Electrocatalytic activity of 1D/3D TiO2 tubular layers/Ni-modified MXene microsphere heterojunction electrodes
Abstract
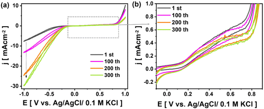
Controlling the morphology and size of MXene-based materials through top–down, electrochemical-assisted synthesis methods is crucial for improving catalytic performance and environmental safety issues compared with traditional etching techniques. However, achieving precise morphological control while avoiding structural and catalytic performance degradation remains a key scientific challenge. In this study, we introduce a mild and versatile approach that reshapes MXene flakes into microspheres via cyclic voltammetry. After 300 cycles at a scan rate of 20 mV s−1, spherical particles averaging 2.1 ± 0.1 µm were obtained. Despite the disruption of the strong Ti–C covalent bonds revealed by X-ray photoelectron spectroscopy (C1s spectrum), transmission electron microscopy confirmed a homogeneous distribution of Ti and C across the structure. Raman spectroscopy further verified that the electrochemically treated product preserved the characteristic Ti3C2Tx MXene chemical framework. To demonstrate the practical impact of this morphological tuning, a TiO2 nanotube/Ni–Ti3C2Tx heterostructure was fabricated and evaluated for water splitting catalysis. Remarkably, after only one minute of thermal annealing in air at 450 °C, the electrochemically derived MXenes demonstrated a substantially reduced overpotential of 260 mV for the oxygen evolution reaction (OER), surpassing most reported Ni-MXene-based catalysts in alkaline media.

Please wait while we load your content...