DOI:
10.1039/D5DD00405E
(Paper)
Digital Discovery, 2026, Advance Article
Mapping Bloch-Redfield dynamics into a unitary gate-based quantum algorithm
Received
11th September 2025
, Accepted 30th January 2026
First published on 20th February 2026
Abstract
Recent progress in quantum computation has allowed for the simulation of dissipative quantum dynamics on current noisy quantum hardware. While most of these algorithms currently rely on phenomenological frameworks, microscopic approaches offer essential insights into various relaxation processes. Within classical simulation, the Bloch-Redfield equation serves as a microscopic method for modeling relaxation dynamics with applications in quantum information science and spintronics. Here, we utilize a diagonal dilation approach to map the Bloch-Redfield master equation in Liouville space into a compact set of circuits to simulate the dissipation of a spin system, akin to a dissipative process for a single molecule magnet. We demonstrate this algorithm in a variety of parameter regimes, including at different temperatures and external magnetic field strengths, on both quantum simulators and IonQ's Aria-1 quantum computer. This work broadens the scope of dissipative dynamics simulatable on quantum platforms.
1. Introduction
In recent years, there has been remarkable development in quantum computing science, especially with respect to addressing challenges in computational chemistry.1–3 While hardware, software, and error correction have all improved, we remain in the Noisy-Intermediate Scale Quantum (NISQ) era where we have access to relatively few qubits, that are highly susceptible to noise.4,5 In this regime, hybrid quantum-classical approaches have shown great promise by leveraging both classical and quantum computers for their respective strengths.6 Early use of hybrid quantum-classical algorithms in chemical applications focused primarily on the static electronic structure problem, with a heavy emphasis on Variational Quantum Eigensolvers to find ground state energies of molecular systems.7–9 More recently, applications of these algorithms have expanded to advance computational catalysis,10,11 drug design and metabolism,12–15 and modeling of dissipative, or open, quantum system dynamics.16,17
Regarding dissipative quantum systems, current simulations of non-unitary evolution are restricted by both typical algorithmic challenges and the unitary computing architecture of many available hardware platforms. To address the latter issue, several block-encoding quantum algorithms dilate the Hilbert space of the non-unitary system into a unitary framework via techniques such as the Sz-Nagy dilation, unitary dilation of diagonals, and unitary decomposition approaches.18–27 Open quantum systems can also be modeled on quantum hardware with a variety of other methods, including purification,28,29 quantum imaginary time evolution,30–32 variational techniques,33–38 collision models,39–41 and Monte Carlo simulations,42 among others.43–54
While the design of hybrid quantum-classical algorithms to capture dissipative dynamics in general is challenging, the majority of current research has focused on applying the Gorini–Kossakowski–Sudarshan–Lindblad (GKSL) formalism.31,55–60 The GKSL equation is a phenomenological approach to modeling dissipative dynamics61,62 which has been applied in both the zero- and finite-temperature limits.45,63,64 While phenomenological approaches provide many benefits including ease of use, often a microscopic approach is desirable. Classically there are several microscopic open quantum system approaches to simulate temperature-dependent relaxation,65–69 though these approaches may not preserve positivity throughout the time evolution.70–72 The Bloch-Redfield formulation,73,74 derived under the Born-Markov approximation, is effective for capturing steady-state populations and relaxation dynamics for a variety of chemical and molecular systems at temperature, notably in the fields of photosynthetic light harvesting75–77 and single molecule magnets (SMMs).76,78–81 In SMMs, for example, observed spin relaxation is mostly determined by the spin-phonon relaxation (T1), which is highly temperature dependent.82,83 The quantum simulation of the Bloch-Redfield equation on quantum hardware could facilitate the study of temperature-driven relaxation in open quantum systems, providing insight into the behavior and properties of molecules and advanced spin-devices at ambient temperatures.
Here, we introduce a hybrid quantum-classical algorithm to consider the dynamical evolution of a molecular spin system under the influence of a bosonic reservoir via an ohmic spectral density using the Bloch-Redfield equation. We demonstrate our algorithm by simulating the dynamics of a two-level system interacting with an external magnetic fied, which is the simplest model of an SMM. By determining the form of the quantum circuits directly with respect to the system and environment parameters, our Redfield-based quantum algorithm is general for treating molecular spin relaxation under different system-environment coupling parameters. The present form of this algorithm is not designed with fault-tolerant quantum computing in mind; instead this approach presents a NISQ-friendly algorithm with compact circuits, demonstrated on both noisy quantum simulators and IonQ's Aria-1 quantum machine. Importantly, this work broadens the scope of simulatable dissipative dynamics on quantum hardware to a regime where a spectral function can be explicitly included into the circuit parameters.
2. Theory
2.1. Redfield equation
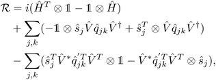
The Bloch-Redfield master equation is a microscopically-derived open systems approach to consider environmentally-driven dynamics under the Born-Markov approximation.70,73,74,84 These approximations imply that this theory is valid for weak system-environment couplings, and when the environment relaxes sufficiently quickly such that memory effects do not play a role in the dynamics. The dynamics of a system's density matrix ρ can be written in atomic units as,| |
 | (1) |
where Ĥ is the system Hamiltonian,
are the eigenvectors of Ĥ, and ŝj are the system operators which dictate how the system couples to an environment.76,85 The strength of coupling to the environment is represented through the
operators as,| |
 | (2) |
and
| |
 | (3) |
where
ω are the eigenvalues of
Ĥ,
n,
m denote the matrix elements with respect to a basis indexed with
n and
m,
76 and
Cjk is the spectral function, which describes the temperature-dependent distribution of coupling frequencies present in the environment. This equation can also be written as a propagator equation in the so-called Liouville space,
86| |
 | (4) |
where
| |
 | (5) |
where

is the identity operator, and ⊗ is the Kronecker product. The dimension of the vectorized density matrix, |
ρ(
t)〉, is quadratically larger than the dimension of
ρ in the original Hilbert space; however, |
ρ(
t)〉 can be normalized to be a pure state in Liouville space, which facilitates the simulation of the dynamics on unitary quantum computers.
