Issue 21, 2014

Design and synthesis of cyclic depsipeptides containing triazole (CDPT) rings

Abstract

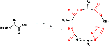
We report the synthesis of cyclic depsipeptides containing triazole (CDPT) rings using click chemistry. 1,3-Dipolar cyclization via CuI-catalyzed alkyne–azide coupling gave the CDPT ring in a 58–64% yield.

Graphical abstract: Design and synthesis of cyclic depsipeptides containing triazole (CDPT) rings

Supplementary files

Article information

Article type
Communication
Submitted
13 Sep 2013
Accepted
20 Dec 2013
First published
23 Dec 2013

RSC Adv., 2014,4, 10728-10730

Design and synthesis of cyclic depsipeptides containing triazole (CDPT) rings

S. K. Agrawal, P. Panini, M. Sathe, D. Chopra and M. P. Kaushik, RSC Adv., 2014, 4, 10728 DOI: 10.1039/C3RA45100C

To request permission to reproduce material from this article, please go to the Copyright Clearance Center request page.

If you are an author contributing to an RSC publication, you do not need to request permission provided correct acknowledgement is given.

If you are the author of this article, you do not need to request permission to reproduce figures and diagrams provided correct acknowledgement is given. If you want to reproduce the whole article in a third-party publication (excluding your thesis/dissertation for which permission is not required) please go to the Copyright Clearance Center request page.

Read more about how to correctly acknowledge RSC content.

Social activity

Spotlight

Advertisements