Machine learning for non-additive intermolecular potentials: quantum chemistry to first-principles predictions†
Abstract
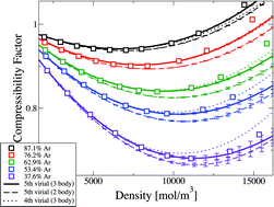
Prediction of thermophysical properties from molecular principles requires accurate potential energy surfaces (PES). We present a widely-applicable method to produce first-principles PES from quantum chemistry calculations. Our approach accurately interpolates three-body non-additive interaction data, using the machine learning technique, Gaussian Processes (GP). The GP approach needs no bespoke modification when the number or type of molecules is changed. Our method produces highly accurate interpolation from significantly fewer training points than typical approaches, meaning ab initio calculations can be performed at higher accuracy. As an exemplar we compute the PES for all three-body cross interactions for CO2–Ar mixtures. From these we calculate the CO2–Ar virial coefficients up to 5th order. The resulting virial equation of state (EoS) is convergent for densities up to the critical density. Where convergent, the EoS makes accurate first-principles predictions for a range of thermophysical properties for CO2–Ar mixtures, including the compressibility factor, speed of sound and Joule–Thomson coefficient. Our method has great potential to make wide-ranging first-principles predictions for mixtures of comparably sized molecules. Such predictions can replace the need for expensive, laborious and repetitive experiments and inform the continuum models required for applications.
- This article is part of the themed collection: Celebrating 10 years of ChemComm Emerging Investigators

Please wait while we load your content...