2.2. Unitary mapping of Bloch-Redfield dynamics
The propagator in eqn (4) is in general non-unitary, which requires a unitary mapping for implementation on unitary-gate-based quantum devices. We use a diagonal dilation technique to apply the exponentiated superoperator probabilistically.21,60 This requires diagonalizing the propagator; however, we find this yields a parameterized quantum circuit for the propagation with respect to the system-environment variables and time. This circuit is generally applicable to any two-level system evolving according to the Bloch-Redfield equation, thus the cost of diagonalization produces a parameterized quantum circuit that can simulate a variety of dynamical evolutions. The superoperator in eqn (5) is diagonalizable under appropriate parameter regimes,| |
 | (6) |
where K is an invertible transformation matrix, or the matrix of eigenvectors, and
is the diagonalized Bloch-Redfield tensor. The dynamical evolution in the vectorized equation can then be written as,| |
 | (7) |
where |
(0)〉 is the initial vectorized density matrix transformed with the transformation matrix K−1. We then simulate
via quantum gates, where we can use dilation techniques to apply the non-unitary diagonal operator
.21,87 This is in contrast to quantum trajectory approaches, where the density matrix is constructed by trajectory sampling. In that case, the system operators are in Hilbert space and the quantum jumps can be applied using ancilla resets. The complexity of the density matrix construction is sensitive to the system relaxation time, in constrast to direct superoperator methods like the vectorized approach described here. Through a minimal one-dilation, the dynamics can be simulated probabilistically, conditioned on the state of the single additional ancilla. Specifically, a non-unitary diagonal matrix can be dilated into a unitary diagonal matrix,| |
 | (8) |
where X± are diagonal matrices whose entries are,| |
 | (9) |
where xi are diagonal elements of
. Importantly
and X± are unitary, and
, which allows the use of the Linear Combination of Unitaries (LCU) technique to prepare the desired state probabilistically.21,88 In general for an r-dimensional operator
, the dilated unitary is 2r, with the pairs x± on the diagonal. The circuit decompositions of diagonal unitaries have a well known form, which we use in the present work.87 Exact implementation of diagonal operators scales exponentially; however, these operators can alternatively be implemented polynomially with controlled error.89 The dilated operator is applied to a quantum state, and the positive linear combination of the subspaces results in the desired time evolution.
After measurement, the density matrix can be classically transformed to the original basis to obtain the system evolution. This classical transformation step results in the hybrid quantum-classical algorithm for simulating the Redfield dynamics. For quantum devices with reduced noise, we could apply both K−1 and K on the quantum circuit with additional ancilla qubits; however, the initial diagonalization of the Redfield superoperator is still performed classically. To measure observables of the dynamical system using a noisy quantum simulator, we apply K after the time-propagation.
2.3. Measuring observables
In addition to investigating the dynamics, this framework can be used to determine observables. To measure an observable of Ô on the quantum device directly, we must apply the transformation K on the device since, in general, K and Ô do not commute. The expectation value of a general observable can then be found through the Hadamard test.90 We implement the non-unitary transformation matrix K on a quantum circuit by using the singular value decomposition (SVD),where U and P are unitary matrices and Σ is diagonal and non-unitary.21 In order to implement this decomposition, we dilate Σ to make it unitary using the same technique as in the previous section, requiring a second ancilla qubit.
3. Methods
The Bloch-Redfield equation yields an approximate method to consider processes such as excitonic transport through photosynthetic light-harvesting antennae,75–77 electron-transfer dynamics,91 and molecular spin relaxation in SMMs.92,93 SMMs consist of transition metal ions coordinated to organic ligands with a paramagnetic electron housed on the ion. Techniques in synthetic chemistry offer a significant degree of flexibility in tuning the surrounding ligand field, making these systems relevant for contemporary technologies;94–99 however, the vibrational structure of the SMMs limits their practical use via spin-phonon coupling induced relaxation at elevated temperatures.100 As an example of our theory above, we will consider a two-level system coupled to a bosonic reservoir via an ohmic spectral density as the simplest example of an SMM starting with a specific coupling parameter, then generalize to arbitrary system-environment coupling.
The circuits derived in this section are analytically dependent on the system and environment parameters of the physical system being studied. This implies that the circuits derived in Section 3.1 can be used for any two-level system coupled to an environment with any spectral density through a
x interaction, including varying magnetic fields and temperatures. The parameters derived in Section 3.3 generalize further, lifting the constraint on the system-environment coupling operator, thus providing circuits parametrized for the most general two-level system Redfield dynamics.
