |
MAB (μM) |
DprE1 (μM) |
Cytotoxicity IC50a (μM) |
| Note: NC – not calculated: NI – no inhibition. MIC indicates the lowest concentration of standard/test compound to inhibit ≥90% of bacterial growth. IC50 is defined as the half-maximal inhibitory concentration of standard/test compounds. IC50 derived from the curve fit (tested range 15.62 to 500 μM). |
| 1 |
PO1
|
343.11 |
4.66 |
NC |
NC |
| 2 |
PO2
|
357.13 |
4.48 |
NC |
NC |
| 3 |
PO3
|
411.10 |
0.24 |
32.7 ± 6.0 |
1332.7697 |
| 4 |
PO4
|
421.02 |
0.95 |
39.2 ± 7.3 |
1589.0342 |
| 5 |
PO5
|
373.12 |
0.53 |
NI |
1447.6284 |
| 6 |
PO6
|
377.07 |
8.27 |
NC |
NC |
| 7 |
PO7
|
357.13 |
1.12 |
1900 |
1143.8564 |
| 8 |
PO8
|
388.10 |
8.03 |
NC |
NC |
| 9 |
PO9
|
373.12 |
4.28 |
NC |
NC |
| 10 |
PO10
|
377.07 |
4.24 |
NC |
NC |
| 11 |
PO11
|
344.11 |
18.16 |
NC |
NC |
| 12 |
PO12
|
388.10 |
4.12 |
NC |
NC |
| 13 |
PO13
|
387.14 |
8.05 |
NC |
NC |
| 14 |
PO14
|
349.16 |
17.90 |
NC |
NC |
| 15 |
PO15
|
361.10 |
8.64 |
NC |
NC |
| 16 |
PO16
|
411.10 |
7.58 |
NC |
NC |
| 17 |
PO17
|
337.12 |
18.53 |
NC |
NC |
| 18 |
PO18
|
328.10 |
19.04 |
NC |
NC |
| 19 |
PO19
|
358.11 |
17.45 |
NC |
NC |
| 20 |
PO20
|
342.12 |
4.67 |
NC |
NC |
| 21 |
PO21
|
346.09 |
2.31 |
NI |
1314.8428 |
| 22 |
PO22
|
373.08 |
2.14 |
594 ± 233.1 |
1727.7299 |
| 23 |
TCA-1 |
375.42 |
NC |
0.4 ± 0.02 |
NC |
| 24 |
Isoniazid |
137.14 |
11.6 |
NC |
NC |
| 25 |
Ethambutol |
204.31 |
7.83 |
NC |
NC |
| 26 |
Pyrazinamide |
123.11 |
25.38 |
NC |
NC |
| 27 |
Rifampicin |
822.94 |
0.972 |
NC |
NC |
| 28 |
Streptomycin |
581.6 |
1.37 |
NC |
NC |
| 29 |
5-Fluorouracil |
130.078 |
— |
— |
172.083 |
3.6. Target validation of the active compounds using the DprE1 enzyme inhibition assay
The compounds with lower MIC values (six compounds) were used for the DprE1 enzyme inhibition assay (Table 4). TCA-1 was chosen as the reference compound for the assay, and it exhibited a greater potency (IC50) of 0.4 ± 0.02 μM. Compounds PO3 and PO4 had the highest potencies of 32.7 ± 6.0 μM and 39.2 ± 7.3 μM, respectively. PO7 and PO22 showed IC50 values of 1900 and 594 ± 233.1 μM, respectively. However, for PO5 and PO21, we could not find the IC50 (not inhibitive) within the experimental concentration limit (maximum of 10
000 μM) (Fig. 3). This result was appalling, and we planned to perform long-term molecular dynamics simulations to understand the stability of protein–ligand complexes.
