Issue 5, 2002

Ionic liquids based on imidazolium, ammonium and pyrrolidinium salts of the dicyanamide anion

Abstract

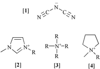
New families of salts, based on quaternary ammonium, 1-methyl-3-alkylimidazolium or N-methyl-N-alkylpyrrolidinium organic cations together with the dicyanamide (dca, N(CN)2) anion are reported. The salts are low melting compounds, all those reported are liquid at room temperature, for example 1-methyl-3-ethylimidazolium dicyanamide (mp −21 °C) and N-methyl-N-ethylpyrrolidinium dicyanamide (mp −10 °C). Some of the salts exhibit multiple crystalline phases below their melting points. Above their melting points they are stable to at least 200 °C. Many of the salts were found to be glass forming when cooled rapidly to −100 °C. The room-temperature liquids exhibit very low viscosities, for example ethylmethylimidazolium dicyanamide: η = 21 cP at ambient temperature (25 °C).

Graphical abstract: Ionic liquids based on imidazolium, ammonium and pyrrolidinium salts of the dicyanamide anion

Article information

Article type
Paper
Submitted
11 Jun 2002
First published
29 Jul 2002

Green Chem., 2002,4, 444-448

Ionic liquids based on imidazolium, ammonium and pyrrolidinium salts of the dicyanamide anion

D. R. MacFarlane, S. A. Forsyth, J. Golding and G. B. Deacon, Green Chem., 2002, 4, 444 DOI: 10.1039/B205641K

To request permission to reproduce material from this article, please go to the Copyright Clearance Center request page.

If you are an author contributing to an RSC publication, you do not need to request permission provided correct acknowledgement is given.

If you are the author of this article, you do not need to request permission to reproduce figures and diagrams provided correct acknowledgement is given. If you want to reproduce the whole article in a third-party publication (excluding your thesis/dissertation for which permission is not required) please go to the Copyright Clearance Center request page.

Read more about how to correctly acknowledge RSC content.

Social activity

Spotlight

Advertisements