3.1. Dynamics of a two-level system interacting with a bosonic reservoir
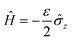
Consider an
two-level system defined by the Hamiltonian,| |
 | (11) |
where ε = µBB0gS is the Zeeman splitting energy in an external magnetic field B0, µB is the Bohr magneton, g is the Landè tensor,92 and
z is the Pauli-z operator. For this example, we will consider a system-coupling operator of the form ŝ =
x, where
x is the Pauli-x operator. The environment will be a bath of phonons with a temperature-dependent population of modes, and we will invoke an ohmic spectral density to quantify the coupling strength between system and bath operators at each frequency,76,101| |
 | (12) |
with
| |
 | (13) |
where
ω > 0,
δjk is the Kronecker delta function,
kB is the Boltzmann constant, ℏ is reduced Planck's constant, and
T is the temperature. This form is commonly used in the study of quantum optics and non-equilibrium statistical physics, where the thermal effects play a significant role in the dynamics.
76,101,102
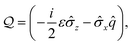
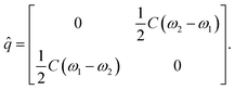
For a two-level system, the dimension of the propagator in Liouville space is 4, making the dilated unitary an 8 by 8, or 3-qubit, operator. For a 3-qubit diagonal unitary, we can apply the dilated
to a quantum circuit with angles that are related to the system and bath parameters of the dissipative two-level system. From the system Hamiltonian and the system-environment coupling operator
x, we can rewrite
as,
| |
 | (14) |
where
| |
 | (15) |
and
| |
 | (16) |
Setting
and
, the explicit form of
is given by,
| |
 | (17) |
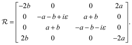
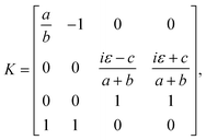
Under these conditions the transformation matrix and diagonal superoperator are written in terms of the dynamical parameters,
| |
 | (18) |
and,
| |
 | (19) |
where

. We note that
K is non-invertible when
a +
b = ε.
After initial state preparation, we apply the diagonal dilated unitary
as a 3-qubit operator in terms of Rz and CNOT gates by using Walsh functions,87
| |
 | (20) |
| | |
= Rz(α1) ⊕ Rz(α2) ⊕ Rz(α3) ⊕ Rz(α4),
| (21) |
where
N is the size of the dilated unitary,
aj are the Walsh coefficients,
ŵj are the Walsh functions, ⊕ is the direct sum, and
Rz(
α) is the rotation about the
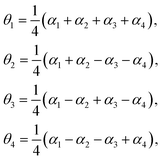
z-axis. The angles are,
| |
 | (22) |
where
αi = arctan(
X±,ii) and
X±,ii's are given by
eqn (9), which are found from the exponential of the diagonal elements of

in
eqn (19). This circuit is shown in
Fig. 1, and the explicit forms of the angles in terms of system-environment parameters are given in the SI.
 |
| | Fig. 1 Quantum circuit for the unitary dilated propagator . An ancillary qubit, |a〉, is introduced due to the dilation, and the angles are defined in the main text. | |
After propagation with the diagonal operator, we perform conditional quantum state tomography on the 2-qubit system, which we perform by measuring the state repeatedly in the complete Pauli basis. The measurement cost is
for N system qubits, and the number of required measurements scale as
with precision δ. Next, we classically apply K on the result of the tomography, which returns the density matrix to the original basis. It is known that quantum state tomography does not give positive semi-definite (PSD) density matrix in general, so as a final classical step, we project the result to the nearest PSD density operator through semi-definite programming.103–106 Alternatively, one can perform linear inversion optimization to find the nearest PSD density operator.107
3.2. Magnetization of a two-level system interacting with a bosonic reservoir
We determine the magnetization, M, of our molecular system by calculating the expectation value of
z,| |
M = Tr(ρ z).
| (23) |
Because the quantum state is in the Z-basis, we can compute magnetization directly from the populations of the ground- and excited-states after transformation by K, which requires neither full tomography nor the Hadamard test. To implement the non-unitary transformation K, we use the SVD-dilation method to make Σ unitary as we did for
, previously shown in eqn (10) and (8). Notably, for the present example the SVD can be found analytically. With the SVD and the dilation on Σ, we implement this decomposition on the circuit as shown in Fig. 2, where the angles ϕi's are derived in the same way for the angles θi's, and the P† and U gates are the unitary matrices found from the SVD.
 |
| | Fig. 2 Quantum circuit for the operator K, where |a〉 is the same ancilla for , |ã〉 is the second ancilla for K due to the dilation of Σ, and H is the Hadamard gate. | |
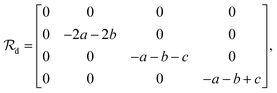
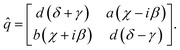
3.3. Extension to arbitrary system-environment couplings
In the circuits derived above the spectral density and external magnetic field are parameters that can be altered without the need for further derivations. To generalize this approach further, we can generalize the system-environment coupling operator beyond the σ^x chosen above. We can follow a similar procedure for a general system-environment coupling operator,| |
 | (24) |
where χ, β, γ, and δ are arbitrary constants and σ^i are Pauli gates. For simplicity we can define| |
 | (25) |
| |
 | (26) |
| |
 | (27) |
in terms of an arbitrary spectral density. This allows the strength of the coupling to the environment to be encoded in the operators,
| |
 | (28) |
We can also write
and
with this coupling as,
| |
 | (29) |
| |
 | (30) |
Under these conditions, the transformation matrix and diagonal superoperator can also be found and therefore decomposed into a gate series where the arguments of the gates depend explicitly and analytically on the system-environment parameters outlined above. The full transformation matrix and diagonal operator are shown in the SI.
