Approach control. Stereoelectronic origin of geometric constraints on N-to-S and N-to-O acyl shifts in peptides†
Abstract
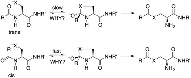
Intramolecular N-to-S or N-to-O acyl shifts in peptides are of fundamental and practical importance, as they constitute the first step in protein splicing and can be used for the synthesis of thioester-modified peptides required for native chemical ligation. It has been stated that the nucleophile must be positioned anti to the carbonyl oxygen, as in a cis amide. Despite the importance of such reactions, an understanding of this geometric restriction remains obscure. Here we argue that the empirical requirement for positioning the nucleophile is a stereoelectronic effect arising from the ease of approach of the nucleophile to a carbonyl group, not ground-state destabilization. DFT calculations on model amides support our explanation and indicate a significant decrease in both the transition-state energy and the activation energy for a cis amide. However, the approach of the nucleophile must be anti not only to the carbonyl oxygen but also to the nitrogen. The direction of approach is expressed by a new, modified Bürgi–Dunitz angle. Our data shed light on the mechanisms of acyl shifts in peptides, and they explain why a cis peptide might be required for protein splicing. The further implications for acyl shits in homoserine and homocysteine peptides and for aldol condensations are also considered.

Please wait while we load your content...