DOI:
10.1039/C4RA16545D
(Paper)
RSC Adv., 2015,
5, 19034-19040
Syntheses, crystal structures and properties of three cyano-bridged one-dimensional coordination polymers based on macrocyclic metallic tectons†
Received
17th December 2014
, Accepted 30th January 2015
First published on 30th January 2015
Abstract
Three cyano-bridged nickel(II) complexes, namely, [NiL1][Ni(CN)4]·3H2O (1), [NiL2][Ni(CN)4]·H2O·CH3CN (2) and [NiL3][Ni(CN)4]·3H2O (3) (L1 = 1,3,6,8,11,14-hexaazatricyclo[12.2.1.18,11]octadecane, L2 = 1,3,6.8.12,15-hexaazatricyclo[13.3.1.18,12]eicosane and L3 = 1,3,6,9,11,14-hexaazatricyclo[12.2.1.16,9]octadecane), have been synthesized and characterized based on different macrocyclic metallic tectons and diamagnetic [Ni(CN)4]2−. Single crystal X-ray analyses reveal that complexes 1–3 exhibit a similar cyano-bridged one-dimensional chain structure, in which one nickel(II) ion is coordinated by four nitrogen atoms from the macrocyclic ligand and two nitrogen atoms from the bridging cyanide ligands, while the residual nickel(II) ion is coordinated by four cyanide ligands. Interestingly, regulated by the peripheral macrocyclic ligand, complex 1 features an unexpected large porous structure with a pore size of 1 nm, which shows pronounced two-step adsorption of CO2 gas at 195 K. In additional, the magnetic properties of complexes 1–3 show the presence of weak intrachain ferromagnetic interactions between the paramagnetic nickel(II) ions through the diamagnetic [Ni(CN)4]2− anions.
Introduction
In recent decades, considerable effort has been invested in the rational construction of various dimensional (0D to 3D) porous coordination complexes (PCCs), which show potential applications in gas adsorption and separation, catalysis and magnetism and so on.1–10 Owing to the success of reticular chemistry, porous frameworks featuring a three-dimensional structure, usually called metal–organic frameworks (MOFs) or porous coordination polymers (PCPs), are regarded as the most rational ones to design and synthesize.11 In the meantime, as shown by several groups, the generation of porous structures in 2D complexes is not a hard nut to crack because stacking of 2D layers (Kagome sheets for example) will produce some porous channels.12–15 As for 0D porous complexes, a large number of papers have been published since the end of the last century discussing the porous structures based on metal–organic polyhedrons and molecular cages.16–19 On the other hand, progress on the formation of porous structures based on 1D coordination polymers has rarely been reported because of their dependency on non-directional weak interactions (hydrogen bonds, π–π stacking, etc.) between 1D chains, and an effective approach had not been proposed yet.20 The rational control of the porous structure based on 1D coordination polymers remains largely unexplored thus far. Furthermore, it is also a huge challenge to obtain a targeted organic porous framework based on an infinite 1D chain in crystalline covalent organic frameworks (COFs), partially-ordered porous aromatic frameworks (PAFs) and disordered porous organic polymers (POPs). As with porous coordination complexes, COFs, PAFs and POPs can also be built rationally to 0D,21 2D22,23 and 3D24,25 structures. However, we have not observed the pure organic framework from straight 1D chains yet (note: the basic structure of PIMs-polymers of intrinsic microporosity is not straight).26 Since PCCs are definite crystalline networks and their precise structures can be easily determined through single-crystal X-ray diffraction analysis, they provide the most straightforward system to study porous materials based on 1D chains.
It has been realized that the 1D coordination polymers can easily be synthesized by linear ligands coordinated to the univalent coinage-metal ions Ag(I)/Cu(I) as 2-connected nodes.27 Recently, the macrocyclic complex has emerged as another smart node selection, because macrocyclic complexes possess two residual potential coordination sites at axial positions. This merit can be used to construct coordination polymers controllably. In fact, on the basis of these considerations, Suh,28 Lu,29,30 Jin,31 Kou32 and other groups have fabricated several novel 1D coordination polymers based on macrocyclic metallic precursors and organic carboxylic or cyano-bridged ligands.