4. Results
We demonstrate this algorithm on two-level system dynamics under various temperatures and magnetic fields, simulating a variety of physical regimes. It should be noted that we focus on population dynamics and observables; however, we compute the full density matrix dynamics. Here, we use an initial state with no coherences, but given an initial state with non-zero coherence, this approach can also yield coherence dynamics. The ground- and excited-state population dynamics of a two-level system interacting with a bosonic reservoir via an ohmic spectral density at 25 K in a 1 T external magnetic field are shown in Fig. 3. Solid and dashed lines respectively represent the ground- and excited-state dynamics from classically solving the Redfield equation, and circles show results from IonQ's trapped ion Aria-1 device with 1000 shots. The Aria-1 device implements single-qubit gates via the native gate set, which consists of GPi, GPi2, and Virtual-Z gates by utilizing Rabi-oscillations made with a two-photon Raman transition,108 while entangling operations are implemented via Mølmer–Sørensen gates.109 Additional hardware specifications are given in the SI. After the circuit implementation on IonQ's Aria-1 is implemented with the debiasing error mitigation technique, the measurement statistics results are aggregated by a componentwise averaging strategy, introduced in ref. 110. Due to the compact circuits, the device data is in good agreement with the classical solution.
 |
| | Fig. 3 Two-level system relaxation dynamics at 25 K in a 1 T external magnetic field due to interaction with an ohmic spectral density, where the classical ground (solid line) and excited (dashed line) populations and IonQ Aria-1 device data (circles) are shown. | |
With the same circuit structure we consider these dynamics at varying temperatures shown in Fig. 4 with ground-state population as solid lines, excited-state populations as dashed lines, and results from 1024 shots on IonQ's simulator with the Aria-1 noise model as circles. As expected, as temperature increases, the relaxation times decrease.
 |
| | Fig. 4 Two-level system relaxation dynamics due to interaction with an ohmic spectral density in a 1 T external magnetic field, where the classical ground-state population (solid lines) and classical excited-state population (dashed lines) are shown at 10 K, 25 K, 100 K, 200 K, and 300 K, with results from IonQ's simulator with the Aria-1 noise model shown as circles for the ground and excited states. | |
We explore a range of external magnetic fields in Fig. 5 to demonstrate the effect of field strength on the dynamics. Again, solid and dashed lines respectively represent the ground- and excited-state dynamics from classically solving the Redfield equation, and circles the results from 1024 shots on IonQ's simulator with the Aria-1 noise model.
 |
| | Fig. 5 Two-level system relaxation dynamics due to interaction with an ohmic spectral density at 25 K, where the classical ground-state population (solid lines), classical excited-state population (dashed lines), and IonQ simulator with the Aria-1 noise model results are shown at external magnetic fields of 0.1 T, 1 T, and 5 T. | |
High magnetic fields lead to shorter T1 time and higher magnetization for the spin system. In all of the regimes explored thus far, we can use the same circuit decomposition as demonstrated in Fig. 1, varying only the input angles based on temperature, external magnetic field, and time.
Finally, we calculate the expectation value of the system's magnetization via the circuit shown in Fig. 2. Fig. 6 shows the expectation value of the magnetization where the classical results are shown by a line, and the results from 1024 shots on IonQ's simulator with the Aria-1 noise model are shown as circles.
 |
| | Fig. 6 Classical (line) and IonQ's simulator with the Aria-1 noise model (circles) expectation values of the magnetization of two-level system under 1 T external magnetic field at 25 K. | |
The simulator closely matches the classical result, and the magnetization becomes stable in the steady-state, as expected.
In all of these results, we show good agreement between the classical solution and either IonQ's Aria-1 device or IonQ's simulator with the Aria-1 noise model, with a relatively low number of required measurements. Since the system size is small, we perform full tomography; however, for larger systems, approaches like the Hadamard test or shadow tomography would be more appropriate.90,111,112 While the cost of determining this circuit structure is relatively high, it allows for the derivation of a general circuit whose angle arguments depend directly on the original system parameters. This circuit needs to be derived only once to produce all of the data above, thus demonstrating the system and parameter scope attainable through a single diagonalization step.
5. Discussion and conclusions
We have mapped the Bloch-Redfield master equation into quantum algorithmic form to study the relaxation dynamics of a molecular spin system with an explicit spectral function, as a simple model of the dynamics and magnetization of an SMM. We derived circuits with parameters that depend explicitly on the molecular system, specifically on the Zeeman splitting, system-environment coupling, and spectral function of the environment. This requires explicit diagonalization of the Bloch-Redfield tensor to construct a time-independent similarity transformation into a diagonal basis. While this step is exponentially costly, it can be considered a classical preprocessing step to produce circuits that are general for the specific system-environment coupling chosen, in this case ŝ =
x. This allows the same circuits to be used for any given time point, temperature, external magnetic field, Zeeman splitting, and environmental spectral function. Moreover, these derived circuits are compact and therefore amenable to practical implementation on current quantum hardware, as demonstrated using IonQ's Aria-1 device.
An important contribution of this work is representing the propagation of the dilated Redfield operator in a fixed-form quantum circuit. In contrast, previous work required computing the SVD of the propagator at every time step,60 whereas the present work provides a fixed and parameterized quantum circuit as a function of system-environment parameters and time, which can be used in future testing of Redfield dynamics of a two-level system. While this algorithm is developed for the current NISQ era, adaptations could be made in the future for fault-tolerant quantum computing. With improved devices, some of the classical overhead could be shifted to the quantum processors, such as diagonalization of the Redfield tensor by using quantum SVD or variational algorithms. While exact parameterization of a many-qubit system with this approach is intractable, the parameterization of the two-level system may still be useful in many-qubit settings. One potential application is molecular arrays where individual molecules are weakly coupled to one another. In this context this algorithm could be extended by perturbation theory with weak coupling approximations, using the circuit derived here. Moreover, future work could investigate applications of this algorithm to other systems, including more realistic single molecule magnets with multiple spins.