 |
| | Fig. 3 DprE1 enzyme inhibition activity (IC50) of the best active compounds in the MAB assay. A) DprE1 enzyme inhibition activity (IC50) of compound PO3. B) DprE1 enzyme inhibition activity (IC50) of compound PO4. C) DprE1 enzyme inhibition activity (IC50) of compound PO5. D) DprE1 enzyme inhibition activity (IC50) of PO7. E) DprE1 enzyme inhibition activity (IC50) of compound PO21. F) DprE1 enzyme inhibition activity (IC50) of compound PO22. G) DprE1 enzyme inhibition activity (IC50) of standard TCA-1. Error bars denote the standard deviation of triplicate measurements. | |
3.7. Assessment of the stability of test compounds with DprE1 using molecular dynamics (MD) simulation studies
Based on the results of the DprE1 enzyme inhibition assay, we performed MD simulations of the protein–ligand-docked complexes using the GROMACS software. This can reveal the fluctuation of secondary structures and the flexibility of residues, which can be related to the stability of protein–ligand complexes. MD was performed for 4PFD and 4PFD with PO3, PO4, PO7, PO21, and PO22. PO3 and PO4 exhibited appreciable DprE1 enzyme inhibition potential, whereas PO7, PO21, and PO22 exhibited the least activity. The simulation was performed for a 200 ns production run in the presence of the cofactor (FAD) to understand its influence on protein–ligand stability. For better interpretation of the MD results, the results of the MD simulations are presented in two parts, as shown in Fig. 4 and 5. Fig. 4 provides a comparison of the protein–ligand stability of PO3 and PO4 with 4PFD. Fig. 5 provides a comparison of the protein–ligand stability of PO7, PO21, and PO22 with 4PFD. MD simulations provide insights into the conformational changes in proteins upon ligand binding. The analysis of parameters such as root mean square deviation, root mean square fluctuation, hydrogen bond count, radius of gyration, solvent-accessible surface area, and variation of secondary structure upon ligand binding can be used to relate the protein–ligand stability.
 |
| | Fig. 4 A) RMSD calculation of innate protein (black) and protein–ligand complexes (red: PO3, green: PO4) in a 200 ns simulation. B) Hydrogen bond counts of protein–ligand complexes (red: PO3, green: PO4) in a 200 ns simulation. C) RMS fluctuation of innate protein (black) and protein–ligand complexes (red: PO3, green: PO4) in a 200 ns simulation (residues 0–230). D) RMS fluctuation of innate protein (black) and protein–ligand complexes (red: PO3, green: PO4) in a 200 ns simulation (residues 230–461). E) Radius of gyration of innate protein (black) and protein–ligand complexes (red: PO3, green: PO4) in a 200 ns simulation. F) Solvent accessible surface area of innate protein (black) and protein–ligand complexes (red: PO3, green: PO4) in a 200 ns simulation. | |
 |
| | Fig. 5 G) RMSD calculation of innate protein (black) and protein–ligand complexes (red: PO7, green: PO21, blue: PO22) in a 200 ns simulation. H) Hydrogen bond count of protein–ligand complexes (red: PO7, green: PO21, blue: PO22) in a 200 ns simulation. I) RMS fluctuation of innate protein (black) and protein–ligand complexes (red: PO7, green: PO21, blue: PO22) in a 200 ns simulation (residues 0–230). J) RMS fluctuation of innate protein (black) and protein–ligand complexes (red: PO7, green: PO21, blue: PO22) in a 200 ns simulation (residues 230–461). K) Radius of gyration of innate protein (black) and protein–ligand complexes (red: PO7, green: PO21, blue: PO22) in a 200 ns simulation. L) Solvent-accessible surface areas of the innate protein (black) and protein–ligand complexes (red: PO7, green: PO21, blue: PO22) in a 200 ns simulation. | |
Root mean square deviation (RMSD).
The RMSD contributes to the spatial difference between the distinct starting points of the simulation and all subsequent frames. The RMSD of 4PFD ranges from 0.175 to 0.4 nm. It had a stable RMSD trajectory from 100–150 ns, and thereafter, an increase in RMSD, for example, from 0.3 nm to 0.4 nm. The RMSD values of 4PFD with PO3, PO4, PO7, PO21, and PO22 were in the range of 0.19–0.25, 0.18–0.4, 0.15–0.375, 0.2–0.475, and 0.18–0.31 nm, respectively (Fig. 4 and 5G). The 4PFD–PO3 complex had the minimum RMSD among the other studied complexes (less than 1 Å). The RMSD curve stabilized after 50 ns and continued to do so throughout the simulation (Fig. 4A). For 4PFD–PO4, the RMSD deviation was higher at the beginning of the simulation and stabilized at 150 ns (Fig. 4A). 4PFD–PO22 exhibited variations in RMSD until 75 ns, after which stability was achieved throughout the simulation (Fig. 5G). The remaining 4PFD–PO7 and 4PFD–PO21 had RMSD deviations of more than 2 Å, and fluctuations can be observed in the RMSD trajectories (Fig. 5G), indicating conformational changes in the protein after ligand binding, which does not favor the stability of the complex.
