Issue 7, 2002

The fixation of linear versus loop-type peptidic structures by metal coordination: the coordination chemistry of Val–Val- and Val–Val–Val-bridged dicatechol ligands

Abstract

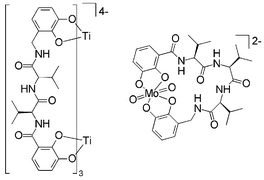
The Val–Val-bridged dicatechol ligand L1-H4 forms triply-bridged dinuclear complexes with titanium(IV) ions, while the more flexible ValVal–Val derivative L2-H4 leads to mixtures of complexes containing species with a cyclic arrangement of the ligand; with [cis-MoO2]2+ on the other hand, a well-defined macrocycle [(L2)MoO2]2− is formed which possesses a loop-type structure in the peptidic part of the ligand.

Graphical abstract: The fixation of linear versus loop-type peptidic structures by metal coordination: the coordination chemistry of Val–Val- and Val–Val–Val-bridged dicatechol ligands

Article information

Article type
Communication
Submitted
15 Jan 2002
Accepted
20 Feb 2002
First published
14 Mar 2002

Chem. Commun., 2002, 786-787

The fixation of linear versus loop-type peptidic structures by metal coordination: the coordination chemistry of Val–Val- and Val–Val–Val-bridged dicatechol ligands

M. Albrecht, O. Spieß, M. Schneider and P. Weis, Chem. Commun., 2002, 786 DOI: 10.1039/B200481J

To request permission to reproduce material from this article, please go to the Copyright Clearance Center request page.

If you are an author contributing to an RSC publication, you do not need to request permission provided correct acknowledgement is given.

If you are the author of this article, you do not need to request permission to reproduce figures and diagrams provided correct acknowledgement is given. If you want to reproduce the whole article in a third-party publication (excluding your thesis/dissertation for which permission is not required) please go to the Copyright Clearance Center request page.

Read more about how to correctly acknowledge RSC content.

Social activity

Spotlight

Advertisements