Conflicts of interest
There are no conflicts to declare.
Data availability
The data that supports the findings of this study are available in tables in the supplementary information (SI) of this article. Code, raw data, and scripts to generate figures are available through https://doi.org/10.5281/zenodo.17180822. Note that the data obtained from quantum noise models and hardware is accessed through tokens with IonQ. Results are statistical and new simulations could present small deviations from data generated in the manuscript. Supplementary information is available. See DOI: https://doi.org/10.1039/d5dd00405e.
Acknowledgements
KHM acknowledges partial support from the National Science Foundation through the University of Minnesota MRSEC under award Number DMR-2011401, along with start-up funding from the University of Minnesota. This research was supported by compute credits from IonQ via the QLab at the University of Maryland.
References
- Y. Cao, J. Romero, J. P. Olson, M. Degroote, P. D. Johnson, M. Kieferová, I. D. Kivlichan, T. Menke, B. Peropadre, N. P. D. Sawaya, S. Sim, L. Veis and A. Aspuru-Guzik, Chem. Rev., 2019, 119, 10856 CrossRef CAS PubMed.
- P. Schleich, L. B. Kristensen, J. A. C. G. Angulo, D. Avagliano, M. Bagherimehrab, A. Aldossary, C. Gorgulla, J. Fitzsimons and A. Aspuru-Guzik, Chemically motivated simulation problems are efficiently solvable by a quantum computer, Dig. Disc., 2026, 5, 64–87 CAS.
- R. Dutta, D. G. A. Cabral, N. Lyu, N. P. Vu, Y. Wang, B. Allen, X. Dan, R. G. Cortiñas, P. Khazaei, M. Schäfer, A. C. C. d. Albornoz, S. E. Smart, S. Nie, M. H. Devoret, D. A. Mazziotti, P. Narang, C. Wang, J. D. Whitfield, A. K. Wilson, H. P. Hendrickson, D. A. Lidar, F. Pérez-Bernal, L. F. Santos, S. Kais, E. Geva and V. S. Batista, J. Chem. Theory Comput., 2024, 20, 6426 CrossRef CAS PubMed.
- J. Preskill, Quantum, 2018, 2, 79 CrossRef.
- K. Bharti, A. Cervera-Lierta, T. H. Kyaw, T. Haug, S. Alperin-Lea, A. Anand, M. Degroote, H. Heimonen, J. S. Kottmann, T. Menke, W.-K. Mok, S. Sim, L.-C. Kwek and A. Aspuru-Guzik, Rev. Mod. Phys., 2022, 94, 015004 CrossRef CAS.
- A. Callison and N. Chancellor, Phys. Rev. A, 2022, 106, 010101 CrossRef CAS.
- A. Peruzzo, J. McClean, P. Shadbolt, M.-H. Yung, X.-Q. Zhou, P. J. Love, A. Aspuru-Guzik and J. L. O'Brien, Nat. Commun., 2014, 5, 4213 CrossRef CAS PubMed.
- M. Cerezo, A. Arrasmith, R. Babbush, S. C. Benjamin, S. Endo, K. Fujii, J. R. McClean, K. Mitarai, X. Yuan, L. Cincio and P. J. Coles, Nat. Rev. Phys., 2021, 3, 625 CrossRef.
- J. Tilly, H. Chen, S. Cao, D. Picozzi, K. Setia, Y. Li, E. Grant, L. Wossnig, I. Rungger, G. H. Booth and J. Tennyson, the Variational Quantum Eigensolver: a review of methods and best practices, Phys. Rep., 2022, 986, 1–128 CrossRef.
- V. von Burg, G. H. Low, T. Häner, D. S. Steiger, M. Reiher, M. Roetteler and M. Troyer, Phys. Rev. Res., 2021, 3, 033055 CrossRef CAS.
- S. Hariharan, S. Kinge and L. Visscher, J. Chem. Inf. Model., 2025, 65, 472 CrossRef CAS PubMed.
- S. Yu, Z.-P. Zhong, Y. Fang, R. B. Patel, Q.-P. Li, W. Liu, Z. Li, L. Xu, S. Sagona-Stophel, E. Mer, S. E. Thomas, Y. Meng, Z.-P. Li, Y.-Z. Yang, Z.-A. Wang, N.-J. Guo, W.-H. Zhang, G. K. Tranmer, Y. Dong, Y.-T. Wang, J.-S. Tang, C.-F. Li, I. A. Walmsley and G.-C. Guo, Nat. Comput. Sci., 2023, 3, 839 CrossRef PubMed.
- R. Santagati, A. Aspuru-Guzik, R. Babbush, M. Degroote, L. González, E. Kyoseva, N. Moll, M. Oppel, R. M. Parrish, N. C. Rubin, M. Streif, C. S. Tautermann, H. Weiss, N. Wiebe and C. Utschig-Utschig, Nat. Phys., 2024, 20, 549 Search PubMed.
- W. Li, Z. Yin, X. Li, D. Ma, S. Yi, Z. Zhang, C. Zou, K. Bu, M. Dai, J. Yue, Y. Chen, X. Zhang and S. Zhang, Sci. Rep., 2024, 14, 16942 Search PubMed.