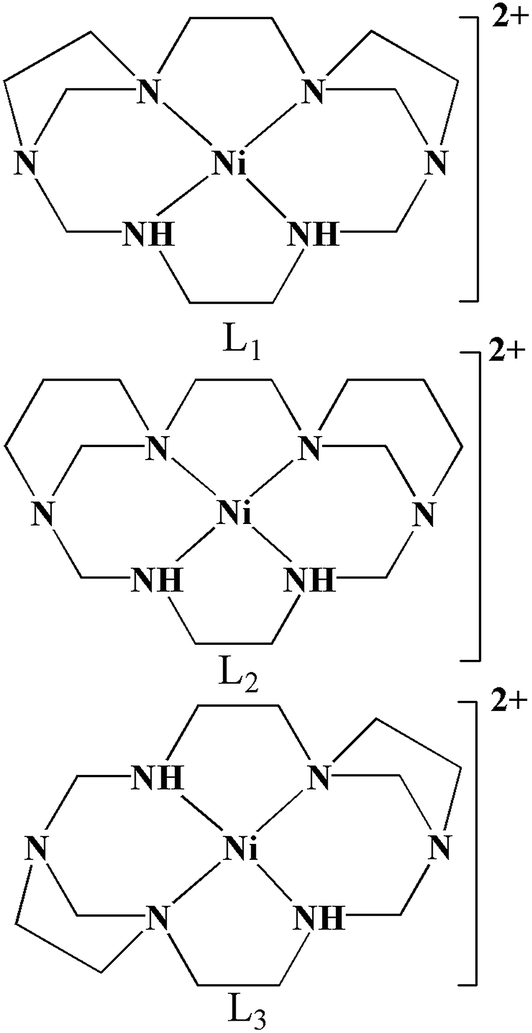
Herein, we present three cyano-bridged one-dimensional nickel(II) complexes based on [Ni(CN)4]2− and macrocyclic metallic tectons (Scheme 1), namely, [NiL1][Ni(CN)4]·3H2O (1), [NiL2][Ni(CN)4]·H2O·CH3CN (2) and [NiL3][Ni(CN)4]·3H2O (3) (L1 = 1,3,6,8,11,14-hexaazatricyclo[12.2.1.18,11]octadecane, L2 = 1,3,6.8.12,15-hexaazatricyclo[13.3.1.18,12]eicosane and L3 = 1,3,6,9,11,14-hexaazatricyclo[12.2.1.16,9]octadecane). The result indicates that the selection of macrocyclic ligands is clearly critical in determining their overall structures. Interestingly, regulated by the structure of the macrocyclic precursor, linear polymeric chains in complex 1 extend in three different directions generated by the 3-fold crystallographic axes to form an unexpected one-dimensional porous structure. To the best of our knowledge, this is the first work where such a 1D porous structure in complex 1 is observed among numerous [Ni(CN)4]2− and macrocyclic metallic tecton related reports.
 |
| | Scheme 1 Macrocyclic metallic tectons. | |
Materials and methods
Macrocyclic complexes [NiL1](ClO4)2,33 [NiL2](ClO4)2 (ref. 33) and [NiL3](ClO4)2 (ref. 34) were prepared according to the literature. All other chemicals were commercially available and were used without further purification. The IR spectra were measured in KBr pellets on a Nicolet Avatar 370 FT-IR spectrometer. Elemental analyses were performed using a Vario ELIII CHNS/O elemental analyzer. Thermogravimetric analysis (TG) was performed on a Diamond TG-DTA 6300 apparatus in a flowing N2 atmosphere with a heating rate of 10 °C min−1. The powder X-ray diffraction measurements were performed on a Bruker D8 ADVANCE X-ray diffractometer. Sorption measurements for gases were measured with ASAP-2020M adsorption equipment. Desolvated samples were prepared under a dynamic vacuum (<10−3 Torr) at 393 K for 10 h.
Caution! Perchlorate salts of metal complexes with organic ligands are potentially explosive. They should be handled with care and prepared only in small quantities in the synthesis of macrocyclic metallic tectons.
