Photo- and thermal catalysis of nitrate to nitrite by manganese ions under light up to 600 nm
Abstract
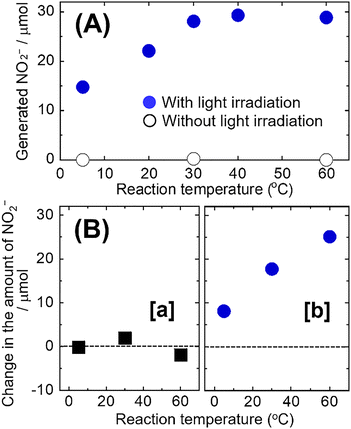
We report a catalytic system using manganese ion (Mn2+) for the photo- and thermal reduction of nitrate (NO3−) to nitrite ions, in the presence of organic compounds, under ultraviolet and visible light irradiation up to 600 nm. This method enables NO3− reduction utilizing long-wavelength light and a novel Mn2+ catalytic system.

Please wait while we load your content...