Synergistic role of self-induced CdIn2S4 nanopyramid sacrificial layer for the enhanced photocatalytic activity of TiO2 nanotube-based chalcogenide heterostructures
Abstract
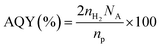
A simple treatment was employed to obtain a novel design of a highly stable visible light responsive In2S3/CdS/TiO2 nanotube-based photocatalyst for H2 production. At first, In2S3/CdS/TiO2 nanotubes were fabricated by incorporating CdS and In2S3 quantum dots (QDs) onto TiO2 nanotubes (TNTs) via a chemical bath deposition method. In the second step, a portion of the QDs layer (CdS and In2S3) was converted into a layer of CdIn2S4 pyramid-like structure by thermal treatment of In2S3/CdS/TNTs in an Ar environment (Ar-In2S3/CdS/TNTs). The photocatalytic performances of the different heterostructure assemblies (simple and Ar-treated samples) were tested. The incorporation of CdS and In2S3 QDs significantly improved the visible response, showing higher photocurrent density and H2 production rate (0.5694 mL h−1 cm−2) values. Furthermore, the outer layer of CdIn2S4 improved the photostability of In2S3/CdS/TNTs and further boosted the H2 evolution rate (0.6281 mL h−1 cm−2). The apparent quantum yields (AQYs) of Ar-In2S3/CdS/TNTs at 450 nm and 632 nm LED were 5.54% and 13.57%, respectively. The higher photocurrent density and lower charge transfer resistance suggest that the structure of the Ar-In2S3/CdS/TNTs photoanodes provides efficient charge carrier separation and interfacial charge transport properties. Dye degradation of methylene blue using Ar-In2S3/CdS/TNTs showed complete degradation of the dye within 22 min, which was 5 minutes lesser than that observed for In2S3/CdS/TNTs.
- This article is part of the themed collection: Emerging Inorganic Materials for Solar Harvesting

Please wait while we load your content...