Open Access Article
This Open Access Article is licensed under a
Creative Commons Attribution 3.0 Unported Licence

UV-vis-NIR magnetic linear dichroism: a powerful complement to MCD for f-block electronic structure

Sydney M. Giles , Kevin O'Neil , Ian E. Ramsier , Gina Angelo , Xin Gui and Wesley J. Transue *
Department of Chemistry, University of Pittsburgh, Pittsburgh, Pennsylvania, USA. E-mail: wtransue@pitt.edu

Received 4th August 2025 , Accepted 20th November 2025

First published on 27th November 2025


Abstract

The ability to synthesize next-generation lanthanide and actinide molecular materials with designer photophysical properties rests squarely on our ability to predict, control, and measure their electronic structure. This is especially true of the crystal field (CF) interactions of the metal, which are the only interactions that can be appreciably tuned by ligand design. Herein we present ultraviolet-visible-near infrared magnetic linear dichroism (MLD) spectroscopy as an underutilized magneto-optical technique that holds immense promise in the elucidation of f-block electronic structure. We use a PrIII polyoxometalate complex with pseudo-D4d symmetry, [n-Bu4N]3[Pr{Mo5O13(OMe)4(NO)}2] (1·Pr), to demonstrate that acquisition of both magnetic circular dichroism (MCD) and MLD spectra allows definitive assignment of the observed CF levels through the complementary selection rules of these techniques. We provide general MCD and MLD sign patterns that can be applied to any (pseudo)-D4d PrIII complex to facilitate the assignment of fine structure. Our assignments for 1·Pr allow us to fit its transitions with a phenomenological Hamiltonian, providing insight into its CF splitting and solution geometry along with entirely experimentally-derived wavefunctions for its states without use of density functional theory or multireference computational techniques.


1 Introduction

A primary focus of contemporary f-block chemistry is the development of bespoke magnetic, optical, chiroptical, and magneto-optical properties in molecules, including ultranarrow transitions,1 circularly polarized luminescence,2 magnetochiral dichroism,3 spin–electric coupling,4 and more.5 Crystal field (CF) interactions control all of these properties. The design of next-generation f-block molecular materials requires that synthetic chemists can precisely tune CF interactions about the metal,6 and this importance has led to the development of several experimental techniques to characterize the CF. The most popular are ground state (GS) techniques such as magnetometry,7 electron paramagnetic resonance,8 far-infrared magnetospectroscopy,9 and inelastic neutron scattering.10 However, there is a complication: strong spin–orbit coupling (SOC) intrinsic to f-block elements causes interstate mixing of |MJ〉 levels between energetically proximal states.11 This means correlation of GS CF measurements with excited state (ES) properties is not straightforward. It is even known that CF splitting can vary from state to state in ways that cannot be modeled with the usual one-electron CF operators.12–15 As f-block chemists increasingly focus on precision engineering of ES properties, it is important to develop new methods to characterize the CF through direct ES observation.

Ultraviolet-visible-near infrared (UV-vis-NIR) magneto-optical techniques like magnetic circular dichroism (MCD) spectroscopy and its sister spectroscopy, magnetic linear dichroism (MLD), are perfectly suited to this task. They offer three main advantages: (1) the signed nature of MCD/MLD features provides greater insight into overlapping absorption bands,16 (2) their SOC-driven intensity mechanisms preferentially highlight metal-centered transitions,17 and (3) their complementary selection rules to absorption spectroscopy assist in assignments.18 MCD in particular has been used in the evaluation of lanthanide electronic structure, both on its own17 and in combination with a battery of other experimental techniques.11 This is not the case for MLD, which has been almost completely unreported for lanthanide coordination complexes.19–22 In fact, MLD is rarely encountered outside of X-ray synchrotron experiments, and we are aware of only a few molecular examples of UV-vis-NIR MLD studies.22–27

Combined acquisition of MCD and MLD spectra has the potential to provide great insight into the identities of the GS/ES levels split by the CF due to the different positive/negative intensity patterns between the two techniques. Herein, we demonstrate the power of these combined spectroscopies using an example praseodymium(III) polyoxometalate (POM) complex [nBu4N]3[Pr{Mo5O13(OMe)4(NO)}2] (1·Pr) (Fig. 1a). We outline MCD and MLD selection rules that we have derived for D4d-symmetric 4f2 complexes without the use of Judd–Ofelt theory, which cannot be used at low temperature and is also known to describe PrIII poorly.28,29 These selection rules allow unambiguous assignment of the observed fine structure of 1·Pr, and fitting the average CF splitting among the states provides a calculated model that closely agrees with the observed experimental transition energies. This model yields experimentally-determined wavefunctions for the system without need for computational methods like density functional theory (DFT) or multireference computational techniques. Interpretation of these CF parameters using the angular overlap model (AOM) shows that 1·Pr retains a very similar pseudo-D4d geometry in solution as in its X-ray crystal structure. The success in modeling the electronic structure of 1·Pr highlights the power of joint acquisition of MCD and MLD spectra to assist in future design of lanthanide and actinide optical materials.


