Issue 12, 2011

A unique proton coupled electron transfer pathway for electrochemical reduction of acetophenone in the ionic liquid [BMIM][BF4] under a carbon dioxide atmosphere

Abstract

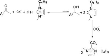
The mechanism of electrochemical reduction of acetophenone in 1-butyl-3-methylimidazolium tetrafluroborate ([BMIM][BF4]) under nitrogen (N2) and carbon dioxide (CO2) atmospheres have been investigated using transient voltammetry, steady-state voltammetry, bulk electrolysis and numerical simulation. Under a N2 atmosphere, acetophenone undergoes a one-electron reduction to the radical anion followed by rapid dimerization reactions with an apparent rate constant of 1.0 × 106 M−1s−1. In contrast, under a CO2 atmosphere, the electrochemical reduction of acetophenone is an overall two-electron transfer chemically irreversible process with the final electrolysis product being 1-phenylethanol, instead of the anticipated 2-hydroxy-2-phenylpropionic acid resulting from an electrocarboxylation reaction. A proton coupled electron transfer pathway leading to the formation of 1-phenylethanol requires the presence of a sufficiently strong proton donor which is not available in neat [BMIM][BF4]. However, the presence of CO2 enhances the C-2 hydrogen donating ability of [BMIM]+ due to strong complex formation between the deprotonated form of [BMIM]+, N-heterocyclic carbene, and CO2, resulting in a thermodynamically favorable proton coupled electron transfer pathway.

Graphical abstract: A unique proton coupled electron transfer pathway for electrochemical reduction of acetophenone in the ionic liquid [BMIM][BF4] under a carbon dioxide atmosphere

Article information

Article type
Paper
Submitted
30 Jul 2011
Accepted
16 Sep 2011
First published
28 Oct 2011

Green Chem., 2011,13, 3461-3468

A unique proton coupled electron transfer pathway for electrochemical reduction of acetophenone in the ionic liquid [BMIM][BF4] under a carbon dioxide atmosphere

S. Zhao, L. Wu, H. Wang, J. Lu, A. M. Bond and J. Zhang, Green Chem., 2011, 13, 3461 DOI: 10.1039/C1GC15929A

To request permission to reproduce material from this article, please go to the Copyright Clearance Center request page.

If you are an author contributing to an RSC publication, you do not need to request permission provided correct acknowledgement is given.

If you are the author of this article, you do not need to request permission to reproduce figures and diagrams provided correct acknowledgement is given. If you want to reproduce the whole article in a third-party publication (excluding your thesis/dissertation for which permission is not required) please go to the Copyright Clearance Center request page.

Read more about how to correctly acknowledge RSC content.

Social activity

Spotlight

Advertisements