Open Access Article
This Open Access Article is licensed under a
Creative Commons Attribution 3.0 Unported Licence

Effective mass model for thermoelectrics

Minsu Heo ab, Kyu Hyoung Lee c, Junwoo Song d, Changwoo Lee b, Insub Lee d, Kwangjoo Kim d, Hoon Wee d, Joonhyun Lee d, Youngdeog Koh *d, Hyun-Sik Kim *b and G. Jeffrey Snyder *a
aDepartment of Materials Science and Engineering, Northwestern University, Evanston 60208, IL, USA. E-mail: jeff.snyder@northwestern.edu
bDepartment of Materials Science and Engineering, University of Seoul, Seoul 02504, Republic of Korea. E-mail: hyunsik.kim@uos.ac.kr
cDepartment of Materials Science and Engineering, Yonsei University, Seoul 03722, Republic of Korea
dSamsung Research, Samsung Electronics, Seoul 06765, Republic of Korea. E-mail: yd.koh@samsung.com

Received 27th October 2025 , Accepted 16th March 2026

First published on 30th March 2026


Abstract

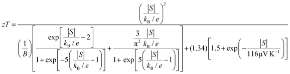
Thermoelectric materials require precise doping to adjust the Fermi level in order to fully realize their thermoelectric potential. The effective mass (EM) model is commonly used to predict the maximum thermoelectric figure-of-merit (zT) and optimal carrier concentration, but its application is limited by the need for numerical Fermi integral solutions and Hall effect measurements. Since the thermopower (magnitude of the Seebeck coefficient, |S|) is effectively a measure of the Fermi level, it can be used as a direct descriptor of doping level in heavily doped semiconductors such as good thermoelectric materials. Here, we present a simple method to analyze thermoelectric transport using only the typical thermoelectric measurements: Seebeck coefficient, electrical conductivity and thermal conductivity. This enables evaluation of weighted mobility, quality factor (B), theoretical maximum zT, optimal thermopower, identification of anomalous scattering behavior; as well as a full prediction of zT, as a function of |S| given by

image file: d5ee06413a-t1.tif



Broader context

Recent global energy analyses indicate that nearly 70% of all primary energy input is ultimately lost as waste heat during conversion and use, highlighting the urgent need for more efficient energy-conversion technologies. Thermoelectric materials can directly convert heat into electricity, offering a solid-state route to recover this wasted energy. However, optimizing their performance has long been hindered by the need for complex Fermi-integral calculations and Hall-effect carrier concentration measurements. These technical barriers have limited accurate thermoelectric analysis to a small fraction of the research community, even though thousands of studies each year report basic transport data such as Seebeck coefficient, electrical conductivity, and thermal conductivity. In this work, we reformulate the long-standing effective mass model into a simple and universal framework that allows any researcher to predict the maximum achievable figure-of-merit (zT) and its optimal carrier concentration directly from routine measurements, without numerical Fermi-integral analysis or Hall data. By transforming a specialized theoretical model into an experimentally accessible tool, this approach democratizes thermoelectric evaluation and accelerates the discovery of high-efficiency materials for waste-heat recovery and solid-state cooling, contributing to global efforts to enhance energy efficiency and achieve carbon-neutral technologies.

Introduction

Thermoelectric materials, capable of solid-state Peltier cooling and direct heat-to-electricity conversion, are drawing renewed interest as advances in electronic and phononic design continue to enhance performance. Electronic transport has improved from band engineering strategies that exploit complex Fermi surfaces, band convergence, and topological states,1–5 while phonon transport has been suppressed through atomic-scale disorder and dislocation-induced strain.6–9 These developments have expanded thermoelectric applications beyond refrigeration and waste heat recovery into emerging areas such as stretchable, body-heat-powered biosensors,10 heat-triggered drug release and neuromodulation,11 cryogenic quantum cooling using quantum dots,12 and data center heat harvesting via hybrid thermoelectric systems.13 As thermoelectrics become increasingly integrated into electronics, energy, and biomedical technologies, broadly applicable tools are needed to facilitate rapid analysis and optimization across both experimental and theoretical research fronts.

Most good thermoelectric materials behave as heavily doped semiconductors,14–16 allowing semiempirical models from semiconductor physics to be used to explain, understand and then predict their thermoelectric performance. Despite the variety and complexity of thermoelectric materials, including both n-type and p-type compositions across structurally distinct classes such as rocksalt compounds (PbTe, SnTe), Zintl phases (Mg3Sb2), layered chalcogenides (Bi2Te3, BiCuSeO), skutterudites (CoSb3), clathrates (Ba8Ga16Ge30), half-Heuslers (FeNbSb), and complex silver chalcogenides (Ag8SnSe6), the effective mass (EM) model provides a consistent and predictive description of their electronic behavior. The model is also applicable to nanostructured materials,17 to first-principles transport calculations using Boltzmann transport theory,18 and to data-driven screening of new thermoelectric candidates using descriptors from materials databases, without requiring prior experimental characterization.19 This demonstrates its utility as a unified approach for thermoelectric analysis. These results position the EM model as a unifying approach capable of capturing the essential physics of diverse and complex thermoelectric materials.