- A. Caesura, C. L. Cortes, W. Pol, S. Sim, M. Steudtner, G.-L. R. Anselmetti, M. Degroote, N. Moll, R. Santagati, M. Streif and C. S. Tautermann, Faster quantum chemistry simulations on a quantum computer with improved tensor factorization and active volume compilation, PRX Quantum, 2025, 6(3), 030337 Search PubMed.
- A. Miessen, P. J. Ollitrault, F. Tacchino and I. Tavernelli, Nat. Comput. Sci., 2023, 3, 25 Search PubMed.
- L. H. Delgado-Granados, T. J. Krogmeier, L. M. Sager-Smith, I. Avdic, Z. Hu, M. Sajjan, S. E. Abbasi, P. Narang, S. Kais, A. W. Schlimgen, K. Head-Marsden and D. A. Mazziotti, Chem. Rev., 2025, 125, 1823 CrossRef CAS PubMed.
- Z. Hu, R. Xia and S. Kais, Sci. Rep., 2020, 10, 3301 CrossRef CAS PubMed.
- K. Head-Marsden, S. Krastanov, D. A. Mazziotti and P. Narang, Phys. Rev. Res., 2021, 3, 013182 CrossRef CAS.
- A. W. Schlimgen, K. Head-Marsden, L. M. Sager, P. Narang and D. A. Mazziotti, Phys. Rev. Lett., 2021, 127, 270503 CrossRef CAS PubMed.
- A. W. Schlimgen, K. Head-Marsden, L. M. Sager-Smith, P. Narang and D. A. Mazziotti, Phys. Rev. A, 2022, 106, 022414 CrossRef CAS.
- A. Gaikwad, Arvind and K. Dorai, Phys. Rev. A, 2022, 106, 022424 CrossRef CAS.
- Z. Hu, K. Head-Marsden, D. A. Mazziotti, P. Narang and S. Kais, Quantum, 2022, 6, 726 CrossRef.
- N. Suri, J. Barreto, S. Hadfield, N. Wiebe, F. Wudarski and J. Marshall, Quantum, 2023, 7, 1002 CrossRef.
- Y. Wang, E. Mulvihill, Z. Hu, N. Lyu, S. Shivpuje, Y. Liu, M. B. Soley, E. Geva, V. S. Batista and S. Kais, J. Chem. Theory Comput., 2023, 19, 4851 CrossRef CAS PubMed.
- Y. Zhang, Z. Hu, Y. Wang and S. Kais, J. Phys. Chem. Lett., 2023, 14, 832 CrossRef CAS PubMed.
- D. Camps, L. Lin, R. Van Beeumen and C. Yang, SIAM J. Matrix Anal. Appl., 2024, 45, 801 CrossRef.
- G. D. l. Cuevas, N. Schuch, D. Pérez-García and J. Ignacio Cirac, New J. Phys., 2013, 15, 123021 CrossRef.
- L. H. Delgado-Granados, S. Warren, and D. A. Mazziotti, Unitary dynamics for open quantum
systems with density-matrix purification, arXiv, 2024, preprint, arXiv:2406.01783, DOI:10.48550/arXiv.2406.01783.
- M. Motta, C. Sun, A. T. K. Tan, M. J. O'Rourke, E. Ye, A. J. Minnich, F. G. S. L. Brandão and G. K.-L. Chan, Nat. Phys., 2020, 16, 205 Search PubMed.
- H. Kamakari, S.-N. Sun, M. Motta and A. J. Minnich, PRX Quantum, 2022, 3, 010320 Search PubMed.
- S.-H. Lin, R. Dilip, A. G. Green, A. Smith and F. Pollmann, PRX Quantum, 2021, 2, 010342 Search PubMed.
- S. McArdle, T. Jones, S. Endo, Y. Li, S. C. Benjamin and X. Yuan, npj Quantum Inf., 2019, 5, 75 Search PubMed.
- M. Mahdian and H. D. Yeganeh, J. Phys. Math. Theor., 2020, 53, 13 Search PubMed.
- P. J. Ollitrault, S. Jandura, A. Miessen, I. Burghardt, R. Martinazzo, F. Tacchino and I. Tavernelli, Quantum, 2023, 7, 1139 Search PubMed.
- S. Shivpuje, M. Sajjan, Y. Wang, Z. Hu and S. Kais, Adv. Quantum Technol., 2025, 8, 2400088 Search PubMed.
- T. M. Watad and N. H. Lindner, Quantum Sci. Technol., 2024, 9, 025015 Search PubMed.
- Z.-X. Shang, Phys. Rev. A, 2024, 109, 062608 CrossRef CAS.
- K. Garg, Z. Ahmed, S. Mitra and S. Chakraborty, Phys. Rev. A, 2025, 112, 022425 CrossRef CAS.
- L. K. Northcote, M. S. Teynor and G. C. Solomon, J. Chem. Phys., 2025, 162, 224112 CrossRef CAS PubMed.
- F. Gallina, M. Bruschi, R. Cacciari and B. Fresch, J. Chem. Theory Comput., 2024, 20, 10588 CrossRef CAS PubMed.
- G. Mazzola, J. Chem. Phys., 2024, 160, 010901 CrossRef CAS PubMed.
- B. Rost, L. Del Re, N. Earnest, A. F. Kemper, B. Jones, and J. K. Freericks, Demonstrating robust simulation of driven-dissipative problems on near-term quantum computers, arXiv, 2021, preprint, arXiv:2108.01183, DOI:10.48550/arXiv.2108.01183.
- P. Gupta and C. M. Chandrashekar, New J. Phys., 2020, 22, 123027 CrossRef.