image file: d5sc05890b-f1.tif
Fig. 1 (a) A 50% thermal ellipsoid plot of 1·Pr with the cations and hydrogens omitted for clarity. (b) The energies of all f–f transitions of a free atomic PrIII ion are determined primarily by interelectron repulsion and SOC.30,31 There are further CF splittings when PrIII is in a molecule, here shown only for the 3H4 and 1D2 levels (CF splitting not to scale).

2 Theoretical background

2.1 Magneto-optical spectroscopies

Due to the shielding of 4f orbitals from metal–ligand interactions and the Laporte selection rule, f–f transitions are characteristically narrow in lineshape and weak in intensity.29 Molecules in non-centrosymmetric point groups (like D4d and D4) can display increased f–f intensities through the ‘induced electric dipole’ mechanism arising from CF-driven mixing with Laporte-allowed f–d, f–g, and charge transfer transitions.32,33 Through this mechanism, f–f transitions that satisfy the electric dipole selection rule ΓiΓmΓfA1 are more likely to be observed in the absorption spectrum, where Γi/Γf are the irreducible representations (irreps) of the initial/final states and Γm is the (possibly reducible) representation for the transition dipole moment operator. Unfortunately, the absorption spectrum does not offer many other ways to discriminate between the identities of f–f transitions beyond this selection rule.

Here, dichroic spectroscopies like MCD and MLD offer a distinct advantage. MCD and MLD spectroscopies are techniques that are nominally similar to but physically distinct from their natural circular dichroism (CD) and linear dichroism (LD) counterparts. Natural CD and LD are limited to chiral and/or anisotropic materials, but the addition of a magnetic field induces MCD and MLD signals in all materials, making them more broadly useful.16 It is also worth mentioning that MLD is distinct from the Cotton–Mouton effect, in which an applied magnetic field causes molecular reorientation in solution and the development of LD. The great utility of MCD and MLD in f-block spectroscopy comes from the deep connection between these dichroic responses and the molecular symmetry.34

MCD and MLD spectroscopies are closely related but differ in the polarization of light and the orientation of the external magnetic field: MCD orients the field parallel with the direction of light and uses left/right-circular polarization (ΔεMCD = εLCPεRCP), whereas MLD orients the field perpendicular to the direction of light and uses linear polarization either parallel or perpendicular to the magnetic field direction (ΔεMLD = εε). The intensities of the MCD/MLD signals for a transition AJ are35

 
image file: d5sc05890b-t1.tif(1)
 
image file: d5sc05890b-t2.tif(2)
where E is energy, γ a proportionality constant, NX the fractional population of level X, and f a lineshape function. The sums run over all thermally accessible sublevels a within GS A and all sublevels j within ES J. The response to left-circular, right-circular, parallel, and perpendicular polarizations of light are calculated from transition dipole moment operators [m with combining circumflex], [m with combining circumflex]+, [m with combining circumflex], and [m with combining circumflex], respectively. Use of eqn (1) and (2) requires the ability to construct a spin Hamiltonian to describe the GS magnetic response,36–39 and complicated nonlinear behavior is often encountered when the system experiences magnetic saturation.

Taylor expansion can be used to greatly simplify these equations when the system is far from magnetic saturation (µBB/kBT ≪ 1, Boltzmann constant kB, temperature T). At sufficiently weak fields or sufficiently high temperatures, Taylor expansion of eqn (1) predicts a linear MCD response,

 
image file: d5sc05890b-t3.tif(3)

The image file: d5sc05890b-t4.tif, image file: d5sc05890b-t5.tif, and image file: d5sc05890b-t6.tif constants are called “Faraday” parameters, and their signs can be inferred from symmetry in favorable point groups.34 It should be noted that the image file: d5sc05890b-t7.tif term contributes derivative-shaped features to the spectrum, while image file: d5sc05890b-t8.tif and image file: d5sc05890b-t9.tif terms contribute typical absorption-shaped features (Fig. 2a). The relative orders of magnitude of these parameters for an f–f transition are roughly35

 
image file: d5sc05890b-t10.tif(4)
where we have used values typical of 1·Pr: bandwidth at half-maximum Γ = 50 cm−1 and energy differences between states ΔW = 2500 cm−1. It is always possible to use a weaker magnetic field in order to remain in a linear MCD response region, even at cryogenic temperatures.


image file: d5sc05890b-f2.tif
Fig. 2 Observed (a) MCD and (b) MLD features for an AJ transition are typically modeled as sums of zeroth-, first-, and second-order derivative lineshapes.24 These lineshapes are caused by the close energetic spacing of Zeeman-split MJ levels, their uneven Boltzmann population, and their different interactions with polarized light, among other considerations (see SI Section S6.1).

