Issue 3, 2015

Co-catalysis between DABCO and a Brønsted acid in the catalytic [4 + 2] annulation of isatin with but-3-yn-2-one and mechanistic investigations

Abstract

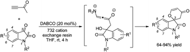
Catalytic amounts of the base catalyst DABCO in cooperation with a proton source (732 cation exchange resin) afford the [4 + 2] cycloadducts of isatins with but-3-yn-2-one in moderate to good yields. Moreover, related plausible mechanisms have been proposed in detail based on control and deuterium labeling experiments.

Graphical abstract: Co-catalysis between DABCO and a Brønsted acid in the catalytic [4 + 2] annulation of isatin with but-3-yn-2-one and mechanistic investigations

Supplementary files

Article information

Article type
Research Article
Submitted
10 Dec 2014
Accepted
05 Jan 2015
First published
06 Jan 2015

Org. Chem. Front., 2015,2, 211-215

Author version available

Co-catalysis between DABCO and a Brønsted acid in the catalytic [4 + 2] annulation of isatin with but-3-yn-2-one and mechanistic investigations

Q. Wang, Q. Xu and M. Shi, Org. Chem. Front., 2015, 2, 211 DOI: 10.1039/C4QO00323C

To request permission to reproduce material from this article, please go to the Copyright Clearance Center request page.

If you are an author contributing to an RSC publication, you do not need to request permission provided correct acknowledgement is given.

If you are the author of this article, you do not need to request permission to reproduce figures and diagrams provided correct acknowledgement is given. If you want to reproduce the whole article in a third-party publication (excluding your thesis/dissertation for which permission is not required) please go to the Copyright Clearance Center request page.

Read more about how to correctly acknowledge RSC content.

Social activity

Spotlight

Advertisements