Issue 21, 2002

Novel cryptands containing thiourea units as a part of the macrocyclic framework

Abstract

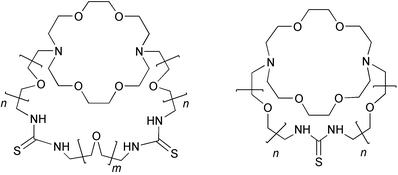
Alkylation of diaza-18-crown-6 by N-substituted phthalimides having a terminal halogen in the substituent, and subsequent product interaction with hydrazine hydrate and acid hydrolysis gave corresponding N,N′-disubstituted diaza-18-crown-6 compounds with terminal primary amino groups in the side chains. The reaction of these compounds with carbon disulfide or with appropriate bis[oligo(ethyleneoxy)]isothiocyanates afforded a series of novel cryptands with one or two thiourea units in one of the bridges.

Graphical abstract: Novel cryptands containing thiourea units as a part of the macrocyclic framework

Article information

Article type
Paper
Submitted
13 Aug 2002
Accepted
10 Sep 2002
First published
24 Sep 2002

J. Chem. Soc., Perkin Trans. 1, 2002, 2347-2351

Novel cryptands containing thiourea units as a part of the macrocyclic framework

N. G. Lukyanenko, T. I. Kirichenko and S. V. Scherbakov, J. Chem. Soc., Perkin Trans. 1, 2002, 2347 DOI: 10.1039/B207902J

To request permission to reproduce material from this article, please go to the Copyright Clearance Center request page.

If you are an author contributing to an RSC publication, you do not need to request permission provided correct acknowledgement is given.

If you are the author of this article, you do not need to request permission to reproduce figures and diagrams provided correct acknowledgement is given. If you want to reproduce the whole article in a third-party publication (excluding your thesis/dissertation for which permission is not required) please go to the Copyright Clearance Center request page.

Read more about how to correctly acknowledge RSC content.

Spotlight

Advertisements