Analogous Taylor expansion of eqn (2) gives no MLD intensity at first order. Instead, the first nonzero term is at second order in the applied field, yielding a quadratic MLD response,

 
image file: d5sc05890b-t11.tif(5)

Eqn (5) shows that six Faraday parameters (image file: d5sc05890b-t12.tif, image file: d5sc05890b-t13.tif, image file: d5sc05890b-t14.tif, image file: d5sc05890b-t15.tif, image file: d5sc05890b-t16.tif, and image file: d5sc05890b-t17.tif) are required to model non-saturating MLD intensity, and features can appear as zeroth-, first-, or second-order derivatives of the absorption lineshape (Fig. 2b).35 The relative orders of magnitude of these parameters for lanthanides generally vary as40

 
image file: d5sc05890b-t18.tif(6)

It has been shown that isolated doublets (or effective doublets) are unable to produce any image file: d5sc05890b-t19.tif MLD intensity,25,41 and this is consistent with our observations of image file: d5sc05890b-t20.tif as the dominant intensity pattern for 1·Pr (vide infra). As temperatures rise, any image file: d5sc05890b-t21.tif and image file: d5sc05890b-t22.tif MLD intensity should decrease as T−1 and T−2, respectively, meaning that image file: d5sc05890b-t23.tif features may dominate the MLD spectra of lanthanides under warmer conditions than those explored here.

Every transition within an MCD or MLD spectrum has its own unique set of Faraday parameters associated with it. These MCD and MLD Faraday parameters can be positive, zero, or negative, and their signs vary depending on the identities and symmetries (irreps) of the initial and final states involved in the transition. We have predicted the signs of MCD image file: d5sc05890b-t24.tif and image file: d5sc05890b-t25.tif signals and MLD image file: d5sc05890b-t26.tif signals for a generic 4f2 ion using the Wigner–Eckart theorem in the D4d double group,34,42 and these signs are summarized in Table 1 (see SI Section S3 for derivation). Our prediction of Faraday parameter signs extends previous analyses of MCD image file: d5sc05890b-t27.tif intensity patterns that were developed using Judd–Ofelt theory.17,43 Judd–Ofelt theory is a common model of f–f intensity based on mixing of 4fN states with 4fN−15d1 and 4fN−15g1 states, and its most well-known form fits absorptivities using only three parameters (Ω2, Ω4, Ω6).28 Several of its core assumptions, however, break down at cryogenic temperatures and for lanthanides with low-lying 4fN−15d1 states (such as PrIII).29 Our predictions in Table 1 are thus more broadly applicable since they rely only on symmetry. Nonetheless, it is worth pointing out that deviations from these expectations can still occur if mixing between MJ levels appreciably alters the effective g values of the GS or ES away from the Landé g values, or if the geometry strays from ideal D4d symmetry. Additionally, image file: d5sc05890b-t28.tif intensity can begin to grow as the second-lowest CF level approaches the energy of the lowest level.

Table 1 Signs of MCD (image file: d5sc05890b-t57.tif and image file: d5sc05890b-t58.tif) and MLD (image file: d5sc05890b-t59.tif) Faraday parameters from the 3H4 ground state of PrIII assuming perfect D4d symmetry and ideal Landé g factorsa
2S+1LJ ES 3H4 GS MJ and irrep Γ
M J Γ 0 A1a ±1 E3 ±2 E2 ±3 E1 ±4b B1 + B2