Root mean square fluctuation (RMSF).
The RMSF indicates the flexibility of amino acid residues in comparison with the mean position. The native protein and studied complexes exhibited intense fluctuations in the amino acid residues (250–340) of the binding cavity. The 4PFD–PO3 complex had a lower RMSF than the innate protein (Fig. 4C and D).
Hydrogen bond count.
The number of hydrogen bonds plays a crucial role in the stability of the protein–ligand complex; here, all protein–ligand complexes have an appreciable hydrogen bond count (Fig. 4B and 5H). The conformational change may alter the binding pocket, which may adversely affect the inhibition of the enzyme, even though it retains a higher number of hydrogen bonds.
The radius of gyration (Rg).
R
g calculates the RMS distance of various masses caused by rotation about a central axis. The gyration plot reveals information about the protein compactness, shape, and folding throughout the simulation time. A higher Rg value indicates a structural transformation of the protein. Here, the innate protein had Rg in the range 2.15–2.22 nm, and only the 4PFD–PO3 complex showed an Rg value (2.17–2.21 nm) less than that of the innate protein (Fig. 4E), indicating that this complex underwent less structural transformation than the others.
Solvent accessible surface area (SASA).
The SASA reveals the protein surface accessible to solvents. Higher SASA values reflect greater solvent exposure and usually correspond to reduced protein stability. Here, the innate protein had a SASA value of 182–207 nm2. Protein–ligand complexes; 4PFD–PO3, 4PFD–PO4, 4PFD–PO7, 4PFD–PO21 and 4PFD–PO22 had SASA values in the range 184–202 nm2, 182–207 nm2, 184–205 nm2, 195–215 nm2 and 186–204 nm2, respectively. Except for 4PFD–PO21, the SASA values of all other complexes were within the range of the native protein (SASA value) (Fig. 4F and 5L).
Overall, the MD simulation study revealed that PO7, PO21, and PO22 were unstable in the binding cavity of 4PFD in the presence of FAD under solvated conditions. In contrast, the ligands PO3 and PO4 were comparatively stable, which was precisely reflected in the DprE1 enzyme inhibition study. A higher RMSD value, fluctuations in the amino acid residue within the binding pocket, and lower compactness/higher protein folding found in the Rg analysis may contribute to reduced stability and adversely affect the activity. The 3D structures of 4PFD and 4PFD with PO3/PO4 were aligned at simulation time frames of 0, 100, and 200 ns, and their RMSD was less than 1.5 Å, indicating lower overall structural deviation (Fig. 6).
 |
| | Fig. 6 RMSD analysis of the simulated protein with protein–ligand complexes (4PFD–PO3 and 4PFD–PO4) at various time periods (0, 100, and 200 ns). | |
3.8. Cytotoxic assessment of active compounds using MTT assay
Synthesized compounds with anti-TB activity (MAB) less than 2.5 μM (MIC) (six compounds) were evaluated for cytotoxicity using the MTT assay (in vitro) on normal cell lines (fibroblast-NIH/3T3 cells) with 5FU (5 fluorouracil) as the standard. Assay results revealed that the tested compounds had the least cytotoxicity (IC50) in the range of 1.143–1.727 mM, and standard 5FU had cytotoxicity of 0.172 mM (Table 4). Compound PO22 exhibited the lowest cytotoxicity (1.727 mM), while PO7 exhibited the highest cytotoxicity (1.143 mM) among the derivatives. Compounds PO3 and PO4, which exhibited good DprE1 enzyme inhibition, had a cytotoxicity (IC50) of 1.332 and 1.589 mM, respectively. Overall, the active compounds were less cytotoxic than the standard, confirming that the anti-TB potential of the compounds was not due to their cytotoxic effects.