Synthesis of complexes 1–3
To a solution of [NiL1–3](ClO4)2 (0.3 mmol) in 10 ml acetonitrile solution, a solution of K2[Ni(CN)4] (0.72 g, 0.3 mmol) in 10 ml of aqueous solution was added with stirring and filtration, and slow evaporation of the resulting solution gave crystals within 3 days. Yield: 60% (1), 15% (2) and 85% (3) based on K2[Ni(CN)4]. Anal. calc. for 1: C, 36.27; H, 6.09; N, 26.43%, found: C, 36.69; H, 5.90; N, 25.64%. For 2: C, 42.77; H, 6.29; N, 27.45%, found: C, 42.80; H, 6.08; N, 28.02%. For 3: C, 36.27; H, 6.09; N, 26.43%, found: C, 36.31; H, 6.02; N, 26.57%. IR, (1): 3494 (s), 3224 (s), 2917 (s), 2871 (s), 2148 (s), 2123 (s), 1635 (s), 1488 (m), 1453 (m), 1336 (m), 1287 (w), 1097 (s), 1025 (m), 948 (s), 844 (s), 677 (m). (2): 3441 (s), 3240 (s), 2921 (s), 2857 (s), 2148 (s), 2124 (s), 1640 (w), 1461 (m), 1370 (m), 1333 (m), 1271 (m), 1100 (m), 1080 (s), 987 (m), 950 (m), 878 (m), 805 (m), 629 (m), 564 (w). (3): 3504 (s), 3277 (s), 2958 (s), 2876 (s), 2148 (s), 2126 (s), 1654 (w), 1454 (m), 1343 (w), 1288 (s), 1103 (m), 978 (w), 918 (m), 707 (m), 660 (m).
Single-crystal X-ray data collection and structure determination
Single crystal X-ray diffraction data for complexes were collected on a Bruker Apex CCD diffractometer with graphite-monochromated Mo-Kα radiation (λ = 0.71073 Å) at 173(2) and 293(2) K. Data reductions and absorption corrections were performed using the SAINT and SADABS programs, respectively.35 The structures were solved by direct methods using the SHELXS-97 or SHELXS-2014 program and refined with full-matrix least squares on F2 using the SHELXL-97 or SHELXL-2014 program.36 All of the non-hydrogen atoms were refined anisotropically. The hydrogen atoms were generated theoretically onto the specific atoms and refined isotropically with fixed thermal factors. Since there is disorder of macrocyclic ligands in complex 1, they were located and refined with restraints: DFIX, ISOR, SADI, SAME and EADP. Because of disordered solvent molecules in complex 1, the SQUEEZE routine of PLATON was used to remove the diffraction contribution from these solvents to produce a set of solvent-free diffraction intensities.37 The final formula of complex 1 was derived from crystallographic data combined with elemental and thermogravimetric analysis data. The details of the crystallographic data for the four structures are summarized in Table 1, and the selected bond lengths and angles are included in Table S1.†
Table 1 Crystallographic parameters of complexes 1–3a
| |
1 |
2 |
3 |
| GOF = [∑w(Fo2 − Fc2)2/(nobc − nparam)]1/2; R1 = ‖Fo| − |Fc‖/∑|Fo|; wR2 = [∑w(Fo2 − Fc2)2/∑w(Fo2)2]1/2. |
| Space group |
R c |
P21/n |
P![[1 with combining macron]](https://www.rsc.org/images/entities/char_0031_0304.gif) |
| Temperature (K) |
173(2) |
293(2) |
293(2) |
| a (Å) |
28.9962(9) |
9.812(2) |
8.6927(17) |
| b (Å) |
28.9962(9) |
13.179(3) |
9.6891(19) |
| c (Å) |
32.8782(16) |
20.122(4) |
14.739(3) |
| α (°) |
90 |
90 |
100.47(3) |
| β (°) |
90 |
102.78(3) |
93.41(3) |
| γ (°) |
120 |
90 |
110.83(3) |
| Volume (Å3) |
23939.8(16) |
2537.6(10) |
1130.5(5) |
| Z |
36 |
4 |
2 |
| GOF |
1.04 |
1.17 |
1.09 |
| Final R indices [I > 2sigma(I)] |
R1 = 0.0516 |
R1 = 0.0721 |
R1 = 0.0462 |
| R indices (all data) |
wR2 = 0.1429 |
wR2 = 0.1978 |
wR2 = 0.1246 |
Results and discussion
Usually, the reaction rate of macrocyclic metallic precursors and [Ni(CN)4]2− is extremely fast. The solutions of macrocyclic complex and [Ni(CN)4]2− were mixed to produce a precipitate or microcrystalline powder immediately. However, it is worth noting that the reaction of [NiL1–3](ClO4)2 and [Ni(CN)4]2− in CH3CN and H2O mixed solution gave rise to a clear solution, generating crystals of complexes 1–3 within 3 days. Compared to other macrocyclic metallic precursors, such as macrocyclic nickel complex containing 1,4,8,11-tetraazacyclotetradecane (cyclam) or 1,8-dimethyl-1,3,6,8,10,13-hexaazacyclotetradecane