image file: d5sc05890b-t60.tif

image file: d5sc05890b-t61.tif

image file: d5sc05890b-t62.tif

image file: d5sc05890b-t63.tif

image file: d5sc05890b-t64.tif

image file: d5sc05890b-t65.tif

image file: d5sc05890b-t66.tif

image file: d5sc05890b-t67.tif

image file: d5sc05890b-t68.tif

image file: d5sc05890b-t69.tif

image file: d5sc05890b-t70.tif

image file: d5sc05890b-t71.tif

image file: d5sc05890b-t72.tif

image file: d5sc05890b-t73.tif

image file: d5sc05890b-t74.tif

a This table can be used to predict the signs of MCD or MLD Faraday coefficients for a given transition originating from the 3H4 ground state. For a given initial MJ or irrep (columns), the expected sign of Faraday coefficients for a transition to the final MJ or irrep (rows) is given. a The MJ = 0 levels transform as A1 for even J and A2 for odd J. b Treatment of GS MJ = ±4 levels was performed by assuming the B1 combination was lowest; the same results are obtained if B2 is lowest. c Treatment of ES MJ = ±4 assumed the splitting between B1 and B2 levels was less than the linewidth.
0 A1,2a 0 0 0 0 0 0 0 0 0 0 0 0
±1 E3 0 0 0 0 0 0 0 0 + + 0 0
±2 E2 0 0 0 0 0 + + + 0 0 0
±3 E1 0 0 0 0 + + + 0 0 0 0 0 0
±4c B1 + B2 0 0 0 + + 0 0 0 0 0 0 0 0 0
±5 E1 + 0 0 0 0 + + 0 0 0 0 0 0
±6 E2 0 0 0 + + 0 0 + + 0 0 0


2.2 Electronic structure and molecular symmetry

Lanthanide electronic structure is usually modeled as a sum of atomic contributions and crystal field contributions: Ĥ = Ĥatom + ĤCF. We will describe each in turn.

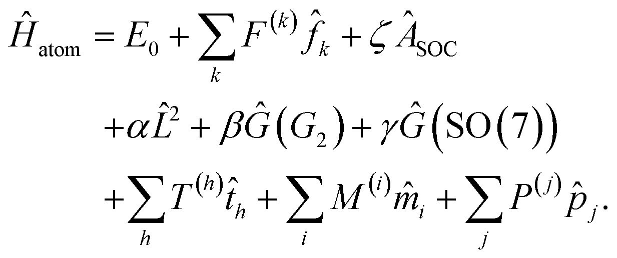
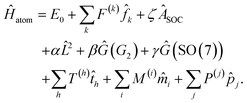
The atomic Hamiltonian Ĥatom characterizes the energy levels of a 4fN ion in the absence of any ligands, and it takes the form

 
image file: d5sc05890b-t29.tif(7)

This equation parametrizes the effects of interelectronic repulsion (F(k)), SOC (ζ), configuration interaction (α, β, γ, T(h)), and more (see SI for more detailed definitions of the terms). The strongest of these effects is interelectronic repulsion. This interaction breaks the 4fN levels into multiple states characterized by spin S and orbital L quantum numbers, also known as Russell–Saunders or LS coupling. Within the f block, SOC is the next strongest effect and it couples the spin and orbital angular momenta into a total angular momentum J. This splits each 2S+1L state into a series of 2S+1LJ states, which are shown for a free atomic PrIII ion in Fig. 1b.

The introduction of a crystal field (CF) disrupts the spherical symmetry of an atom or atomic ion, lowering the system into one of the molecular point groups. This descent in symmetry lifts the degeneracy of the MJ levels within each 2S+1LJ state, and the resulting splitting is typically modeled using one-electron operators as

 
image file: d5sc05890b-t30.tif(8)
where B(k)q are the CF parameters and Ĉq(k) are the spherical tensor operators of rank k and component q (see SI Section S2.2). Here, we have used the Wybourne convention,44 but the reader should be aware that there are multiple equivalent conventions to describe f-block CF interactions.45 Even within a single convention, different choices of xyz axis orientations can lead to multiple equivalent sets of B(k)q values, so care must be taken when making comparisons.

Eqn (8) appears to require 27 B(k)q parameters, but many B(k)q are necessarily zero due to molecular symmetry. Only Ĉq(k) (or linear combinations thereof) that transform as the totally symmetric irrep of the point group may have nonzero B(k)q parameters.46 There are only three valid (k, q) pairs in a D4d-symmetric system,42

 
ĤCF = B(2)0Ĉ(2)0 + B(4)0Ĉ(4)0 + B(6)0Ĉ(6)0.(9)

The pattern of MJ splitting caused by this ĤCF perturbation can be straightforwardly predicted using the D4d double group. For a 4f2 PrIII ion in D4d symmetry, its MJ levels are expected to split as shown in the leftmost column of Table 1; for example, the 3H4 GS should split into an A1 level (MJ = 0), an E3 level (degenerate MJ = ±1 pair), an E2 level (MJ = ±2), an E1 level (MJ = ±3), and a B1 + B2 level (quasi-degenerate MJ = ±4 pair). This process of mixing into levels that correspond to irreps of the double group generally causes MJ to cease to be a good quantum number; however, we have tried whenever possible to continue to associate MJ values to levels according to the largest component of the wavefunction.

