Issue 49, 2022

Machine learning for non-additive intermolecular potentials: quantum chemistry to first-principles predictions

Abstract

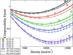
Prediction of thermophysical properties from molecular principles requires accurate potential energy surfaces (PES). We present a widely-applicable method to produce first-principles PES from quantum chemistry calculations. Our approach accurately interpolates three-body non-additive interaction data, using the machine learning technique, Gaussian Processes (GP). The GP approach needs no bespoke modification when the number or type of molecules is changed. Our method produces highly accurate interpolation from significantly fewer training points than typical approaches, meaning ab initio calculations can be performed at higher accuracy. As an exemplar we compute the PES for all three-body cross interactions for CO2–Ar mixtures. From these we calculate the CO2–Ar virial coefficients up to 5th order. The resulting virial equation of state (EoS) is convergent for densities up to the critical density. Where convergent, the EoS makes accurate first-principles predictions for a range of thermophysical properties for CO2–Ar mixtures, including the compressibility factor, speed of sound and Joule–Thomson coefficient. Our method has great potential to make wide-ranging first-principles predictions for mixtures of comparably sized molecules. Such predictions can replace the need for expensive, laborious and repetitive experiments and inform the continuum models required for applications.

Graphical abstract: Machine learning for non-additive intermolecular potentials: quantum chemistry to first-principles predictions

Supplementary files

Article information

Article type
Communication
Submitted
30 Mar 2022
Accepted
19 May 2022
First published
24 May 2022
This article is Open Access
Creative Commons BY-NC license

Chem. Commun., 2022,58, 6898-6901

Machine learning for non-additive intermolecular potentials: quantum chemistry to first-principles predictions

R. S. Graham and R. J. Wheatley, Chem. Commun., 2022, 58, 6898 DOI: 10.1039/D2CC01820A

This article is licensed under a Creative Commons Attribution-NonCommercial 3.0 Unported Licence. You can use material from this article in other publications, without requesting further permission from the RSC, provided that the correct acknowledgement is given and it is not used for commercial purposes.

To request permission to reproduce material from this article in a commercial publication, please go to the Copyright Clearance Center request page.

If you are an author contributing to an RSC publication, you do not need to request permission provided correct acknowledgement is given.

If you are the author of this article, you do not need to request permission to reproduce figures and diagrams provided correct acknowledgement is given. If you want to reproduce the whole article in a third-party commercial publication (excluding your thesis/dissertation for which permission is not required) please go to the Copyright Clearance Center request page.

Read more about how to correctly acknowledge RSC content.

Social activity

Spotlight

Advertisements