ligand,38 the slow reaction rate could be a result of the additional steric hindrance of side groups on the macrocyclic ligand. In detail, compared with cyclam ligand, the addition of ethyl and propyl groups on L1–3 will slow down the formation of the Ni⋯[Ni(CN)4]2− coordination bond. Further increase in steric hindrance on the macrocyclic ligand may generate a pure ionic compound according to the rule. This can be proved by introducing more complicated steric hindrance of the macrocyclic ligand as described in Kou's paper.39 Hence, as an experimental rule, this merit can be utilized to fabricate more complicated cyano-bridged complexes based on macrocyclic metallic tectons [NiL1–3](ClO4).
Single crystal X-ray analysis revealed that complexes 1–3 consist of one [NiL1–3]2+ cation, one [Ni(CN)4]2− anion and several guest molecules (three water for 1, one water and one acetonitrile for 2, three water for 3) (Fig. 1a and 2a). Unlike complexes 1 and 2, the asymmetric unit in complex 3 contains two parts of [NiL3]2+ (half [Ni(1)L3]2+, half [Ni(2)L3]2+) (Fig. 3a). In those complexes, one nickel ion is coordinated by four cyanide ligands in a square planer geometry, and the residual nickel ions are surrounded by four nitrogen atoms from L1–3 ligand and two nitrogen atoms from two individual [Ni(CN)4]2− anions with an octahedral geometry. Both bond lengths and bond angles are in line with similar complexes (Table S1†).38 Each [Ni(CN)4]2− anion bridges two [NiL1–3]2+ fragments to generate an infinite 1D chain structure, whereas two trans CN− groups remain. The guest molecules occupy the vicinity of the chains and are hydrogen-bonded to the nitrogen atoms of the macrocyclic ligand and to each other. In complexes 2 and 3, all one-dimensional polymeric chains extend in one direction to form a close packing structure (Fig. 2b and 3b). Unexpectedly and interestingly, the linear polymeric chains in 1 extend in three different directions generated by the 3-fold crystallographic axes to form a one-dimensional porous structure with pore size of 1 nm (Fig. 1b and c). The void volume in complex 1 is calculated by PLATON to be 25.4% of the total crystal volume.40 Numerous papers had reported on [Ni(CN)4]2− bridged or even other cyanide-bridged one-dimensional coordination polymers. The packing of one-dimensional chains usually occurs with a parallel arrangement of all chains, such as in complex 2 and 3, but they rarely extend along two different directions,20 let alone three different orientations. Furthermore, such a porous structure has only once been reported – a carboxylic-bridged one-dimensional coordination polymer based on 4,4′-diphenyldicarboxylic acid and macrocyclic metallic tecton [Ni(cycalm)](ClO4)2.41
 |
| | Fig. 1 (a) ORTEP plot of 1; (b) view down the c-axis, 3-D arrangement of 1 based on 1-D chains; (c) one-dimensional porous structure of 1, #: x − 1, y − 2, z + 1. | |
 |
| | Fig. 2 (a) ORTEP plot of 2; (b) 3-D arrangement of 2 based on 1-D chains, #: x + 1/2, −y + 3/2, z + 0.5. | |
 |
| | Fig. 3 (a) ORTEP plot of 3; (b) 3-D arrangement of 3 based on 1-D chains, #: x − 1, −y + 1, −z. | |
Discussion of the structures
Complexes 1–3 crystallize under the same environment (solvent and ratio of raw materials) apart from the different conformations of the macrocyclic ligands, which indicates that their structural diversity in the resulting complexes may be the result of the selection of macrocyclic ligands. Such macrocyclic ligand-induced structural diversity may arise for four reasons. (1) Weak Ni⋯Ni interaction. In complex 1, the nearest interchain Ni⋯Ni distance from two [Ni(CN)4]2− groups is 3.32 Å, which is shorter than the sum of the van der Waals radius,42 indicating the existence of a weak Ni⋯Ni interaction. Owing to the existence of such weak Ni⋯Ni interaction, the 1-D [NiL1][Ni(CN)4] chains point in three different directions, resulting in an