3.9. Structure–activity relationship (SAR)
The structure–activity relationship revealed that the pyrazole-linked oxadiazole framework is essential for exhibiting antitubercular activity. Substituting the pyrazole ring with alkyl or aryl groups significantly diminished this activity.38 The presence of multiple electronegative atoms, such as nitrogen, oxygen, and sulfur, within the compounds may provide sites for interactions with the target.39 The potency of these compounds was influenced by the side chain extending from the thiol group of the oxadiazole; specifically, N-substituted aryl/heteroaryl acetamides and C-substituted aryl ethan-1-ones were found to determine their effectiveness.
Compounds featuring side chains with N-substituted aryl acetamides demonstrated higher antitubercular activity compared to those with N-substituted heteroaryl acetamides or C-substituted aryl ethan-1-ones. Notably, the most active compounds (indicated by lower MIC values) exhibited para substitution in their side-chain aromatic groups, except for PO5, which contained a meta-substituted methoxy group. The para substitutions of these active compounds were primarily electron-withdrawing groups, including CF3, Br, F, and NO2. PO7 stood out as it had a para substitution with an electron-donating CH3 group. The lead compound, PO3, featured a para-substituted CF3 group in its side chain, whereas PO15 exhibited a highly electronegative fluorine as a para substituent but showed lower antitubercular activity. Similarly, PO10, with chlorine at the para position of its side-chain aromatics, exhibited comparable results. This suggests that the CF3 group in the para position of the side-chain aromatic ring is critical for activity. This is further supported by the observation that PO16, which contains CF3 at the meta position, demonstrated significantly reduced activity. Interestingly, derivatives with NO2 substitutions showed relatively lower activity, implying non-covalent interactions with the target and the potential for minimizing off-target effects associated with covalent inhibitors. The electron-withdrawing functionalities of these compounds also affected their polarity, enhancing solubility, blood–brain barrier penetration, and lipophilicity, as indicated by the results of the ADMET model.
4. Conclusion
Structure-based drug design is a rational approach to drug discovery. Herein, we report a series of 2-((5-((3,5-dimethyl-1H-pyrazol-1-yl)methyl)-1,3,4-oxadiazol-2-yl)thio)-aryl/cyclyl acetamides/aryl ethan-1-ones (PO1–PO22), designed based on the 3D structural features of the DprE1 enzyme and the molecular features of the reported DprE1 inhibitors. The designed compounds were assessed for binding interactions with the DprE1 enzyme using molecular docking studies, and the interactions were found to be comparable with those of the co-crystal ligand. Further, the compounds were synthesized and analyzed for in vitro anti-tubercular activity using the MAB assay. The results of the MAB assay were promising. However, the DprE1 enzyme inhibition potential of the most active compounds did not correlate with the MIC. To clarify the stability of the test compounds with DprE1, we performed a long-term molecular dynamics simulation of the respective docked complexes, revealing that the compounds were unstable within the binding site. Nevertheless, the synthesized compounds are potent antitubercular agents and probably interact with other Mtb targets; this needs to be resolved in further studies.
Author contributions
GVP: conceptualized and supervised the synthesis of the compounds and edited the manuscript. SAK: conducted the synthetic experiments and drafted the manuscript. GB and SB: performed in vitro assays (DprE1 enzyme inhibition assay). VMC: performed in vitro assay (cytotoxicity assay). MS, HSA, MB, KGP, and DB: reviewed and edited the manuscript.
Conflicts of interest
The authors declare no conflicts of interest.
Data availability
The data supporting this article are included in the supplementary information (SI).
Supplementary information: the SI contains the following: 1) Drug-likeness properties of the designed compounds (Lipinski's rule of five). 2) Predicted ADMET properties of the designed molecules. 3) Spectral data of the synthesized compounds (PO1–PO22) including 1H NMR, 13C NMR and mass spectra. See DOI: https://doi.org/10.1039/d5md00902b.
