Issue 22, 2016

Can betaine pyridinium derivatives be used to control the photoejection of cation?

Abstract

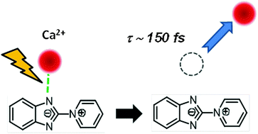
Using a combination of advanced DFT/TDDFT calculations together with ultrafast and stationary spectroscopies we have investigated the photochemistry and cationic complexation ability of 1-pyridinio-benzimidazolate (PyB) and analogs substituted by 15-aza-5-crown (PyB–Aza) or dimethyl-amino groups (PyB–DiMe). Focusing on PyB–Aza, the first aim was to assess the competitive complexation of the imidazole bridge vs. the macrocycle. In acetonitrile, it was found by absorption and emission that the imidazole moiety binds efficiently through lateral electrostatic interaction of high charge density cations and especially Ca2+ to form a 1 : 1, metal : ligand (M : L) complex. Modulation of the complexation toward para substitution of the phenyl ring with a donor group is reported with values ranging from log K = 3.4 to 6.8. Complexation values are properly predicted by DFT calculations. From a photochemical point of view, for the same series, the trend is parallel to the rate of the photo-release process, found to be less than 200 femtosecond (fs), the fastest photorelease characteristic time reported so far. Unlike photoinduced charge transfer molecules linked with an aza-crown group, the mechanism appears simpler with no participation of loose complexes due to the macrocavity effect. Relaxation mechanisms after cation ejection are discussed as well. Finally, even if any photoinduced translocation of cation is reported for the PyB–Aza molecule between two complexation sites, a discussion about the use of betaine pyridinium as a molecular tool for the smart manipulation of cation systems is initiated.

Graphical abstract: Can betaine pyridinium derivatives be used to control the photoejection of cation?

Supplementary files

Article information

Article type
Paper
Submitted
15 Mar 2016
Accepted
09 May 2016
First published
11 May 2016

Phys. Chem. Chem. Phys., 2016,18, 15384-15393

Author version available

Can betaine pyridinium derivatives be used to control the photoejection of cation?

S. Aloïse, Y. Ruan, I. Hamdi, A. K. Tiwari, G. Buntinx, C. Azarias, A. Perrier and I. Leray, Phys. Chem. Chem. Phys., 2016, 18, 15384 DOI: 10.1039/C6CP01755J

To request permission to reproduce material from this article, please go to the Copyright Clearance Center request page.

If you are an author contributing to an RSC publication, you do not need to request permission provided correct acknowledgement is given.

If you are the author of this article, you do not need to request permission to reproduce figures and diagrams provided correct acknowledgement is given. If you want to reproduce the whole article in a third-party publication (excluding your thesis/dissertation for which permission is not required) please go to the Copyright Clearance Center request page.

Read more about how to correctly acknowledge RSC content.

Social activity

Spotlight

Advertisements