While the double group reveals the pattern of CF splitting, prediction of their energetic ordering requires a model. A popular heuristic uses charge density distributions of the MJ levels to predict how electrostatic repulsion of point-like ligands around the f ion will influence the energies.47,48 These distributions (Fig. 3a) suggest the ±3 levels of the 3H4 GS experience the least destabilization by the pseudo-D4d CF of 1·Pr. More quantitative predictions were found using the angular overlap model (AOM) to estimate the CF splitting of the GS (Fig. 3b), which agreed that the E1 (MJ = ±3) levels are expected to lie lowest in energy for ligands with typical π interactions (eπ < eσ). Twisting of the two polyoxometallate ligands away from the ideal 45° angle causes a D4dD4 descent in symmetry and further splits the levels (Fig. 3c), so accurate assignment of MCD and MLD spectra can help to determine the average symmetry of a species in solution.


image file: d5sc05890b-f3.tif
Fig. 3 (a) Charge density distributions for the MJ levels within the 3H4 GS of PrIII show the ±3 levels should be lowest in energy. (b) The predicted splitting from an AOM treatment of 1·Pr in perfect D4d symmetry using eσ = 400 cm−1. (c) Deviations from ideal D4d symmetry (45° twist) cause descent into D4 symmetry. Notably, this splits the E2 level into a B1 and a B2 level (eσ = 400 cm−1, eπ = 265 cm−1).

3 Results and discussion

3.1 Synthesis and room temperature spectroscopy

We began our exploration of joint lanthanide MCD/MLD spectroscopy through the selection of 1·Pr as a useful target compound. Polyoxometalates have been extensively used as ligands in lanthanide coordination chemistry for a variety of applications,49 and precise control over their CF interactions have led to magnetic hysteresis, spin–electric coupling, molecular clock transitions, and more.4,50,51 The 1·Ln family of compounds is known for most of the lanthanide series (Ln = La, Ce, Nd, Sm–Er), and crystallographic studies have shown the anions to adopt roughly D4d-symmetric geometries with twist angles ranging from 38.2(2)–40.4(2)°.52 We have prepared 1·Pr for the first time, and its structure revealed a similar twist angle of 40.7(2)° between the two POM ligands (Fig. 1a).

Our studies of the electronic structure of 1·Pr began by collecting the room temperature UV-vis-NIR absorption spectrum over the 400–1850 nm wavelength region (Fig. 4a). Solutions of 1·Pr in 9[thin space (1/6-em)]:[thin space (1/6-em)]1 methanol-d4/ethanol-d6 were bright purple in color due to the presence of a broad feature at 550 nm (ε = 150 M−1 cm−1) that dominated the visible absorption spectrum.52 This transition is generally understood to arise from a dxz,yz → dxy excitation within the {MoNO}4 moiety of the polyoxometalate ligand, and it can be seen across the entire family of previously reported 1·Ln compounds (cf.1·La in Fig. 4a).52–54


image file: d5sc05890b-f4.tif
Fig. 4 (a) Absorption, (b) and (c) MCD, and (d) MLD spectra of 1·Pr are shown at various temperatures. Regions of interest are shown in blue and labeled, and an absorption spectrum of 1·La is included for comparison. There are no data within region 4 in the room temperature spectra due to the strong absorption of the solvent.

Several weaker f–f transitions were anticipated on top of the strong ligand-centered transition based on comparison with the atomic ion (Fig. 1b) and with a Dieke diagram.55 Zooming into the spectrum revealed clusters of transitions that appear in three regions (Fig. 4a), and these clusters can be coarsely assigned as 3H43P0,1,2 + 1I6 in region 1, 3H41D2 in region 2, and 3H43F3,4 in region 3. The MCD spectrum over the same regions (Fig. 4b) offered a distinct advantage over the absorption spectrum in locating the f–f features because MCD intensity is largely driven through SOC.17,35,36 This means that the weaker f–f transitions of the paramagnetic PrIII ion show enhanced MCD over those localized within the diamagnetic polyoxometalate ligand.

Together, our room temperature studies gave evidence for observation of seven of the eight expected ESs of PrIII in the 400–1850 nm wavelength range. The limited solubility of 1·Pr in 9[thin space (1/6-em)]:[thin space (1/6-em)]1 methanol/ethanol prevented location of the 1G4 transition expected near 1000 nm, even using a saturated solution in a 4 cm path length cuvette. The search for further f–f transitions at energies higher than 25[thin space (1/6-em)]000 cm−1 (λ < 400 nm) and lower than 5400 cm−1 (λ > 1850 nm) was prevented by the strong absorption from the polyoxometalate ligand and the solvent, respectively.