Acknowledgements
The authors thank The Principal, JSS College of Pharmacy, JSS Academy of Higher Education and Research, Mysore, India, for providing the necessary facilities. The authors are grateful to the Indian Council of Medical Research, New Delhi, for financial assistance (RFC No. ECD/Adhoc/27/2019-20 DT 27.08.2019). We acknowledge the Patent Office, Government of India, for granting a patent (Patent No: 564218).
References
- M. Mahmoud and Y. Tan, New advances in the treatments of drug-resistant tuberculosis, Expert Rev. Anti-infect. Ther., 2023, 21(8), 863–870 CrossRef CAS PubMed.
- V. Singh, G. A. Dziwornu and K. Chibale, The implication of Mycobacterium tuberculosis-mediated metabolism of targeted xenobiotics, Nat. Rev. Chem., 2023, 7(5), 340–354 CrossRef CAS PubMed.
- D. A. Wulandari, Y. W. Hartati, A. U. Ibrahim and D. A. E. Pitaloka, Multidrug-Resistant tuberculosis, Clin. Chim. Acta, 2024, 119701 CrossRef CAS PubMed.
- N. G. Mbewana Ntshanka and T. A. M. Msagati, Trends and Progress on Antibiotic-Resistant Mycobacterium tuberculosis and Genes in relation to Human Immunodeficiency Virus, Can. J. Infect. Dis. Med. Microbiol., 2023, 2023, 6659212 CrossRef CAS PubMed.
- R. Capela, R. Félix, M. Clariano, D. Nunes, J. Perry M de and F. Lopes, Target Identification in Anti-Tuberculosis Drug Discovery, Int. J. Mol. Sci., 2023, 24(13), 10482 CrossRef CAS PubMed.
- T. Sindhu, S. Rajamanikandan, J. Jeyakanthan and D. Pal, Investigation of protein-ligand binding motions through protein conformational morphing and clustering of cytochrome bc1-aa3 super complex, J. Mol. Graphics Modell., 2023, 118, 108347 CrossRef CAS PubMed.
- Y. Li, A. Acharya, L. Yang, J. Liu, E. Tajkhorshid and H. I. Zgurskaya,
et al., Insights into substrate transport and water permeation in the mycobacterial transporter MmpL3, Biophys. J., 2023, 122(11), 2342–2352 CrossRef CAS PubMed.
- Key reference: S. Yadav, A. Soni, O. Tanwar, R. Bhadane, G. S. Besra and N. Kawathekar, DprE1 inhibitors: enduring aspirations for future antituberculosis drug discovery, ChemMedChem, 2023, 18(16), e202300099 CrossRef CAS PubMed.
- G. Kumar and S. Kapoor, Targeting mycobacterial membranes and membrane proteins: Progress and limitations, Bioorg. Med. Chem., 2023, 81, 117212 CrossRef CAS PubMed.
-
M. R. Yadav, P. R. Murumkar, R. B. Ghuge, R. R. Barot and M. Chauhan, Exploring Decaprenylphosphoryl-β-d-Ribose 2′-Epimerase 1 (DprE1): A Target for Anti-tubercular Drugs, in Tuberculosis: Integrated Studies for a Complex Disease, Springer, 2023, pp. 499–539 Search PubMed.
- N. Bhanwala, V. Gupta, L. Chandrakar and G. L. Khatik, Thiazole Heterocycle: An Incredible and Potential Scaffold in Drug Discovery and Development of Antitubercular Agents, ChemistrySelect, 2023, 8(46), e202302803 CrossRef CAS.
- N. Jangir, Poonam, S. Dhadda and D. K. Jangid, Recent advances in the synthesis of five-and six-membered heterocycles as bioactive skeleton: A concise overview, ChemistrySelect, 2022, 7(6), e202103139 CrossRef CAS.
- B. Das, A. T. K. Baidya, A. T. Mathew, A. K. Yadav and R. Kumar, Structural modification aimed for improving solubility of lead compounds in early phase drug discovery, Bioorg. Med. Chem., 2022, 56, 116614 CrossRef CAS PubMed.
- A. M. Frederico Rozada, F. A. Vilugron Rodrigues-Vendramini, E. S. Kioshima, E. G. Sampiron, R. B. de Lima Scodro and K. R. Caleffi-Ferracioli,
et al., Synthesis of 1, 3, 4-oxadiazoles with 4-methoxynaphthalene ring: discovering new compounds with antimicrobial activity, Future Med. Chem., 2023, 15(24), 2239–2255 CrossRef PubMed.
