Issue 14, 2015

Synthesis and structural reconfirmation of bacillamide B

Abstract

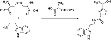
A concise total synthesis of the natural product bacillamide B was accomplished in 30% overall yield starting from L-cystine. The key step was a one-pot four-step process of thiazoline formation via a cascade disulfide cleavage/thiocarbonylation/Staudinger reduction/aza-Wittig reaction using β-azido disulfide and carboxylic acid as substrates. The absolute configuration of the natural bacillamide B was reconfirmed to be S and the specific optical rotation was revised to (−).

Graphical abstract: Synthesis and structural reconfirmation of bacillamide B

Supplementary files

Article information

Article type
Paper
Submitted
16 Jan 2015
Accepted
25 Feb 2015
First published
25 Feb 2015

Org. Biomol. Chem., 2015,13, 4271-4277

Synthesis and structural reconfirmation of bacillamide B

X. Sun, Y. Liu, J. Liu, G. Gu and Y. Du, Org. Biomol. Chem., 2015, 13, 4271 DOI: 10.1039/C5OB00093A

To request permission to reproduce material from this article, please go to the Copyright Clearance Center request page.

If you are an author contributing to an RSC publication, you do not need to request permission provided correct acknowledgement is given.

If you are the author of this article, you do not need to request permission to reproduce figures and diagrams provided correct acknowledgement is given. If you want to reproduce the whole article in a third-party publication (excluding your thesis/dissertation for which permission is not required) please go to the Copyright Clearance Center request page.

Read more about how to correctly acknowledge RSC content.

Social activity

Spotlight

Advertisements