- F. Gallina, M. Bruschi and B. Fresch, New J. Phys., 2022, 24, 023039 CrossRef.
- M. Cattaneo, M. A. C. Rossi, G. Garcia-Perez, R. Zambrini and S. Maniscalco, PRX Quantum, 2023, 4, 010324 CrossRef.
- L. Del Re, B. Rost, M. Foss-Feig, A. F. Kemper and J. K. Freericks, Phys. Rev. Lett., 2024, 132, 100601 CrossRef CAS PubMed.
- X. Li, S.-X. Lyu, Y. Wang, R.-X. Xu, X. Zheng and Y. Yan, Phys. Rev. A, 2024, 110, 032620 CrossRef CAS.
- C. Long, L. Cao, L. Ge, Q.-X. Li, Y. Yan, R.-X. Xu, Y. Wang and X. Zheng, J. Chem. Phys., 2024, 161, 084105 CrossRef CAS PubMed.
- L. Hu and A. N. Jordan, Phys. Rev. A, 2024, 110, 062205 CrossRef CAS.
- J. Peetz, S. E. Smart, S. Tserkis and P. Narang, Phys. Rev. Res., 2024, 6, 023263 CrossRef CAS.
- M. Bruschi, F. Gallina and B. Fresch, J. Phys. Chem. Lett., 2024, 15, 1484 CrossRef CAS PubMed.
- E. Borras and M. Marvian, Phys. Rev. Res., 2025, 7, 023076 CrossRef CAS.
- S. Chen, J. Chen and D. Davidović, Phys. Rev. Appl., 2025, 24, 034070 CrossRef CAS.
- R. Cleve and C. Wang, Efficient quantum algorithms for simulating lindblad evolution, arXiv, 2019, preprint, arXiv:1612.09512, DOI:10.48550/arXiv.1612.09512.
- H. Chen, N. Gomes, S. Niu and W. A. d. Jong, Quantum, 2024, 8, 1252 CrossRef.
- T. M. Watad and N. H. Lindner, Quantum Sci. Technol., 2024, 9, 025015 CrossRef.
- J. Luo, K. Lin and X. Gao, J. Phys. Chem. Lett., 2024, 15, 3516 CrossRef CAS PubMed.
- A. W. Schlimgen, K. Head-Marsden, L. M. Sager, P. Narang and D. A. Mazziotti, Phys. Rev. Res., 2022, 4, 023216 CrossRef CAS.
- E. K. Oh, T. J. Krogmeier, A. W. Schlimgen and K. Head-Marsden, ACS Phys. Chem. Au, 2024, 4, 393–399 CrossRef CAS PubMed.
- G. Lindblad, Commun. Math. Phys., 1976, 48, 119 CrossRef.
- V. Gorini, A. Kossakowski and E. C. G. Sudarshan, J. Math. Phys., 1976, 17, 821 CrossRef.
- B. Palmieri, D. Abramavicius and S. Mukamel, J. Chem. Phys., 2009, 130, 204512 CrossRef PubMed.
- D. Manzano, AIP Adv., 2020, 10, 025106 CrossRef.
- D. Tamascelli, A. Smirne, J. Lim, S. F. Huelga and M. B. Plenio, Phys. Rev. Lett., 2019, 123, 090402 CrossRef CAS PubMed.
- S. Davidson, A. Fruchtman, F. A. Pollock and E. M. Gauger, J. Chem. Phys., 2020, 153, 134701 CrossRef CAS PubMed.
- F. Nathan and M. S. Rudner, Phys. Rev. B: Condens. Matter Mater. Phys., 2020, 102, 115109 CrossRef CAS.
- A. Trushechkin, Phys. Rev. A, 2021, 103, 062226 CrossRef CAS.
- S. Davidson, F. A. Pollock and E. Gauger, PRX Quantum, 2022, 3, 020354 CrossRef.
- H.-P. Breuer and F. Petruccione, The Theory of Open Quantum Systems, Oxford University Press, 2007 Search PubMed.
- A. Rivas and S. F. Huelga, Open quantum systems, Springer, 2012, vol. 10 Search PubMed.
- H. Weimer, A. Kshetrimayum and R. Orús, Rev. Mod. Phys., 2021, 93, 015008 CrossRef.
- F. Bloch, Phys. Rev., 1957, 105, 1206 CrossRef CAS.
- A. G. Redfield, in Advances in Magnetic and Optical Resonance, Elsevier, 1965, vol. 1, pp. 1–32 Search PubMed.
- M. Richter, T. Renger and A. Knorr, Photosynth. Res., 2008, 95, 119 CrossRef CAS PubMed.
- J. Jeske, D. J. Ing, M. B. Plenio, S. F. Huelga and J. H. Cole, J. Chem. Phys., 2015, 142, 064104 Search PubMed.
- T. Uthailiang, O. Suntijitrungruang, P. Issarakul, P. Pongkitiwanichakul and S. Boonchui, Sci. Rep., 2025, 15, 5220 CrossRef CAS PubMed.
- A. Lunghi, Sci. Adv., 2022, 8, eabn7880 CrossRef CAS PubMed.
- A. Lunghi and S. Sanvito, J. Chem. Phys., 2020, 153, 174113 CrossRef CAS PubMed.
- M. Briganti, F. Santanni, L. Tesi, F. Totti, R. Sessoli and A. Lunghi, J. Am. Chem. Soc., 2021, 143, 13633 CrossRef CAS PubMed.
- J. Xu, A. Habib, S. Kumar, F. Wu, R. Sundararaman and Y. Ping, Nat. Commun., 2020, 11, 2780 CrossRef CAS PubMed.