- Y. M. Rocha, E. P. Magalhães, M. de Medeiros Chaves, M. Machado Marinho, V. Nascimento e Melo de Oliveira and R. Nascimento de Oliveira,
et al., Antiparasitary and antiproliferative activities in vitro of a 1, 2, 4-oxadiazole derivative on Trypanosoma cruzi, Parasitol. Res., 2022, 121(7), 2141–2156 CrossRef PubMed.
- J. Dong, Q. Pei, P. Wang, Q. Ma and W. Hu, Optimized POCl3-assisted synthesis of 2-amino-1, 3, 4-thiadiazole/1, 3, 4-oxadiazole derivatives as anti-influenza agents, Arabian J. Chem., 2022, 15(4), 103712 CrossRef CAS.
- D. Zampieri, S. Fortuna, M. Romano, A. De Logu, G. Cabiddu and A. Sanna,
et al., Synthesis, biological evaluation and computational studies of new hydrazide derivatives containing
1, 3, 4-oxadiazole as antitubercular agents, Int. J. Mol. Sci., 2022, 23(23), 15295 CrossRef CAS PubMed.
- L. Zhang and Z. Rao, Structural biology and inhibition of the Mtb cell wall glycoconjugates biosynthesis on the membrane, Curr. Opin. Struct. Biol., 2023, 82, 102670 CrossRef CAS PubMed.
- T. Christophe, M. Jackson, H. K. Jeon, D. Fenistein, M. Contreras-Dominguez and J. Kim,
et al., High content screening identifies decaprenyl-phosphoribose 2′ epimerase as a target for intracellular antimycobacterial inhibitors, PLoS Pathog., 2009, 5(10), e1000645 CrossRef PubMed.
- F. M. Meyer, U. Repnik, E. Karnaukhova, K. Schubert and M. Bramkamp, Effects of benzothiazinone and ethambutol on the integrity of the corynebacterial cell envelope, Cell Surf., 2023, 10, 100116 CrossRef CAS PubMed.
- E. Torfs, T. Piller, P. Cos and D. Cappoen, Opportunities for overcoming Mycobacterium tuberculosis drug resistance: emerging mycobacterial targets and host-directed therapy, Int. J. Mol. Sci., 2019, 20(12), 2868 CrossRef CAS PubMed.
-
A. R. Moorey, Molecular tools to unravel the mechanism of action of M. tuberculosis phenotypic hits, PhD thesis, University of Birmingham, 2022 Search PubMed.
- J. Piton, C. S. Y. Foo and S. T. Cole, Structural studies of Mycobacterium tuberculosis DprE1 interacting with its inhibitors, Drug Discovery Today, 2017, 22(3), 526–533 CrossRef CAS PubMed.
- R. V. Chikhale, M. A. Barmade, P. R. Murumkar and M. R. Yadav, Overview of the Development of DprE1 Inhibitors for Combating the Menace of Tuberculosis, J. Med. Chem., 2018, 61(19), 8563–8593 CrossRef CAS PubMed.
- G. Karabanovich, J. Zemanová, T. Smutný, R. Székely, M. Šarkan and I. Centárová,
et al., Development of 3, 5-dinitrobenzylsulfanyl-1, 3, 4-oxadiazoles and thiadiazoles as selective antitubercular agents active against replicating and nonreplicating Mycobacterium tuberculosis, J. Med. Chem., 2016, 59(6), 2362–2380 CrossRef CAS PubMed.
- M. E. Cournoyer and J. H. Dare, The use of alternative solvent purification techniques, Chem. Health Saf., 2003, 10(4), 15–18 CrossRef CAS.
- R. Roskoski Jr., Rule of five violations among the FDA-approved small molecule protein kinase inhibitors, Pharmacol. Res., 2023, 106774 CrossRef PubMed.
- K. A. Ajin, S. Arun Kumar, M. Singh, H. S. Akshatha, M. Bhagyalalitha and K. G. Pujar,
et al., Novel Antitubercular Agents: Design, Synthesis, Molecular Dynamic and Biological Studies of Pyrazole–1, 2, 4-Triazole Conjugates, Chem. Biodiversity, 2023, e202300971 CrossRef CAS PubMed.
