Ionic liquids based on imidazolium, ammonium and pyrrolidinium salts of the dicyanamide anion
Abstract
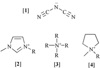
New families of salts, based on quaternary ammonium, 1-methyl-3-alkylimidazolium or N-methyl-N-alkylpyrrolidinium organic cations together with the dicyanamide (dca, N(CN)2−) anion are reported. The salts are low melting compounds, all those reported are liquid at room temperature, for example 1-methyl-3-ethylimidazolium dicyanamide (mp −21 °C) and N-methyl-N-ethylpyrrolidinium dicyanamide (mp −10 °C). Some of the salts exhibit multiple crystalline phases below their melting points. Above their melting points they are stable to at least 200 °C. Many of the salts were found to be glass forming when cooled rapidly to −100 °C. The room-temperature liquids exhibit very low viscosities, for example ethylmethylimidazolium dicyanamide: η = 21 cP at ambient temperature (25 °C).
- This article is part of the themed collection: RACI100: Celebrating Australian Chemistry
Please wait while we load your content...