Experimental and theoretical research on a new corrosion inhibitor for effective oil and gas acidification
Abstract
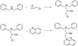
A new dibenzylamine-quinoline derivative (DEEQ) was synthesized and investigated as a corrosion inhibitor for mild steel in 15% HCl solution in various ways, including via weight loss measurements, contact angle measurements, electrochemical measurements (EIS), scanning electron microscopy (SEM), scanning Kelvin probe (SKP) and theoretical calculations. The experimental results revealed that DEEQ is an effective corrosion inhibitor for oil and gas acidification. In an oil–water two-phase system, the wettability of mild steel can be changed by adsorption, while obeying the Langmuir adsorption isotherm. Finally, quantum chemical calculations and molecular dynamic simulation parameters further show a definite correlation between the theoretical and experimental results.

Please wait while we load your content...