unexpected porous structure. Meanwhile, the absence of weak Ni⋯Ni interaction in complexes 2 and 3 shows a common packing mode of their 1-D chains. (2) Steric hindrance effect. Compared with the ethyl group on macrocyclic ligand L1, L2 contains a propyl group. To a large extent, different groups will lead to different kinds of steric hindrance effects in building the networks. (3) The effect of symmetry of macrocyclic metallic tectons. Two ethyl groups in the macrocyclic L1 and two propyl groups in the macrocyclic L2 are arranged in a centro-symmetric orientation. On the other hand, in the L3 ligand, the two ethyl groups are in a plane-symmetrical orientation. Seemingly, different symmetries may lead to a different conformation of the macrocyclic ligand and thus to the resulting framework. (4) The synergistic effect of hydrogen bonding interactions. Since the nature of the hydrogen bond is non-directional and elusive, combined with the above three reasons, complexes 1–3 display entirely different structures.
IR spectral studies, thermogravimetric analyses and X-ray powder diffraction
The IR spectra show features attributable to the –CN triple bond stretching vibrations of the complexes. The presence of split signals in the range 2120–2150 cm−1 indicates the different forms of –CN in [Ni(CN)4]2− (Fig. S1†). High frequency is attributed to the bridging mode and low frequency corresponds to the vacant mode, which is consistent with crystal structure analyses. X-ray powder diffraction patterns of other complexes (Fig. S2–S4†) were recorded to confirm the purity of the other as-synthesized bulk materials. The experimental XRD patterns match with the calculated lines from the crystal structures. TGA shows that 1 loses all of the free water molecules in the range of 30–100 °C (calculated: 10.92%, found: 11.00%) (Fig. S5†). The framework is stable up to 260 °C and then begins to decompose upon further heating. For 1, the XRD pattern of the activated sample solid (1d) is inconsistent with the simulated pattern, indicating the shrinkage of the framework upon removal of guest molecules (Fig. S2†). When 1d was immersed in CH3CN and H2O mixed solution, the original framework of 1 was restored as evidenced by the PXRD measurements (Fig. S2†).
Gas sorption properties of complex 1
To evaluate the porosity of 1d, gas sorption was studied for N2 (77 K) and CO2 (195 K) gases (Fig. 4). Desolvated sample 1d only shows a very small N2 sorption volume, however, desolvated 1d can adsorb CO2, indicating that 1d can selectively adsorb CO2 over N2. More interestingly, the CO2 sorption isotherm at 195 K measured up to 1 atm exhibits two distinct steps in the adsorption process. The first step of adsorption should be related to the structure of 1d with shrunken pores, and the structure expands above the gate opening pressure to provide the second step adsorption. It has been demonstrated that the multistep adsorption behavior was related to the structural transformations during the gas adsorption processes in the macrocyclic complex based porous coordination polymers.29 This unusual behavior can be ascribed to the quadrupole moment of CO2 (−1.4 × 10−39), which is able to interact with the framework to open the channels. From the adsorption data in the low range of P/P0, the apparent Langmuir and Brunauer–Emmett–Teller (BET) surface areas of the shrunken-pore phase of 1d were estimated to be 202.4 and 138.8 cm2 g−1 (Fig. S6†), respectively, and the pore volume estimated by the Dubinin–Astakhov (DA) equation was 0.08 cm3 g−1. It is proved that, since the uptake amounts of CO2 gas in the whole desorption curve are much higher than in adsorption, the expanded-pore phase does not change back to the shrunken-pore phase of complex 1 during the desorption process. The hysteretic behavior of CO2 sorption can also be ascribed to the presence of interaction between CO2 molecules and the 1d framework.
