Rifamorpholines A–E, potential antibiotics from locust-associated actinobacteria Amycolatopsis sp. Hca4†
Abstract
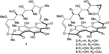
Cultivation of locust associated rare actinobacteria, Amycolatopsis sp. HCa4, has provided five unusual macrolactams rifamorpholines A–E. Their structures were determined by interpretation of spectroscopic and crystallographic data. Rifamorpholines A–E possess an unprecedented 5/6/6/6 ring chromophore, representing a new subclass of rifamycin antibiotics. The biosynthetic pathway for compounds 1–5 involves a key 1,6-cyclization for the formation of the morpholine ring. Compounds 2 and 4 showed potent activities against methicillin-resistant Staphylococcus aureus (MRSA) with MICs of 4.0 and 8.0 μM, respectively.

Please wait while we load your content...