Electromechanical response of group-IV monochalcogenide monolayers†
Abstract
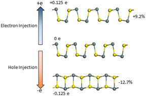
The group-IV monochalcogenides, GeS, GeSe, SnS and SnSe are known to produce large piezoelectric responses and have great flexibility due to sharing a similar structure to black phosphorus. In this work, we show that the group-IV monochalcogenide monolayers are able to achieve similar strains upon charge injection due to their puckered orthorhombic structure. Using first-principles density functional theory calculations, we demonstrate that upon electron and hole injection, the monolayers expand and contract, respectively. GeSe experienced the greatest response to electron injection, with its lattice expanding by 10.6% (0.93 Å). Conversely, in response to hole injection, SnS contracted the most (by −12.7% or −1.13 Å). The strains obtained allow the assessment of the actuation stress and volumetric work density of the monolayers which indicates their performance as being suitable for actuation materials. Of the four investigated monolayers, SnS has the greatest actuation stress (−2.5 GPa) and volumetric work density (86.6 J cm−3). The mechanism behind the electromechanical strains produced were examined through analysis of the structural deformations and charge density distribution within the monolayers. The introduction of charge to the system also affects the electronic properties (band gaps, density of states) of the monolayers. Significantly, the piezoelectric response of the four monolayers exceeds those of phosphorene and MoS2, with SnSe having the largest value of 0.93 C m−2 making it ideal for piezoelectric based actuators. These results demonstrate how the group-IV monochalcogenides can be potential candidate materials for various micro/nano electromechanical systems in actuator devices.