 |
| | Fig. 4 Gas sorption isotherms of N2 (77 K) and CO2 (195 K) for 1d. | |
Magnetic properties of complexes 1–3
The variable-temperature magnetic susceptibilities of complexes 1–3 were investigated at H = 0.2 T and T = 2.0–300 K and are shown in the form of χmT versus T curves (Fig. 5). As seen in Fig. 5, the χmT value is 0.957 emu K mol−1 (for 1), 0.959 emu K mol−1 (for 2) and 1.13 emu K mol−1 (for 3) at 300 K, which is close to the value of 1 emu K mol−1 expected for one spin-only Ni2+ (3d8, S = 1). Curve fit of 1/χm versus T for complexes 1–3 according to the Curie–Weiss law χm = C/(T − θ) gives C = 0.95 cm3 K mol−1, 0.96 cm3 K mol−1, and 1.14 cm3 K mol−1, and θ = 5.92 K, 2.52 K, and 1.32 K in the temperature range 10–300 K, suggesting a weak ferromagnetic interaction between adjacent Ni2+ ions (Fig. S7–S9†). As the temperature decreases, the χmT value increases very slowly and then falls sharply to a minimum value of 0.52 emu K mol−1 (for 1), 0.68 emu K mol−1 (for 2) and 0.61 emu K mol−1 (for 3) at 2 K, which can be attributed to the presence of anti-ferromagnetic interaction between one-dimensional chains. For complexes 1–3, the magnetic susceptibility can be expressed by eqn (1),38,43 where N is Avogadro's number, β is the Bohr magneton, k is the Boltzmann constant, and z is the number of nearest neighbours. The least-squares fitting to the experimental data gives J = 1.82 (for 1), 1.21 (for 2) and 1.52 (for 3), zJ′ = −1.78 (for 1), −1.13 (for 2) and −1.60 (for 3), and g = 2.03 (for 1), 2.09 (for 2) and 2.15 (for 3). This result of positive J shows the presence of a weak ferromagnetic interaction between the paramagnetic nickel ions within each chain through the diamagnetic [Ni(CN)4]2−, and the negative zJ′ shows the antiferromagnetic intermolecular interaction. The ferromagnetic coupling interaction can be explained by the Goodenough–Kanamori (G–K) rule.38 According to this rule, if a magnetic orbital overlaps an empty orbital, the interaction between the two ions is ferromagnetic. Adjacent magnetic nickel(II) ions containing unpaired d electrons can polarize the empty d orbital of diamagnetic nickel(II) ion through the filled orbital of the cyanide bridges. Hence, it forms a ferromagnetic coupling.
| χchain = Ng2β2/3KT × (1 + u)/(1 − u) × S(S + 1) |
u = coth K − 1/K and K = JS(S + 1)/kT |
| | |
χm = χchain/[1 − χchain(zJ′/Ng2β2)]
| (1) |
 |
| | Fig. 5 Temperature dependence of χmT for complexes 1–3; the solid lines represent the theoretical values. | |
Conclusion
Under consistent synthetic conditions, three structures containing [Ni(CN)4]2− based on macrocyclic metallic tectons have been presented. Comparison of the complexes indicates that a slight difference between macrocyclic ligands has a significant influence on their packing network. The unusual porous structure of complex 1 means it can adsorb CO2 rather than N2 molecules, suggesting that complex 1 has the potential for application in CO2 separation. Magnetic measurements show the presence of weak intrachain ferromagnetic interactions between the paramagnetic nickel(II) ions through the diamagnetic [Ni(CN)4]2− anions. The serendipity of complex 1 will provide some cues for those groups engaged in the study of porous organic polymers and porous inorganic–organic hybrid polymers.