Although the model provides a simplified perspective, thermoelectric performance itself arises from a complex interplay among key transport properties. The complexity is due to the intricate interplay between the Seebeck coefficient (S), electrical conductivity (σ), and thermal conductivity (κ) that govern the thermoelectric figure-of-merit (zT), as shown in eqn (1):

 
image file: d5ee06413a-t2.tif(1)

Achieving a high zT, reflecting superior thermoelectric performance, is not simply a matter of increasing S or even power factor (S2σ), as these parameters are intrinsically coupled. In typical thermoelectric materials, not only do S and σ exhibit opposing trends with increasing carrier concentration, but κ includes an electronic contribution (κe) that varies with carrier concentration, in addition to the lattice component (κL) arising from phonon transport. The electronic trade-off for all three properties limits zT to a maximum at an optimal doping level (Fig. 1).


image file: d5ee06413a-f1.tif
Fig. 1 Thermoelectric figure-of-merit (zT) change with carrier concentration tuning inferred from thermopower (|S|). (a) Plot of zT as a function of |S|, calculated using eqn (7). Changes in charge carrier concentration induced by doping are reflected in the corresponding |S| values. The thermoelectric quality factor (B) determines the theoretical maximum zT (zTmax) achievable through carrier concentration optimization, with the optimal |S| values to achieve zTmax indicated by orange circles. The |S| corresponding to the maximum power factor (167 µV K−1) is also indicated. (b) The zTmax values derived from different Bs in Fig. 1a are translated to a zTmax as a function of B relationship using eqn (S13).

For effective optimization, one should use three largely independent variables instead of the interdependent S, σ, and κ which are achieved through the use of the weighted mobility, lattice thermal conductivity and a variable that quantifies the doping level. The weighted mobility, µw represents the quality of the electronic properties of a thermoelectric material system and the lattice thermal conductivity, κL represents the quality of the thermal properties. These two are combined into the thermoelectric quality factor, B, which determines the maximum zT, a material can achieve if optimally doped.

 
image file: d5ee06413a-t3.tif(2)

The B equation (eqn (2)) is written such that the material targets for high performance become evident, with zT greater than 1 (B > 0.4) at room temperature typically requiring µw of about 500 cm2 V−1 s−1 and κL less than 1 W m−1 K−1.

Traditionally, carrier concentration (n) has been used as the third, largely independent variable to quantify doping. This stems from the original derivation of B based on ideal semiconductor assumptions, specifically the Single Parabolic Band model with acoustic phonon scattering (SPB-APS),20,21 which later evolved into the EM model for broader applicability.22 It is important not to conflate the effective mass used in the EM model with a strict definition from solid-state physics, such as the band curvature mass. Instead, it should be regarded as an effective parameter that fits measured or computed transport properties. Determining this parameter consistently for both degenerate and non-degenerate semiconductors, typically requires numerical solutions of Fermi integrals, which makes the EM model computationally intensive. The use of n, moreover, requires an additional measurement, typically Hall effect, which is often difficult or inaccurate in complex thermoelectric materials with low mobility.23,24

This work introduces a simplified yet robust model that does not require additional measurements or complicated calculations. It is based on the observation that the thermopower, the magnitude of the Seebeck coefficient |S|, is a reliable descriptor for n in thermoelectric materials and, like n, is largely insensitive to microstructure variations. Just as κe and µw can be calculated easily from thermoelectric measurements of S and σ, we reformulate the zT equation as a function of |S| alone (Fig. 1), with B (∼µw/κL) as the only required material parameter.25,26 By preserving the essential physics of thermoelectric transport while eliminating the need for specialized measurements and complex calculations, our model enables rapid material screening and optimization. The approach provides clear design principles for advancing thermoelectric materials, making the field accessible to researchers across disciplines, both experimental and computational.

The EM model, based in semiconductor physics, explains the intrinsic trade-offs among S, σ and κe that fundamentally constrains zT. These transport parameters change with doping, which alters n. Although the Hall effect is typically used to characterize n, alternative descriptors can also capture doping effects. In particular, S and σ are especially sensitive to doping and can serve as practical proxies for n. When mobility (µ) is constant, σ is an obvious descriptor for n because σ = neµ (where e is the electric charge). Indeed, plots of S vs. σ are helpful for optimizing thermoelectrics and identifying transport mechanisms27,28 when µ is a constant or changes systematically.29,30 However, the µ can change dramatically, for example with changing grain size when grain boundary scattering is significant.26 Because the |S|, like the Hall coefficient is less affected by microstructure, |S| is a better indicator of doping than σ for polycrystalline materials. |S| is primarily determined by the Fermi level relative to the band edge, which is the same energy that determines how deep (in energy) the electrons have filled the bands and so also determines the number of free electrons n. The influence of scattering on S is relatively small and can be absorbed into the effective mass parameter.14,31,32 This enables the Fermi level-dependent equations of the EM model,22 such as κe, σ, and zT to be effectively re-expressed as a function of |S| in degenerate semiconductors.