- A. Lunghi and S. Sanvito, J. Phys. Chem. Lett., 2020, 11, 6273 CrossRef CAS PubMed.
- S. Takahashi, I. S. Tupitsyn, J. Van Tol, C. C. Beedle, D. N. Hendrickson and P. C. E. Stamp, Nature, 2011, 476, 76 CrossRef CAS PubMed.
- F. Campaioli, J. H. Cole and H. Hapuarachchi, PRX Quantum, 2024, 5(2), 020202 CrossRef.
- J. Jeske and J. H. Cole, Phys. Rev. A, 2013, 87, 052138 CrossRef.
- T. F. Havel, J. Math. Phys., 2003, 44, 534 CrossRef.
- V. Shende, S. Bullock and I. Markov, IEEE Trans. Comput. Aided Des. Integrated Circ. Syst., 2006, 25, 1000 Search PubMed.
- A. M. Childs and N. Wiebe, Quant. Inf. Comput., 2012, 12, 901–924 Search PubMed.
- J. Welch, D. Greenbaum, S. Mostame and A. Aspuru-Guzik, New J. Phys., 2014, 16, 033040 CrossRef.
- M. A. Nielsen and I. L. Chuang, Quantum Computation and Quantum Information: 10th Anniversary Edition, Cambridge University Press, 2010 Search PubMed.
- J. M. Jean, R. A. Friesner and G. R. Fleming, J. Chem. Phys., 1992, 96, 5827 CrossRef CAS.
- A. Albino, S. Benci, L. Tesi, M. Atzori, R. Torre, S. Sanvito, R. Sessoli and A. Lunghi, Inorg. Chem., 2019, 58, 10260 CrossRef CAS PubMed.
- A. Lunghi, Spin-phonon relaxation in magnetic molecules: Theory, predictions and insights, in Computational Modelling of Molecular Nanomagnets, G. Rajaraman, Springer International Publishing, Cham, 2023, pp. 219–289 Search PubMed.
- L. Bogani and W. Wernsdorfer, Nat. Mater., 2008, 7, 179 Search PubMed.
- M. N. Leuenberger and D. Loss, Nature, 2001, 410, 789 CrossRef CAS PubMed.
- Q. Yang, T. Zhong, Z. Tu, L. Zhu, M. Wu and X. C. Zeng, Advanced Science, 2019, 6, 1801572 CrossRef PubMed.
- L. Thomas, F. Lionti, R. Ballou, D. Gatteschi, R. Sessoli and B. Barbara, Nature, 1996, 383, 145 Search PubMed.
- J. R. Friedman, M. P. Sarachik, J. Tejada and R. Ziolo, Phys. Rev. Lett., 1996, 76, 3830 CrossRef CAS PubMed.
- W. Wernsdorfer and R. Sessoli, Science, 1999, 284, 133 Search PubMed.
- L. Escalera-Moreno, J. J. Baldoví, A. Gaita-Ariño and E. Coronado, Chem. Sci., 2018, 9, 3265 RSC.
- A. J. Leggett, S. Chakravarty, A. T. Dorsey, M. P. A. Fisher, A. Garg and W. Zwerger, Rev. Mod. Phys., 1987, 59, 1 CrossRef CAS.
- J. H. Reina, L. Quiroga and N. F. Johnson, Phys. Rev. A, 2002, 65, 032326 CrossRef.
- B. Gärtner and J. Matousek, Approximation algorithms and semidefinite programming, Springer Science & Business Media, 2012 Search PubMed.
- S. Diamond and S. Boyd, J. Mach. Learn. Res., 2016, 17, 1 Search PubMed.
- A. Agrawal, R. Verschueren, S. Diamond and S. Boyd, J. Control Decis., 2018, 5, 42 CrossRef.
- P. J. Goulart and Y. Chen, Clarabel: An interior-point solver for conic programs with quadratic objectives, arXiv, 2024, preprint, arXiv:2405.12762, DOI:10.48550/arXiv.2405.12762.
- J. A. Smolin, J. M. Gambetta and G. Smith, Phys. Rev. Lett., 2012, 108, 070502 CrossRef PubMed.
- K. Wright, K. M. Beck, S. Debnath, J. M. Amini, Y. Nam, N. Grzesiak, J.-S. Chen, N. C. Pisenti, M. Chmielewski, C. Collins, K. M. Hudek, J. Mizrahi, J. D. Wong-Campos, S. Allen, J. Apisdorf, P. Solomon, M. Williams, A. M. Ducore, A. Blinov, S. M. Kreikemeier, V. Chaplin, M. Keesan, C. Monroe and J. Kim, Nat. Commun., 2019, 10, 5464 CrossRef CAS PubMed.
- K. Mølmer and A. Sørensen, Phys. Rev. Lett., 1999, 82, 1835 CrossRef.
- A. Maksymov, J. Nguyen, Y. Nam, and I. Markov, Enhancing quantum computer performance via symmetrization, arXiv, 2023, arXiv: 2301.07233, https://arxiv.org/abs/2301.07233 Search PubMed.
- R. Cleve, A. Ekert, C. Macchiavello, and M. Mosca, Proceedings of the Royal Society of London. Series A: Mathematical, Physical and Engineering Sciences, 1969, vol. 454, pp. 339 Search PubMed.
- S. Aaronson, SIAM J. Comput., 2020, 49, STOC18 CrossRef.
|
| This journal is © The Royal Society of Chemistry 2026 |
Click here to see how this site uses Cookies. View our privacy policy here.