Acknowledgements
The work was supported by the National Natural Science Foundation of China (no. 21277130 and no. 51478445), the Fundamental Research Funds for National University, China University of Geosciences (Wuhan) (no. 1210491B03) and the College Students' Innovative Experiment Project of China (no. 091049148, 111049116).
References
- A. Schneemann, V. Bon, I. Schwedler, I. Senkovska, S. Kaskel and R. A. Fischer, Chem. Soc. Rev., 2014, 43, 6062 RSC.
- G. Ferey, Chem. Soc. Rev., 2008, 37, 191 RSC.
- J. Y. Lee, O. K. Farha, J. Roberts, K. A. Scheidt, S. T. Nguyen and J. T. Hupp, Chem. Soc. Rev., 2009, 38, 1450 RSC.
- J.-R. Li, R. J. Kuppler and H.-C. Zhou, Chem. Soc. Rev., 2009, 38, 1477 RSC.
- L. E. Kreno, K. Leong, O. K. Farha, M. Allendorf, R. P. V. Duyne and J. T. Hupp, Chem. Rev., 2012, 112, 1105 CrossRef CAS PubMed.
- J.-P. Zhang, Y.-B. Zhang, J.-B. Lin and X.-M. Chen, Chem. Rev., 2012, 112, 1001 CrossRef CAS PubMed.
- M. P. Suh, H. J. Park, T. K. Prasad and D. W. Lim, Chem. Rev., 2012, 112, 782 CrossRef CAS PubMed.
- H. N. Miras, L. vilà-Nadal and L. Cronin, Chem. Soc. Rev., 2014, 43, 5679 RSC.
- Q. P. Li, X. Jiang and S. W. Du, RSC Adv., 2015, 5, 1785 RSC.
- S. Furukawa, J. Reboul, S. Diring, K. Sumida and S. Kitagawa, Chem. Soc. Rev., 2014, 43, 5700 RSC.
- N. W. Ockwig, O. Delgado-Friedrichs, M. O'Keeffe and O. M. Yaghi, Acc. Chem. Res., 2005, 38, 176 CrossRef CAS PubMed.
- X. Jiang, Z. Li, Y. Zhai, G. Yan, H. Xia and Z. Li, CrystEngComm, 2014, 16, 805 RSC.
- X.-R. Meng, D.-C. Zhong, L. Jiang, H.-Y. Li and T.-B. Lu, Cryst. Growth Des., 2011, 11, 2020 CAS.
- M. P. Suh, H. J. Choi, S. M. So and B. M. Kim, Inorg. Chem., 2003, 42, 676 CrossRef CAS PubMed.
- L. Jiang, X.-R. Meng, H. Xiang, P. Ju, D.-C. Zhong and T.-B. Lu, Inorg. Chem., 2012, 51, 1874 CrossRef CAS PubMed.
- D. J. Tranchemontagne, Z. Ni, M. O'Keeffe and O. M. Yaghi, Angew. Chem., Int. Ed., 2008, 47, 5136 CrossRef CAS PubMed.
- J. F. Eubank, H. Mouttaki, A. J. Cairns, Y. Belmabkhout, L. Wojtas, R. Luebke, M. Alkordi and M. Eddaoudi, J. Am. Chem. Soc., 2011, 133, 14204 CrossRef CAS PubMed.
- Y. L. Liu, V. C. Kravtsov, D. A. Beauchamp, J. F. Eubank and M. Eddaoudi, J. Am. Chem. Soc., 2005, 127, 7266 CrossRef CAS PubMed.
- M. Eddaoudi, J. Kim, J. B. Wachter, H. K. Chae, M. O'Keeffe and O. M. Yaghi, J. Am. Chem. Soc., 2001, 123, 4368 CrossRef CAS.
- W. L. Leong and J. J. Vittal, Chem. Rev., 2011, 111, 688 CrossRef CAS PubMed.
- G. Zhang, O. Presly, F. White, I. M. Oppel and M. Mastalerz, Angew. Chem., Int. Ed., 2014, 126, 1516 CrossRef PubMed.