Discussion

Electronic and lattice components to the thermal conductivity

|S| has been successfully used to estimate the electronic contribution to thermal conductivity (κe) under the usual assumption that
 
κ = κe + κL(3)

Using the Wiedemann–Franz law, κe = LσT (where L is Lorenz factor), both κe and κL can be determined from thermoelectric measurements of S, σ, and κ, using an L that depends on |S|. This approach is valid when bipolar conduction is negligible.33,34

 
image file: d5ee06413a-t4.tif(4)
with L estimated from eqn (4), the κL can then be obtained from eqn (3) (κL = κLσT).

Weighted mobility

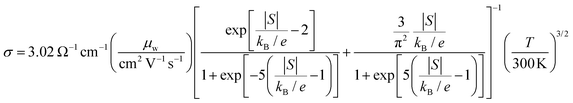
Weighted mobility µw, a crucial parameter in understanding electronic transport, can be accurately determined from S and σ measurements alone, eliminating the need for n data. This approach, expressed in eqn (5), is particularly valuable when only temperature-dependent S and σ data are available (where kB represents the Boltzmann constant).26
 
image file: d5ee06413a-t5.tif(5)

This method allows for facile determination of µw across a wide temperature range and remains accurate for |S| > 20 µV K−1. Although originating from a free-electron treatment (parabolic band), it is employed here as an effective transport descriptor and remains applicable in systems with multi-band transport (Fig. S3).35 For example, probing how µwvs. T, varies across samples, helps to determine whether differences arise purely from doping (µw remaining constant), or reflect more substantial underlying mechanisms. Within this formulation, µw captures nanostructure-induced changes in carrier transport, as variations in grain boundary scattering or interfacial effects manifest directly as shifts in µw, which thus integrates both electronic structure and microstructural contributions (see the SI).

Eqn (5) can be rearranged to examine how σ and therefore zT would change by improving µw.

 
image file: d5ee06413a-t6.tif(6)

Figure of merit

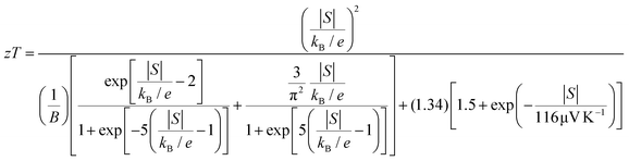
With this arrangement, now both σ (eqn (6)) and κe (eqn (3) and (4)) are expressed in terms of thermopower, so zT can be written as a function of thermopower.
 
image file: d5ee06413a-t7.tif(7)

Eqn (7) is most reliable when diffusion thermopower dominates and bipolar effects remain limited.36 In narrow band gap materials at elevated temperatures, the calculated zT should be regarded as an approximate descriptor. Further discussion is provided in the SI.

Then the only remaining material parameter in the zT equation is the thermoelectric quality factor B (∼µw/κL in eqn (2)), alongside thermopower, which again describes the doping level.

Thermoelectric quality factor

As the B increases, the corresponding maximum zT (zTmax) also increases, reflecting the intrinsic quality of the material. Fig. 1a shows full zT curves as a function of thermopower (|S|) for various B values (eqn (7)), with the peak zT for each curve indicated by orange circles. This provides practical guidance for optimizing doping in materials with a known B. For example, a material with B = 0.4, which corresponds to a theoretical zTmax of 1.0, may only exhibit a zT of 0.8 at |S| = 200 µV K−1. Fig. 1a suggests that reducing the doping to increase |S| to approximately 240 µV K−1 would enable the material to reach its theoretical zTmax, without requiring direct measurements of n.

Fig. 1b presents a direct correlation between B and the zTmax, constructed by mapping the peak points (orange circles) from Fig. 1a into a B-zTmax curve (Fig. 1b and Fig. S2). This relationship establishes clear performance targets. If a material's B falls below the threshold required for a target zT (e.g. B of 0.4 to achieve zTmax of 1.0), tuning the n alone will be insufficient. In such cases, alternative engineering strategies are required to enhance the B itself.

Effective mass

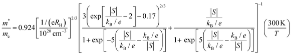
The namesake of the effective mass model is the effective mass, m*, which is meant to be a material constant representing the density-of-states effective mass. In an ideal, parabolic, isotropic, single band system with acoustic phonon scattering, the various physics definitions of density-of-states effective mass will give the same value and remain constant with doping and temperature.37,38 In contrast, the effective mass in real materials will vary with doping, temperature, and alloying, reflecting changes in band structure or dominant scattering mechanisms. Historically, in the EM model m* is found using the Hall effect and thermopower where RH is the Hall coefficient (me is the electron rest mass).24
 
image file: d5ee06413a-t8.tif(8)

Knowledge of m*, and therefore the Hall-effect measurement is only needed to help distinguish electronic structure from scattering effects on electron transport. The analysis of thermoelectric data, including predicting and optimizing zT, does not require explicit knowledge of m* and therefore does not require Hall effect measurements.

