Direct and two-step bioorthogonal probes for Bruton's tyrosine kinase based on ibrutinib: a comparative study†
Abstract
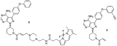
Ibrutinib is a covalent and irreversible inhibitor of Bruton's tyrosine kinase (BTK) and has been approved for the treatment of haematological malignancies, such as chronic lymphocytic leukaemia, mantle cell lymphoma and Waldenström's macroglobulinemia. The covalent and irreversible nature of its molecular mode of action allows identification and monitoring of its target in an activity-based protein profiling (ABPP) setting. Fluorescent and biotinylated ibrutinib derivatives have appeared in the literature in recent years to monitor BTK in vitro and in situ. The work described here complements this existing methodology and pertains a comparative study on the efficacy of direct and two-step bioorthogonal ABPP of BTK.
- This article is part of the themed collection: Bioorthogonal and click chemistry: Celebrating the 2022 Nobel Prize in Chemistry
Please wait while we load your content...