Issue 21, 2002

Synthesis and structure of the novel octanuclear lithium aryloxide cluster [(hmqLi)8(THF)4] (hmq = 2-hydroxy-4-methylquinoline monoanion): formation of a rare four-rung intercepted Li–O ladder

Abstract

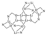
The title complex, readily prepared by the facile deprotonation of 2-hydroxy-4-methylquinoline by n-butyllithium in ethereal solvent, crystallises as a novel octanuclear cluster constructed around a rare intercepted four-rung Li–O ladder.

Graphical abstract: Synthesis and structure of the novel octanuclear lithium aryloxide cluster [(hmqLi)8(THF)4] (hmq− = 2-hydroxy-4-methylquinoline monoanion): formation of a rare four-rung intercepted Li–O ladder

Supplementary files

Article information

Article type
Communication
Submitted
15 Jul 2002
Accepted
19 Sep 2002
First published
30 Sep 2002

J. Chem. Soc., Dalton Trans., 2002, 3923-3924

Synthesis and structure of the novel octanuclear lithium aryloxide cluster [(hmqLi)8(THF)4] (hmq = 2-hydroxy-4-methylquinoline monoanion): formation of a rare four-rung intercepted Li–O ladder

S. T. Liddle and W. Clegg, J. Chem. Soc., Dalton Trans., 2002, 3923 DOI: 10.1039/B206894J

To request permission to reproduce material from this article, please go to the Copyright Clearance Center request page.

If you are an author contributing to an RSC publication, you do not need to request permission provided correct acknowledgement is given.

If you are the author of this article, you do not need to request permission to reproduce figures and diagrams provided correct acknowledgement is given. If you want to reproduce the whole article in a third-party publication (excluding your thesis/dissertation for which permission is not required) please go to the Copyright Clearance Center request page.

Read more about how to correctly acknowledge RSC content.

Spotlight

Advertisements