Example data analysis using EM model

Standard thermoelectric measurements of S, σ, and usually κ, can be easily used not only to analyze prospective zT, but also to gain insight into electronic structure, charge transport, and phonon behavior including an analysis of µw and κL.39,40

From the thermopower alone, one can assess whether a material would benefit from an increased or reduced doping. A high |S| (>300 µV K−1) is not an indicator of a good thermoelectric material, but instead points to underdoping (Fig. 1a), whereas a low |S| (<200 µV K−1) suggests that a reduced doping level to increase |S| would be beneficial. Because the power factor peaks at ∼167 µV K−1 irrespective of the material,56 power factor-based optimization typically favors overdoped compositions (Fig. 2), leading to zT values up to ∼25% below the theoretical zTmax (Fig. 1a, for B ∼0.4) due to the neglected κe contribution. Even when power output is the primary objective rather than efficiency a thermoelectric device should maximize device ZT related to zTmax.57,58


image file: d5ee06413a-f2.tif
Fig. 2 Thermopower optimization for the best thermoelectric performance. Thermopower (|S|)-dependent (a) figure-of-merit (zT) and (b) power factor (S2σ) for n-type Bi2Te3 at 300 K. While |S| ∼167 µV K−1 is the optimum value for the power factor across all materials, for zT this |S| corresponds to an overdoped composition.41–55

The temperature dependence of |S| provides key insight into whether the material is behaving as a metal, semiconductor, or insulator. |S| proportional to T (measured in K) is characteristic of a metal or degenerate semiconductor, and indicates the parameters from the EM model are likely to represent intended materials properties (m*, µw, and κL). At temperatures below 100 K the EM model parameters can be difficult to interpret due to physical effects such as phonon-drag thermopower, electron localization, or related phenomena.59,60

Whereas |S| decreasing with T indicates the onset of bipolar conduction involving both electrons and holes like an insulator or non-degenerate (intrinsic) semiconductor. If temperature-dependent |S| exhibits a maximum, the peak value (|S|max) and the temperature at which it occurs (Tmax) can be used to estimate the thermal band gap as Eg = 2|S|maxTmax. Care must be taken when predicting zT at temperatures above Tmax, since a B estimated in the presence of bipolar conduction will be underestimated due to its influence on S and the additional bipolar contribution included in κL.61,62

With just S and σ, the µw can be readily evaluated using eqn (5). Its magnitude alone provides a first-order estimate of a material's suitability for thermoelectric applications. Eqn (2) indicates that a µw of approximately 600 cm2 V−1 s−1 is required to achieve B ∼ 0.4, corresponding to zTmax ∼ 1 at 300 K in a material with κL ∼ 1 W m−1 K−1.

Since µw can be directly calculated from experimental quantities, it can be presented as a better indicator of electronic performance than power factor, though caution should be taken against interpreting it as a single-band mobility.

The temperature dependence of µw is a sensitive probe of the dominant carrier scattering mechanism. A decrease in µw with increasing T indicates that thermal vibrations (phonons) dominate carrier scattering (eqn (5)). In both degenerate (metal-like) and non-degenerate semiconductors, µw typically follows a T−3/2 trend, whereas in metals σ scales as T−1.75

The variation of |S| and σ across multiple samples can be analyzed through the µw to determine whether differences arise solely from doping or defects, or from more fundamental changes in transport. At a fixed temperature, µw can be treated as a fitting parameter and |S| as the independent variable in eqn (5) to fit multiple data points. If the variation in µw is within ∼20%, greater relative differences in S and σ are likely due to variation in doping or defect levels.

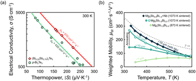
For example, (Bi0.25Sb0.75)2Te3 samples in Fig. 3a doped with excess Te all exhibit similar µw (∼670 cm2 V−1 s−1). However, µw of (Bi0.25Sb0.75)2Te3 is over 50% higher than that of Bi2Te3. This increase reflects band convergence at the 25% Bi2Te3-75% Sb2Te3 composition, which enhances the density-of-states effective mass image file: d5ee06413a-t9.tif. This image file: d5ee06413a-t10.tif enhancement, in turn, drives the observed µw increase, since µw is mobility-weighted by the density of electronic states and follows image file: d5ee06413a-t11.tif.


image file: d5ee06413a-f3.tif
Fig. 3 Changes in electronic structure and carrier scattering revealed through weighted mobility (µw). (a) µw of (Bi0.25Sb0.75)2Te3 and Bi2Te3 estimated using eqn (6). Band convergence in (Bi0.25Sb0.75)2Te3 is reflected as an increase in µw relative to Bi2Te3.63–72 (b) Grain boundary scattering associated with grain size is observed in Mg3(Sb,Bi)2.73,74 Segregation of Nb to grain boundaries reduces potential barrier and enhances µw.74

Large deviations in µw often indicate changes in carrier scattering, such as additional grain boundary scattering, which can frequently be identified from its temperature dependence (Fig. 3b). An increase in µw with T indicates non-phonon scattering (Mg3(Sb,Bi)2 sample with ∼1 µm grain size), primarily from electrical resistance at grain boundaries. Because this scattering diminishes as grain size increases from 1 µm to 30 µm, it can be attributed to grain boundary rather than ionized impurity scattering. Near room temperature, enlarging the grain size of Mg3(Sb, Bi)2 from 1 µm to 30 µm reduces the number of grain boundaries encountered by carriers and increases µw. In Nb-doped Mg3(Sb,Bi)2, where Nb segregates to grain boundaries, µw is even higher than in the 30 µm sample despite a grain size of only 10 µm, owing to the suppression of grain boundary potential barriers by Nb.