- A. P. Côté, A. I. Benin, N. W. Ockwig, M. O'Keeffe, A. J. Matzger and O. M. Yaghi, Science, 2005, 310, 1166 CrossRef PubMed.
- Y. H. Xu, S. B. Jin, H. Xu, A. Nagai and D. L. Jiang, Chem. Soc. Rev., 2013, 42, 8012 RSC.
- H. M. El-Kaderi, J. R. Hunt, J. L. Mendoza-Cortes, A. P. Cote, R. E. Taylor, M. O'Keeffe and O. M. Yaghi, Science, 2007, 316, 268 CrossRef CAS PubMed.
- Y. Zhang, J. Su, H. Furukawa, Y. Yun, F. Gándara, A. Duong, X. Zou and O. M. Yaghi, J. Am. Chem. Soc., 2013, 135, 16336 CrossRef CAS PubMed.
- N. B. McKeown and P. M. Budd, Chem. Soc. Rev., 2006, 35, 675 RSC.
- L. Carlucci, G. Ciani and D. M. Proserpio, Coord. Chem. Rev., 2003, 246, 247 CrossRef CAS.
- H. J. Choi and M. P. Suh, J. Am. Chem. Soc., 1998, 120, 10622 CrossRef CAS.
- P. Ju, L. Jiang and T. Lu, Chem. Commun., 2013, 49, 1820 RSC.
- G.-C. Ou, L. Jiang, X.-L. Feng and T.-B. Lu, Inorg. Chem., 2008, 47, 2710 CrossRef CAS PubMed.
- S. L. Huang and G. X. Jin, CrystEngComm, 2011, 13, 6013 RSC.
- Z.-H. Ni, H.-Z. Kou, H.-Y. Zhao, L. Zheng, R.-J. Wang, A.-L. Cui and O. Sato, Inorg. Chem., 2005, 44, 2050 CrossRef CAS PubMed.
- M. P. Suh, S. G. Kang, V. L. Gocdken and S. Park, Inorg. Chem., 1991, 30, 365 CrossRef CAS.
- M. P. Suh, W. Shin, S.-G. Kang, M. S. Lah and T.-M. Chung, Inorg. Chem., 1989, 28, 1602 CrossRef CAS.
- G. M. Sheldrick, SADABS, a program for absorption correction with the Siemens SMART area-detector system, University of Göttingen, 1996 Search PubMed.
- G. M. Sheldrick, Acta Crystallogr., Sect. A: Found. Crystallogr., 2008, 64, 112 CrossRef CAS PubMed.
- A. L. Spek, PLATON, A Multipurpose Crystallographic Tool, Utrecht University, The Netherlands, 2006 Search PubMed.
- H. Z. Kou, S. F. Si, S. Gao, D. Z. Liao, Z. H. Jiang, S. P. Yan, Y. G. Fan and G. L. Wang, Eur. J. Inorg. Chem., 2002, 3, 699 CrossRef.
- H. Z. Kou, W. M. Bu, S. Gao, D. Z. Liao, Z. H. Jiang, S. P. Yan, Y. G. Fan and G. L. Wang, J. Chem. Soc., Dalton Trans., 2000, 2996 RSC.
- A. L. Spek, J. Appl. Crystallogr., 2003, 36, 7 CrossRef CAS.
- E. Y. Lee and M. P. Suh, Angew. Chem., Int. Ed., 2004, 43, 2798 CrossRef CAS PubMed.
- J. E. Huheey, Inorganic chemistry: principles of structure and reactivity, Harper & Row Publishers, New York, third edn, 1983 Search PubMed.
- O. Kahn, Molecular Magnetism, VCH, Weinheim, Germany, 1993, ch. 11, pp. 257–258 Search PubMed.
Footnotes |
| † CCDC 1038632–1038634. For crystallographic data in CIF or other electronic format see DOI: 10.1039/c4ra16545d |
| ‡ Both authors contributed equally to this work. |
|
| This journal is © The Royal Society of Chemistry 2015 |
Click here to see how this site uses Cookies. View our privacy policy here.