Co-catalysis between DABCO and a Brønsted acid in the catalytic [4 + 2] annulation of isatin with but-3-yn-2-one and mechanistic investigations†
Abstract
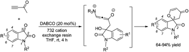
Catalytic amounts of the base catalyst DABCO in cooperation with a proton source (732 cation exchange resin) afford the [4 + 2] cycloadducts of isatins with but-3-yn-2-one in moderate to good yields. Moreover, related plausible mechanisms have been proposed in detail based on control and deuterium labeling experiments.
- This article is part of the themed collection: Celebrating the 80th Birthday of Professor Ei-ichi Negishi
 
                



 Please wait while we load your content...
                                            Please wait while we load your content...
                                        