In systems deviating from ideal single-band or parabolic behavior, µw should be interpreted as an effective transport descriptor rather than a strict band parameter, and its primary strength lies in comparative analysis.

This transport-level perspective can also be extended to organic thermoelectrics, where transport is often influenced by structural disorder. Although eqn (7) achieves its highest quantitative reliability in band-like regimes, the weighted mobility µw extracted from the Sσ relationship remains informative for assessing the extent to which conduction is limited by disorder.28,30

Predicting zTmax and determining the optimum |S| to achieve it is a primary role of the EM model, and eqn (7) alone can replace the full EM model for this purpose. Fig. 4 presents both experimental and theoretical n-dependent zT, converted into thermopower-dependent zT using eqn (7). In 2011, Böttger et al. reported a zT of 0.36 for Cu-doped ZnSb with n = 5 × 1018 cm−3, and predicted that increasing n to 2 × 1019 cm−3 would raise zT to 0.45.76 A decade later, Sn doping in the Zn-rich ZnSb phase space further increased n close to 2 × 1019 cm−3 and achieved zT = 0.43, close to the 2011 prediction.77 In 2013, Day et al. predicted that decreasing doping in Ag2Se could, in theory, yield zT ∼ 1.1. Despite significant efforts to reduce doping, the optimum |S| for achieving zTmax has not yet been reached.79–84


image file: d5ee06413a-f4.tif
Fig. 4 Promising thermoelectric material candidates. In 2011, EM model analysis of Cu- or Sn-doped ZnSb predicted that tuning |S| to 200 µV K−1 would yield a zT of ∼0.45.76 A decade later, increasing Sn doping within the Zn-rich phase space achieved zT = 0.43 by optimizing |S| through defect control.77 In 2013, experiments combined with EM model analysis predicted a zT of ∼1.1, indicating that underdoping was needed to tune |S|.78 Recently (∼2023), |S| ∼ 163 µV K−1 was achieved, although further underdoping is still required to reach the optimum value.79–84

By reformulating the EM model in terms of thermopower and the thermoelectric quality factor, this work distils the essential physics of thermoelectric optimization into a form accessible from routine measurements. The approach enables rapid, Hall effect-free determination of zTmax, the optimum |S|, and µw, while diagnosing whether performance is limited by doping, electronic structure, or scattering.

Applicable to degenerate and moderately non-degenerate semiconductors in which |S| serves as a monotonic proxy for the reduced Fermi level and diffusion thermopower governs transport, the resulting zT expression (eqn (7)) functions as an effective transport descriptor, even when the material deviates from single parabolic band behaviour. In systems with multi-band contributions or band non-parabolicity, the extracted quantities should therefore be interpreted as effective transport parameters rather than strict band constants.

Applied to diverse systems, it captures band convergence, grain boundary effects, and defect-driven mobility changes, providing both mechanistic insight and quantitative performance targets. This broadly applicable approach can guide composition design, processing strategies, and practical implementation, accelerating the discovery and deployment of next-generation thermoelectric materials.

Author contributions

Conceptualization was done by G. J. Snyder, H. Kim, and M. Heo. M. Heo, K. H. Lee, and I. Lee developed the methodology. M. Heo, J. Song, C. Lee, and K. Kim conducted the investigation. J. Song and C. Lee were responsible for visualization. H. Wee and J. Lee acquired funding. I. Lee and K. Kim handled project administration. Y. Koh, H. Wee, and J. Lee supervised the project. The original draft was written by M. Heo, K. H. Lee, and J. Song. Y. Koh, H. Kim, and G. J. Snyder reviewed and edited the paper. The authors read, discussed, and commented on the manuscript.

Conflicts of interest

There are no conflicts to declare.

Data availability

All data supporting the findings of this study are available in the article and its supplementary information (SI). The SI includes additional derivations of the effective mass model and thermopower-based zT formulation, validation against the Hall-based EM model, weighted mobility analysis, and supporting figures and tables. See DOI: https://doi.org/10.1039/d5ee06413a.

Further information is available from the corresponding author on request.

Acknowledgements

This research was supported by Nano Material Technology Development Program through National Research Foundation of Korea (NRF) funded by the Ministry of Science and ICT (RS-2022-NR068194). This work was also supported by the National Research Foundation of Korea (NRF) grant funded by the Korea government (MSIT) (RS-2023-00212959).