- S. G. Franzblau, R. S. Witzig, J. C. McLaughlin, P. Torres, G. Madico and A. Hernandez,
et al., Rapid, low-technology MIC determination with clinical Mycobacterium tuberculosis isolates by using the microplate Alamar Blue assay, J. Clin. Microbiol., 1998, 36(2), 362–366 CrossRef CAS PubMed.
- M. C. S. Lourenco, M. V. N. de Souza, A. C. Pinheiro, L. Ferreira M de, R. S. B. Gonçalves and T. C. M. Nogueira,
et al., Evaluation of anti-tubercular activity of nicotinic and isoniazid analogues, ARKIVOC, 2007, 15, 181–191 Search PubMed.
- S. M. Batt, M. Cacho Izquierdo, J. Castro Pichel, C. J. Stubbs, L. Vela-Glez Del Peral and E. Perez-Herran,
et al., Whole cell target engagement identifies novel inhibitors of Mycobacterium tuberculosis decaprenylphosphoryl-β-d-ribose oxidase, ACS Infect. Dis., 2015, 1(12), 615–626 Search PubMed.
- R. Qin, P. Wang, B. Wang, L. Fu, S. M. Batt and G. S. Besra,
et al., Identification of thiophene-benzenesulfonamide derivatives for the treatment of multidrug-resistant tuberculosis, Eur. J. Med. Chem., 2022, 231, 114145 CrossRef CAS PubMed.
- S. Mandal, B. R. P. Kumar, M. T. Alam, P. P. Tripathi and B. Channappa, Novel imidazole phenoxyacetic acids as inhibitors of USP30 for neuroprotection implication via the ubiquitin-Rho-110 fluorometric assay: Design, synthesis, and in silico and biochemical assays, ACS Chem. Neurosci., 2022, 13(9), 1433–1445 CrossRef CAS PubMed.
- M. S. Das and G. Devi, In vitro Cytotoxicity and Glucose Uptake Activity
of Fruits of Terminalia bellirica in Vero, L-6 and 3T3 cell lines, J. Appl. Pharm. Sci., 2015, 5(12), 92–95 CrossRef.
- M. Ghasemi, T. Turnbull, S. Sebastian and I. Kempson, The MTT assay: utility, limitations, pitfalls, and interpretation in bulk and single-cell analysis, Int. J. Mol. Sci., 2021, 22(23), 12827 CrossRef CAS PubMed.
- K. M. Krishna, B. Inturi, G. V. Pujar, M. N. Purohit and G. S. Vijaykumar, Design, synthesis and 3D-QSAR studies of new diphenylamine containing 1, 2, 4-triazoles as potential antitubercular agents, Eur. J. Med. Chem., 2014, 84, 516–529 CrossRef PubMed.
- N. Ganesh, M. Singh, V. M. Chandrashekar and G. V. Pujar, Antitubercular Potential of Novel Isoxazole Encompassed 1, 2, 4-Triazoles: Design, Synthesis, Molecular Docking Study and Evaluation of Antitubercular Activity, Anti-Infect. Agents, 2021, 19(2), 147–161 CrossRef CAS.
- G. Karabanovich, J. Zemanová, T. Smutný, R. Székely, M. Šarkan and I. Centárová,
et al., Development of 3,5-Dinitrobenzylsulfanyl-1,3,4-oxadiazoles and Thiadiazoles as Selective Antitubercular Agents Active Against Replicating and Nonreplicating Mycobacterium tuberculosis, J. Med. Chem., 2016, 59(6), 2362–2380 CrossRef CAS PubMed.
- D. Ioannidis, G. E. Papadopoulos, G. Anastassopoulos, A. Kortsaris and K. Anagnostopoulos, Structural properties and interaction energies affecting drug design. An approach combining molecular simulations, statistics, interaction energies and neural networks, Comput. Biol. Chem., 2015, 56, 7–12 CrossRef CAS PubMed.
|
| This journal is © The Royal Society of Chemistry 2026 |
Click here to see how this site uses Cookies. View our privacy policy here.