Issue 9, 2003

Specificity in template syntheses of hexaaza-macrobicyclic cages: [Pt(Me5-tricosatrieneN6)]4+ and [Pt(Me5-tricosaneN6)]4+

Abstract

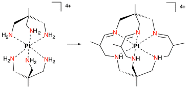
The racemic C3 hexadentate cage complex, [Pt(Me5-tricosatrieneN6)]Cl4 (1,5,9,13,20-pentamethyl-3,7,11,15,18,22-hexaazabicyclo[7.7.7]tricosa-3,14,18-triene)platinum(IV) tetrachloride), was synthesised stereospecifically and regiospecifically from a reaction of the bis-triamine template [Pt(tame)2]Cl4 (bis[1,1,1-tris(aminomethyl)ethane]platinum(IV) tetrachloride) with formaldehyde and then propanal, in acetonitrile under basic conditions. Largely, one racemic diastereoisomer was obtained in a surprisingly high yield (∼ 50%), even though the molecule has seven chiral centres. The origins of the stereoselective synthesis are addressed. The crystal structure of [Pt(Me5-tricosatrieneN6)](ZnCl4)1.5Cl·2H2O showed that all three imines were attached to one tame fragment with a chiral amine site (ΛSSS, ΔRRR) and a chiral methine carbon site (ΛRRR, ΔSSS) on each ligand strand. The PtN64+ moiety had a slightly distorted octahedral configuration with the two types of Pt–N bonds related to the imine and the amine donors, 2.050(7) and 2.072(6) Å, respectively. Treatment with sodium borohydride (15 s, 20 °C) at pH ∼ 12.5 reduced the imine groups, but not the Pt(IV) ion, producing a C3 saturated ligand complex [Pt(Me5-tricosaneN6)]Cl4 ((1,5,9,13,20-pentamethyl-3,7,11,15,18,22-hexaazabicyclo[7.7.7]tricosane)platinum(IV)tetrachloride). X-ray crystallographic analysis showed that the average Pt–N bond distance in the cation increased upon imine reduction to 2.10 (av) Å. The cyclic voltammograms of the two cage complexes displayed irreversible two-electron reduction waves in aqueous media and a ∼ 0.3 V shift to more positive potentials compared to that of the smaller cavity sar (3,6,10,13,16,19-hexaazabicyclo[6.6.6]icosane) analogue. After reduction, net dissociation of one strand of the cage was also evident, to give unstable square planar Pt(II) macrocyclic products.

Graphical abstract: Specificity in template syntheses of hexaaza-macrobicyclic cages: [Pt(Me5-tricosatrieneN6)]4+ and [Pt(Me5-tricosaneN6)]4+

Supplementary files

Article information

Article type
Paper
Submitted
16 Dec 2002
Accepted
12 Mar 2003
First published
03 Apr 2003

Org. Biomol. Chem., 2003,1, 1598-1608

Specificity in template syntheses of hexaaza-macrobicyclic cages: [Pt(Me5-tricosatrieneN6)]4+ and [Pt(Me5-tricosaneN6)]4+

K. N. Brown, R. J. Geue, T. W. Hambley, D. C. R. Hockless, A. D. Rae and Alan. M. Sargeson, Org. Biomol. Chem., 2003, 1, 1598 DOI: 10.1039/B212326F

To request permission to reproduce material from this article, please go to the Copyright Clearance Center request page.

If you are an author contributing to an RSC publication, you do not need to request permission provided correct acknowledgement is given.

If you are the author of this article, you do not need to request permission to reproduce figures and diagrams provided correct acknowledgement is given. If you want to reproduce the whole article in a third-party publication (excluding your thesis/dissertation for which permission is not required) please go to the Copyright Clearance Center request page.

Read more about how to correctly acknowledge RSC content.

Social activity

Spotlight

Advertisements