Notes and references

  1. J. Zhang, L. Song and B. B. Iversen, npj Comput. Mater., 2019, 5, 76 CrossRef .
  2. C. J. Perez, M. Wood, F. Ricci, G. Yu, T. Vo, S. K. Bux, G. Hautier, G.-M. Rignanese, G. J. Snyder and S. M. Kauzlarich, Sci. Adv., 2021, 7, eabe9439 CrossRef CAS PubMed .
  3. Y. Pei, X. Shi, A. LaLonde, H. Wang, L. Chen and G. J. Snyder, Nature, 2011, 473, 66–69 CrossRef CAS PubMed .
  4. X. Shi, S. Song, G. Gao and Z. Ren, Science, 2024, 384, 757–762 CrossRef CAS PubMed .
  5. M. Y. Toriyama and G. J. Snyder, Mater. Horiz., 2024, 11, 1188–1198 RSC .
  6. L. Hu, T. Zhu, X. Liu and X. Zhao, Adv. Funct. Mater., 2014, 24, 5211–5218 CrossRef CAS .
  7. J. Wang, H. Gao, K. Zhao, H. Wuliji, B. Zhao, J. Ma, X. Chen, J. Zhang, Y. Sui, T.-R. Wei, M. Zhu and X. Shi, Sci. Adv., 2025, 11, eadt6298 CrossRef CAS PubMed .
  8. Z.-Y. Huang, F. Wang, C. Jung, S. Zhang, F. Zu, C. Zhou and Y. Yu, Mater. Today Phys., 2023, 37, 101198 CrossRef CAS .
  9. S.-I. Kim, K. H. Lee, H. A. Mun, H.-S. Kim, S. W. Hwang, J. W. Roh, D. J. Yang, W. H. Shin, X. S. Li, Y. H. Lee, G. J. Snyder and S. W. Kim, Science, 2015, 348, 109–114 CrossRef CAS PubMed .
  10. W. Ren, Y. Sun, D. Zhao, A. Aili, S. Zhang, C. Shi, J. Zhang, H. Geng, J. Zhang, L. Zhang, J. Xiao and R. Yang, Sci. Adv., 2021, 7, eabe0586 CrossRef CAS PubMed .
  11. S. Jia, H. Ma, S. Gao, L. Yang and Q. Sun, Small, 2024, 20, 2405019 CrossRef CAS PubMed .
  12. S. Matern, S. V. Moreira, P. Samuelsson and M. Leijnse, Phys. Rev. B, 2024, 110, 205423 CrossRef CAS .
  13. H. Zhou, T. Tian, X. Wang and J. Li, Appl. Energy, 2023, 332, 120539 CrossRef .
  14. B. M. Askerov, Electron Transport Phenomena in Semiconductors, World Scientific, Farrer Road, Singapore, 1994 Search PubMed .
  15. V. I. Fistul, Heavily Doped Semiconductors, Plenum Press, New York, NY, 1969 Search PubMed .
  16. A. F. Ioffe, L. S. Stil'bans, E. K. Iordanishvili, T. S. Stavitskaya, A. Gelbtuch and G. Vineyard, Phys. Today, 1959, 12, 42 CrossRef .
  17. A. J. Minnich, M. S. Dresselhaus, Z. F. Ren and G. Chen, Energy Environ. Sci., 2009, 2, 466–479 RSC .
  18. Z. M. Gibbs, F. Ricci, G. Li, H. Zhu, K. Persson, G. Ceder, G. Hautier, A. Jain and G. J. Snyder, npj Comput. Mater., 2017, 3, 8 CrossRef .
  19. S. Hao, L. Ward, Z. Luo, V. Ozolins, V. P. Dravid, M. G. Kanatzidis and C. Wolverton, Chem. Mater., 2019, 31, 3018–3024 CrossRef CAS .
  20. R. P. Chasmar and R. Stratton, J. Electron. Control, 1959, 7, 52–72 CrossRef CAS .
  21. H. Wang, Y. Pei, A. D. LaLonde and G. J. Snyder, in Thermoelectric Nanomaterials: Materials Design and Applications, ed K. Koumoto and T. Mori, Springer Berlin Heidelberg, Berlin, Heidelberg, 2013, pp. 3–32 Search PubMed .
  22. S. D. Kang and G. J. Snyder, arXiv, 2018, preprint, arXiv:1710.06896 DOI:10.48550/arXiv.1710.06896.
  23. F. Werner, J. Appl. Phys., 2017, 122, 135306 CrossRef .
  24. G. J. Snyder, A. Pereyra and R. Gurunathan, Adv. Funct. Mater., 2022, 32, 2112772 CrossRef CAS .
  25. H.-S. Kim, Z. M. Gibbs, Y. Tang, H. Wang and G. J. Snyder, APL Mater., 2015, 3, 041506 CrossRef .
  26. G. J. Snyder, A. H. Snyder, M. Wood, R. Gurunathan, B. H. Snyder and C. Niu, Adv. Mater., 2020, 32, 2001537 CrossRef CAS PubMed .
  27. G. Jonker, Philips Res. Rep., 1968, 23, 131–138 Search PubMed .
  28. S. D. Kang and G. J. Snyder, Nat. Mater., 2017, 16, 252–257 CrossRef PubMed .
  29. M. T. Agne, F. R. L. Lange, J. P. Male, K. S. Siegert, H. Volker, C. Poltorak, A. Poitz, T. Siegrist, S. Maier, G. J. Snyder and M. Wuttig, Matter, 2021, 4, 2970–2984 CrossRef CAS .