3.2 Cryogenic magneto-optical spectroscopies

While approximate energies of transitions could be identified from room temperature spectra, detailed insight required collection of cryogenic magneto-optical data. Additionally, the 0.12 cm path length of our cryogenic sample holder allowed collection of data out to 2400 nm (4200 cm−1), revealing another cluster of transitions in a fourth region (region 4), corresponding to the 3F2 and 3H6 states (Fig. 4c).

Inspection of the cryogenic MCD and MLD spectra showed several obvious differences from the room temperature data (Fig. 4c and d). The MCD spectrum at 1.7 K appeared sharpened, strengthened, and simplified due to the 1/kBT variation of image file: d5sc05890b-t34.tif MCD intensity (Eq. (3)); thus, image file: d5sc05890b-t35.tif intensity alone dominated over any temperature-independent image file: d5sc05890b-t36.tif term intensity. No vibronic progressions were observed in the transitions, and the low temperature ensured that there were no hot bands in the spectrum from population of low-lying vibrational or electronic excited states. It is fascinating to compare the MCD spectrum with the MLD spectrum, which is dominated by derivative-shaped image file: d5sc05890b-t37.tif term features. The sharp MLD features give increased precision in peak position over the MCD spectrum, and the simultaneous fitting of MCD and MLD data greatly assisted in deconvoluting overlapped transitions.

Analysis of the MCD and MLD spectra of 1·Pr required determination of Γi, the irrep of the lowest CF level within the 3H4 GS, and we approached this through inspection of the 3H43P0 transition located in region 1 (20[thin space (1/6-em)]527.6 cm−1). Selection of a transition to a J = 0 state like 3P0 was convenient because there cannot be any complications from CF splitting of the ES. The MCD associated with this transition had strongly negative image file: d5sc05890b-t38.tif intensity at low temperatures and revealed a negative image file: d5sc05890b-t39.tif intensity after warming to 80 K (SI Fig. S6a). Additionally, the MLD intensity was best modeled with both negative image file: d5sc05890b-t40.tif and image file: d5sc05890b-t41.tif Faraday parameters (SI Fig. S6c). The strong intensity of the MCD feature and the uniformly negative MCD and MLD Faraday parameters (Table 1) are consistent with this feature arising from an E1 → A1 transition. This interpretation agrees with the AOM prediction of an E1 (MJ = ±3) level lowest (Fig. 3b).

Identification of an E1 (MJ = ±3) 3H4 GS enabled the assignment of the remainder of the features. We will demonstrate by focusing on region 2, which shows 3H41D2 transitions that we have labeled with Roman numerals in Fig. 5. A D4d CF will split the 1D2 state into an A1 (MJ = 0) level, an E3 (MJ = ±1) level, and an E2 (MJ = ±2) level according to Table 1, and this trifurcation is seemingly confirmed by the observation of three transitions: I (17[thin space (1/6-em)]085 cm−1), II (16[thin space (1/6-em)]975 cm−1), and III (16[thin space (1/6-em)]576 cm−1). These transitions display two positive (I, II) and one negative (III) MCD image file: d5sc05890b-t42.tif term features at 1.7 K. Warming the sample to 80 K revealed negative and positive image file: d5sc05890b-t43.tif intensities associated with transitions I and II, respectively. The negative image file: d5sc05890b-t44.tif and image file: d5sc05890b-t45.tif MCD intensities associated with transition III clearly implicate an A1 level; however, the Table 1 suggests that only one positive image file: d5sc05890b-t46.tif MCD feature should be observed. It may thus be suspected that the small feature for transition I could be due to the MCD-forbidden E1 → E3 transition, its intensity coming from some slight deviation from D4d symmetry. MCD sign and lineshape unfortunately give no further insight. Here, the utility of simultaneous MLD analysis comes into relief. Transition II with positive MCD image file: d5sc05890b-t47.tif and image file: d5sc05890b-t48.tif intensity has negative MLD image file: d5sc05890b-t49.tif intensity; whereas, the weaker MCD image file: d5sc05890b-t50.tif feature of transition I has strong positive MLD image file: d5sc05890b-t51.tif intensity. These patterns of MCD and MLD intensities demand that transition II is assigned to the 1D2 E2 (MJ = ±2) level, and transition I is indeed due to the 1D2 E3 (MJ = ±1) level. Explanations of the assignments in other regions (Table 2) follow similar logic and can be found in the SI (Section S4.1). Satisfyingly, our assignments were found to match in MCD image file: d5sc05890b-t75.tif sign to those from CASSCF(2,7)/RI-NEVPT2 calculations using ORCA 6.0.1 (ref. 56–62) (SI Section S5).


