Experimental and theoretical investigation of benzothiazole oxidation by OH in air and the role of O2†
Abstract
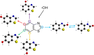
Benzothiazole (BTH) and its derivatives are amongst a group of emerging contaminants that are widely distributed in the environment due to their extensive use in many different consumer products. In air, reaction with the hydroxyl radical (OH) is expected to be a major loss process for BTH in the gas phase, but the kinetics and mechanisms are unknown. Here, we report a combination of experiments and theory to determine both the rate constant and products of the reaction of OH with the smallest member of the series, benzothiazole, in the gas phase. The mechanism first involves an attack by OH on BTH to produce several OHBTH intermediates. This is followed by O2 reactions with OHBTH, leading to several stable products successfully predicted by theory. Relative rate studies at 1 atm in air and 298 K using benzene as a reference gave a rate constant for the BTH + OH reaction of 2.1 ± 0.1 × 10−12 (1σ) cm3 per molecule per s, which translates to a lifetime in air of 5.5 days at 1 × 106 OH cm−3. Four hydroxybenzothiazole products reflecting attack on different carbon atoms of the benzene ring were measured (n-OHBTH, where n = 4, 5, 6, 7), with the relative product yields well predicted by the calculated formation energies of the pre-reaction OH⋯BTH complex. Attack of OH on the –CH of the thiazole ring leads to the formation of 2-OHBTH, representing a smaller fraction of the overall reaction, and is shown to proceed through a more complex mechanism than attack on the benzene ring. A theoretical approach to predicting chromatographic retention times of the products based on solvation free energies (ΔGsolv) was successful for most of the products. These studies illustrate how the powerful combination of experiment and theory can be used to predict products of atmospheric oxidation of emerging contaminants and ultimately used to assess their impacts on the environment.
- This article is part of the themed collection: Atmospheric chemistry

Please wait while we load your content...
