Issue 8, 2005

Photochemical alkylation of inorganic arsenic

Part 2. Identification of aqueous phase organoarsenic species using multidimensional liquid chromatography and electrospray mass spectrometry

Abstract

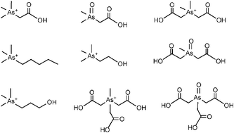
The alkylation of arsenic via a new photochemical pathway was investigated. Photochemical alkylation was achieved by irradiating a solution of 5 mg lāˆ’1 As(III) containing 1.4 M (20% v/v) acetic acid with UV light. Water-soluble arsenic species formed during the alkylation process were separated using multidimensional LC (anion- and cation-exchange chromatography) and isolated for off-line identification by electrospray mass spectrometry (ES-MS) or on-line reverse phase LC-MS. The molecular ions of potential organoarsenic species were subjected to collision induced dissociation and identification was based on structural information obtained from fragments or by comparison of fragmentation spectra of known species. Mass Frontier software was employed to help elucidate the structures of unknown compounds. Thirteen organoarsenic species were identified, six of which are previously unreported organoarsenic species.

Graphical abstract: Photochemical alkylation of inorganic arsenic Part 2. Identification of aqueous phase organoarsenic species using multidimensional liquid chromatography and electrospray mass spectrometry

Article information

Article type
Paper
Submitted
11 Mar 2005
Accepted
26 May 2005
First published
20 Jun 2005

J. Anal. At. Spectrom., 2005,20, 709-716

Photochemical alkylation of inorganic arsenic

S. McSheehy, X. Guo, Ralph. E. Sturgeon and Z. Mester, J. Anal. At. Spectrom., 2005, 20, 709 DOI: 10.1039/B503662C

To request permission to reproduce material from this article, please go to the Copyright Clearance Center request page.

If you are an author contributing to an RSC publication, you do not need to request permission provided correct acknowledgement is given.

If you are the author of this article, you do not need to request permission to reproduce figures and diagrams provided correct acknowledgement is given. If you want to reproduce the whole article in a third-party publication (excluding your thesis/dissertation for which permission is not required) please go to the Copyright Clearance Center request page.

Read more about how to correctly acknowledge RSC content.

Social activity

Spotlight

Advertisements