image file: d5sc05890b-f5.tif
Fig. 5 The MCD and MLD spectra of the three 3H41D2 features in region 2 are labeled with Roman numerals I, II, and III. These features together allow for confident assignment of each transition through comparison of the image file: d5sc05890b-t31.tif, image file: d5sc05890b-t32.tif, and image file: d5sc05890b-t33.tif intensities.
Table 2 Comparison between experimental energies (cm−1) of 1·Pr 4f2 levels and calculated values derived from the D4d fitted parameters
Level Γ (MJ) E exp E calc ΔE
1S0 A1 (0) 47[thin space (1/6-em)]301.2
3P2 E3 (±1) 22[thin space (1/6-em)]328.0 22[thin space (1/6-em)]332.7 +4.7
E2 (±2) 22[thin space (1/6-em)]285.0 22[thin space (1/6-em)]255.9 −29.1
A1 (0) 22[thin space (1/6-em)]222.9 22[thin space (1/6-em)]261.1 +38.2
1I6 B1 + B2 (±4) 22[thin space (1/6-em)]052.7
E1 (±5) 21[thin space (1/6-em)]978.1
E1 (±3) 21[thin space (1/6-em)]845.1
E2 (±2) 21[thin space (1/6-em)]604.8
E3 (±1) 21[thin space (1/6-em)]431.6
E2 (±6) 21[thin space (1/6-em)]399.0
A1 (0) 21[thin space (1/6-em)]369.2
3P1 E3 (±1) 21[thin space (1/6-em)]140.7 21[thin space (1/6-em)]121.2 −19.5
A2 (0) 21[thin space (1/6-em)]084.3
3P0 A1 (0) 20[thin space (1/6-em)]527.6 20[thin space (1/6-em)]534.1 +6.5
1D2 E3 (±1) 17[thin space (1/6-em)]084.9 17[thin space (1/6-em)]074.9 −10.0
E2 (±2) 16[thin space (1/6-em)]794.8 16[thin space (1/6-em)]788.3 −6.5
A1 (0) 16[thin space (1/6-em)]575.6 16[thin space (1/6-em)]590.0 +14.4
1G4 A1 (0) 10[thin space (1/6-em)]221.1
B1 + B2 (±4) 10[thin space (1/6-em)]097.1
E3 (±1) 10[thin space (1/6-em)]047.7
E2 (±2) 9731.9
E1 (±3) 9703.4
3F4 A1 (0) 7136.3 7140.8 +4.5
B1 + B2 (±4) 7086.5
E3 (±1) 7073.2 7067.9 −5.3
E2 (±2) 6894.6 6879.3 −15.3
E1 (±3) 6849.9
3F3 A2 (0) 6581.3 6552.2 −29.1
E3 (±1) 6520.2 6501.9 −18.3
E2 (±2) 6480.7 6497.3 +16.6
E1 (±3) 6486.9
3F2 A1 (0) 5171.2 5178.6 +7.4
E2 (±2) 5092.4 5119.0 +26.6
E3 (±1) 5090.5 5088.2 −2.3
3H6 E2 (±6) 4894.1 4886.0 −8.1
A1 (0) 4662.8
E3 (±1) 4652.4
E2 (±2) 4587.0 4599.8 +12.8
E1 (±3) 4486.6
E1 (±5) 4421.4
B1 + B2 (±4) 4358.5
3H5 E1 (±5) 2544.9
A2 (0) 2475.9
E3 (±1) 2417.8
E2 (±2) 2336.7
B1 + B2 (±4) 2225.2
E1 (±3) 2216.5
3H4 B1 + B2 (±4) 422.7
A1 (0) 371.9
E3 (±1) 323.9
E2 (±2) 142.8
E1 (±3) 0 −5.2 −5.2


When performing this analysis, we want to emphasize caution in interpretation of MCD/MLD signs in the presence of saturation because MCD and MLD features are able to vary in both strength and sign as a function of field and temperature. If analyzing a cryogenic MCD spectrum collected at strong field, it is crucial to ensure that the sign of the MCD feature is the same at weak fields. For our MCD analysis, we have generally done so by estimating the derivative of MCD intensity with respect to field at zero field, (∂ΔεMCD/∂B)|B=0. For our MLD analysis, it was not as easy to estimate second derivatives at weak field, so we have collected spectra at a large number of weak and intermediate field strengths to ensure no flips in sign were apparent.

