Scalemic myrionsumamide A, tetracyclic skeleton alkaloids from Myrioneuron effusum†
Abstract
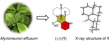
Investigation of the alkaloids from Myrioneuron effusum leads to the isolation of myrionsumamide A (1), a pair of enantiomeric alkaloids with an unprecedented tetracyclic system skeleton. These two alkaloids were separated by chiral HPLC with a ratio of 3 : 5 from the scalemic mixture. Their structures including absolute configurations were determined by NMR spectroscopy, X-ray diffraction data and ECD calculations. Both (+)-1 and (−)-1 showed antibacterial activity against Staphylococcus aureus with MIC at 7.81 μg ml−1.

Please wait while we load your content...