  30. S. A. Gregory, R. Hanus, A. Atassi, J. M. Rinehart, J. P. Wooding, A. K. Menon, M. D. Losego, G. J. Snyder and S. K. Yee, Nat. Mater., 2021, 20, 1414–1421 CrossRef CAS PubMed .
  31. H. J. Goldsmid, in Introduction to Thermoelectricity, ed H. J. Goldsmid, Springer Berlin Heidelberg, Berlin, Heidelberg, 2016, pp. 45–66 Search PubMed .
  32. A. H. Wilson and J. Bardeen, The Theory of Metals, Cambridge Univ. Press, Cambridge, England, 1953 Search PubMed .
  33. A. F. May and G. J. Snyder, in Materials, preparation, and characterization in thermoelectrics, ed D. M. Rowe, CRC Press, Boca Raton, FL, 2012, pp. 1–18 Search PubMed .
  34. A. F. May, E. S. Toberer, A. Saramat and G. J. Snyder, Phys. Rev. B: Condens. Matter Mater. Phys., 2009, 80, 125205 CrossRef .
  35. X. Zhang, Z. Bu, X. Shi, Z. Chen, S. Lin, B. Shan, M. Wood, A. H. Snyder, L. Chen, G. J. Snyder and Y. Pei, Sci. Adv., 2020, 6, eabc0726 CrossRef CAS PubMed .
  36. M. Cutler and N. F. Mott, Phys. Rev., 1969, 181, 1336–1340 CrossRef CAS .
  37. N. W. Ashcroft and N. D. Mermin, Solid State Physics, Holt, Rinehart and Winston, Boston, MA, 1976 Search PubMed .
  38. C. Kittel, Introduction to Solid State Physics, Wiley, Hoboken, NJ, 2011 Search PubMed .
  39. R. Hanus, R. Gurunathan, L. Lindsay, M. T. Agne, J. Shi, S. Graham and G. J. Snyder, Appl. Phys. Rev., 2021, 8, 031311 CAS .
  40. E. S. Toberer, A. Zevalkink and G. J. Snyder, J. Mater. Chem., 2011, 21, 15843–15852 RSC .
  41. C. Fanciulli, M. Codecasa, F. Passaretti and D. Vasilevskiy, J. Electron. Mater., 2014, 43, 2307–2313 CrossRef CAS .
  42. S. Whalen, S. Jana, D. Catalini, N. Overman and J. Sharp, J. Electron. Mater., 2016, 45, 3390–3399 CrossRef CAS .
  43. S. Y. Wang, W. J. Xie, H. Li, X. F. Tang and Q. J. Zhang, J. Electron. Mater., 2011, 40, 1150–1157 CrossRef CAS .
  44. W.-S. Liu, Q. Zhang, Y. Lan, S. Chen, X. Yan, Q. Zhang, H. Wang, D. Wang, G. Chen and Z. Ren, Adv. Energy Mater., 2011, 1, 577–587 CrossRef CAS .
  45. S. Ma, C. Li, L. Xing, X. Mu, W. Zhu, X. Nie, X. Sang, P. Wei, Q. Zhang and W. Zhao, J. Electron. Mater., 2020, 49, 2881–2889 CrossRef CAS .
  46. X. Duan, K. Hu, S. Ding, D. Man, W. Zhang and M. Ma, Funct. Mater. Lett., 2015, 8, 1550008 CrossRef CAS .
  47. Q. Lognoné and F. Gascoin, J. Alloys Compd., 2015, 635, 107–111 CrossRef .
  48. L. D. Ivanova, L. I. Petrova, Y. V. Granatkina, V. S. Zemskov, O. B. Sokolov, S. Y. Skipidarov and N. I. Duvankov, Inorg. Mater., 2009, 45, 123–128 CrossRef CAS .
  49. X. Yan, B. Poudel, Y. Ma, W. S. Liu, G. Joshi, H. Wang, Y. Lan, D. Wang, G. Chen and Z. F. Ren, Nano Lett., 2010, 10, 3373–3378 CrossRef CAS PubMed .
  50. C. Kim, D. H. Kim, Y. S. Han, J. S. Chung, S. Park and H. Kim, Powder Technol., 2011, 214, 463–468 CrossRef CAS .
  51. W. Liu, K. C. Lukas, K. McEnaney, S. Lee, Q. Zhang, C. P. Opeil, G. Chen and Z. Ren, Energy Environ. Sci., 2013, 6, 552–560 RSC .
  52. L. D. Ivanova, L. I. Petrova, Y. V. Granatkina, V. S. Zemskov, O. B. Sokolov, S. Y. Skipidarov, V. A. Kurganov and V. V. Podbel'skii, Inorg. Mater., 2011, 47, 459–464 CrossRef CAS .
  53. S. T. Han, P. Rimal, C. H. Lee, H.-S. Kim, Y. Sohn and S.-J. Hong, Intermetallics, 2016, 78, 42–49 CrossRef CAS .
  54. K. C. Lukas, W. S. Liu, Z. F. Ren and C. P. Opeil, J. Appl. Phys., 2012, 112, 054509 CrossRef .
  55. L. Cheng, Z.-G. Chen, L. Yang, G. Han, H.-Y. Xu, G. J. Snyder, G.-Q. Lu and J. Zou, J. Phys. Chem. C, 2013, 117, 12458–12464 CrossRef CAS .
  56. X. Zhang and Y. Pei, npj Quantum Mater., 2017, 2, 68 CrossRef .
