Aromaticity transfer in an annulated 1,4,2-diazaborole: facile access to Cs symmetric 1,4,2,5-diazadiborinines†
Abstract
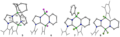
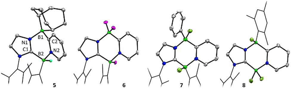
A tricyclic annulated 1,4,2-diazaborole is readily accessed via reaction of a bidentate pyridyl-carbene ligand with MesBBr2 followed by reduction. Dearomatization of the flanking rings is shown to increase reactivity of this heterocycle in the form of a B-centred alkylation with MeI. Its reaction with hydrido-, fluoro-, and chloro-boranes reveal an unprecedented ring expansion reaction to form a diverse family of B2C2N2 heterocycles, reduction of which allows facile access to the first examples of Cs symmetric 1,4,2,5-diazadiborinines. DFT calculations have shed light on the electronic structures of the reduced species and provide insight into mechanistic aspects of the observed ring-expansion.
- This article is part of the themed collection: Chemical Communications HOT Articles 2024

Please wait while we load your content...