Non-percolating small metallic clusters and sharp suppression of metallicity in RE0.55Sr0.45Mn1−xRuxO3 manganites
Abstract
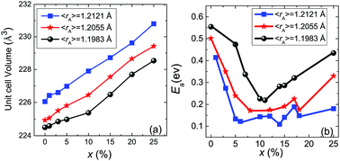
The origin of the anomalous sharp phase transition from a ferromagnetic metal into a ferromagnetic insulator has been investigated in ruthenium (Ru)-doped RE0.55Sr0.45Mn1−xRuxO3 (0 ≤ x ≤ 0.25) manganites (RESRMO) with RE(A-site) = Sm, Eu and Gd. The transition is independent of RE and occurs at a Ru doping level x of around 0.16–0.18. The analysis of the temperature derivative of the resistivity and the magneto-resistance at high temperatures as a function of x suggests that the suppression of metallicity originates from the doping driven magnetic/spin disorder that coexist within the ferromagnetic metallic/insulating matrix in these compounds.

Please wait while we load your content...