  57. D. Zavanelli, A. Pröschel, J. Winograd, R. Cherkez and G. J. Snyder, J. Appl. Phys., 2022, 131, 115101 CrossRef CAS .
  58. G. J. Snyder and A. H. Snyder, Energy Environ. Sci., 2017, 10, 2280–2283 RSC .
  59. N. H. Protik and B. Kozinsky, Phys. Rev. B, 2020, 102, 245202 CrossRef CAS .
  60. R. Masuki, T. Nomoto and R. Arita, Phys. Rev. B, 2021, 103, L041202 CrossRef CAS .
  61. H. J. Goldsmid and J. W. Sharp, J. Electron. Mater., 1999, 28, 869–872 CrossRef CAS .
  62. Z. M. Gibbs, H.-S. Kim, H. Wang and G. J. Snyder, Appl. Phys. Lett., 2015, 106, 022112 CrossRef .
  63. M. Stordeur and W. Kühnberger, Phys. Status Solidi B, 1975, 69, 377–387 CrossRef CAS .
  64. M. Stordeur, M. Stölzer, H. Sobotta and V. Riede, Phys. Status Solidi B, 1988, 150, 165–176 CrossRef CAS .
  65. R. Sehr and L. R. Testardi, J. Phys. Chem. Solids, 1962, 23, 1219–1224 CrossRef CAS .
  66. T. Plecháček, J. Navrátil, J. Horák and P. Lošt’ák, Philos. Mag., 2004, 84, 2217–2228 CrossRef .
  67. M. K. Zhitinskaya, S. A. Nemov and T. E. Svechnikova, Phys. Solid State, 1998, 40, 1297–1300 CrossRef .
  68. Z. Su, J. He, X. Ji, N. Gothard and T. M. Tritt, Sci. Adv. Mater., 2011, 3, 596–601 CrossRef CAS .
  69. K. T. Kim, K. J. Kim and G. H. Ha, Electron. Mater. Lett., 2010, 6, 177–180 CrossRef CAS .
  70. H.-S. Kim, N. A. Heinz, Z. M. Gibbs, Y. Tang, S. D. Kang and G. J. Snyder, Mater. Today, 2017, 20, 452–459 CrossRef CAS .
  71. O. Yamashita and S. Sugihara, J. Mater. Sci., 2005, 40, 6439–6444 CrossRef CAS .
  72. O. Yamashita, Appl. Energy, 2009, 86, 1746–1756 CrossRef CAS .
  73. M. Wood, J. J. Kuo, K. Imasato and G. J. Snyder, Adv. Mater., 2019, 31, 1902337 CrossRef PubMed .
  74. M. Ozen, A. B. Burcak, D. Zavanelli, M. Heo, M. Yahyaoglu, Y. Oz, U. Burkhardt, H.-S. Kim, G. J. Snyder and U. Aydemir, ACS Appl. Mater. Interfaces, 2024, 16, 52501–52514 CrossRef CAS PubMed .
  75. S. Zhan, T. Hong, B. Qin, Y. Zhu, X. Feng, L. Su, H. Shi, H. Liang, Q. Zhang, X. Gao, Z.-H. Ge, L. Zheng, D. Wang and L.-D. Zhao, Nat. Commun., 2022, 13, 5937 CrossRef CAS PubMed .
  76. P. H. M. Böttger, G. S. Pomrehn, G. J. Snyder and T. G. Finstad, Phys. Status Solidi A, 2011, 208, 2753–2759 CrossRef .
  77. M. Wood, M. Y. Toriyama, S. Dugar, J. Male, S. Anand, V. Stevanović and G. J. Snyder, Adv. Energy Mater., 2021, 11, 2100181 CrossRef CAS .
  78. T. Day, F. Drymiotis, T. Zhang, D. Rhodes, X. Shi, L. Chen and G. J. Snyder, J. Mater. Chem. C, 2013, 1, 7568–7573 RSC .
  79. W. Mi, P. Qiu, T. Zhang, Y. Lv, X. Shi and L. Chen, Appl. Phys. Lett., 2014, 104, 133903 CrossRef .
  80. K. H. Lim, K. W. Wong, Y. Liu, Y. Zhang, D. Cadavid, A. Cabot and K. M. Ng, J. Mater. Chem. C, 2019, 7, 2646–2652 RSC .
  81. H. Wang, W. Chu, D. Wang, W. Mao, W. Pan, Y. Guo, Y. Xiong and H. Jin, J. Electron. Mater., 2011, 40, 624–628 CrossRef CAS .
  82. S. Y. Tee, X. Y. Tan, X. Wang, C. J. J. Lee, K. Y. Win, X. P. Ni, S. L. Teo, D. H. L. Seng, Y. Tanaka and M.-Y. Han, Inorg. Chem., 2022, 61, 6451–6458 CrossRef CAS PubMed .
  83. M. Jin, J. Liang, P. Qiu, H. Huang, Z. Yue, L. Zhou, R. Li, L. Chen and X. Shi, J. Phys. Chem. Lett., 2021, 12, 8246–8255 CrossRef CAS PubMed .
  84. J. Chen, Q. Sun, D. Bao, T. Liu, W.-D. Liu, C. Liu, J. Tang, D. Zhou, L. Yang and Z.-G. Chen, ACS Appl. Mater. Interfaces, 2020, 12, 51523–51529 CrossRef CAS PubMed .

Footnote

These authors contributed equally to this work.

This journal is © The Royal Society of Chemistry 2026
Click here to see how this site uses Cookies. View our privacy policy here.