Metal-free enantioselective addition of nucleophilic silicon to aromatic aldehydes catalyzed by a [2.2]paracyclophane-based N-heterocyclic carbene catalyst†
Abstract
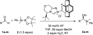
The first example of transition metal-free enantioselective 1,2-silylation of aromatic aldehydes is reported. This protocol enables an easy access to chiral α-hydroxysilanes from readily available aromatic aldehydes.

Please wait while we load your content...