3.3 Crystal field splittings

The determination of the identities of these transitions allowed us to fit the electronic structure of 1·Pr to a D4d Hamiltonian Ĥ = Ĥatom + ĤCF using eqn (7) and (9). Fitting was done in a stepwise manner, gradually adding increasing numbers of off-diagonal matrix elements to the Hamiltonian (see SI Section S4.3) until we arrived at the parameters listed in Table 3. Comparison between the experimental and calculated values in Table 2 shows close agreement, generally falling within a few dozen wavenumbers of the experimental value. Most notably, our fitting procedure yields entirely experimentally-determined wavefunctions for the states of 1·Pr. This is a significant achievement, as the wavefunctions are rich with information about the system that is valuable in the understanding and optimization of optical and magnetic properties. It is also worth emphasizing that these wavefunctions were obtained without need for computational methods like DFT or multireference calculations.
Table 3 Fitted parameters from D4d modela
Parameter Atomicb 1·Pr
a All values in cm−1 and parentheses show one standard uncertainty in the final digits. b Values were converted from the orthogonal convention in ref. 31 using definitions in ref. 63. c Fixed to the indicated value taken from aqueous Pr(III).64 d Ratios were fixed using the values from Carnall, which were informed from Hartree–Fock calculations: M(0)[thin space (1/6-em)]:[thin space (1/6-em)]M(2)[thin space (1/6-em)]:[thin space (1/6-em)]M(4) was taken as 1[thin space (1/6-em)]:[thin space (1/6-em)]0.56[thin space (1/6-em)]:[thin space (1/6-em)]0.31 and P(2)[thin space (1/6-em)]:[thin space (1/6-em)]P(4)[thin space (1/6-em)]:[thin space (1/6-em)]P(6) was taken as 1[thin space (1/6-em)]:[thin space (1/6-em)]0.5[thin space (1/6-em)]:[thin space (1/6-em)]0.1.65
E avg 10[thin space (1/6-em)]201(40) 10[thin space (1/6-em)]109(13)
F (2) 71[thin space (1/6-em)]761(211) 68[thin space (1/6-em)]819(180)
F (4) 51[thin space (1/6-em)]721(558) 50[thin space (1/6-em)]926(503)
F (6) 33[thin space (1/6-em)]675(629) 33[thin space (1/6-em)]930(289)
α 24.04(5) 27.4(1.3)
β −626(5) −873(65)
γ 1476(238) 1343c
ζ 763.025(266) 744(9)
M (0) 1.663(61) 0.0(1.6)d
P (2) 235(6) 409(149)d
B (2)0   −109(38)
B (4)0   −1927(111)
B (6)0   424(287)


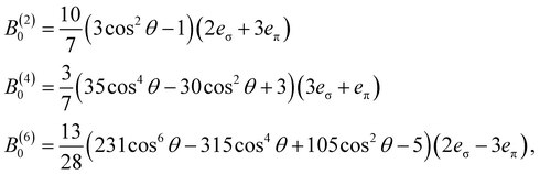
Our best-fit parameters also provided useful information about the molecular geometry in solution. The AOM was used to correlate the B(k)q CF parameters with metal–ligand interaction strengths and the geometry of the ligands about the metal.66–68 If we assume cylindrically symmetric π-type interactions for each Pr–O bond, a D4d arrangement gives the following equations for B(k)q parameters:

 
image file: d5sc05890b-t52.tif(10)
where θ is the angle from the fourfold (z) axis to the O atoms of the POM ligands, eσ is the strength of the σ-type interaction, and eπ is the individual strength of each π-type interaction. Using an average angle of θ = 55° from the crystal structure allows fitting of eσ = 421(28) cm−1 and eπ = 198(48) cm−1. When the angle θ is allowed to vary, it is found that the best-fit B(k)q values correspond to an angle of θ = 55.8(4)° and strengths of eσ = 431(28) cm−1 and eπ = 211(44) cm−1. The closeness between this fitted θ value and the crystallographic one shows that 1·Pr retains its pseudo-D4d geometry in solution.

3.4 Magnetic saturation behavior

A natural question arises whether 1·Pr should truly be treated as D4d in symmetry, or whether its twisting angle causes appreciable changes in electronic structure. Variable temperature variable field (VTVH) MCD analysis gives us insight. A truly D4d system with its E1 (MJ = ±3) levels lowest should experience magnetic saturation with an effective g value of geff = 3× (4/5) = 12/5 (or 2.4), where 4/5 is the Landé g value for the 3H4 GS. Structural distortions away from ideal symmetry will cause deviations in the observed g value, and fitting a saturation curve to the image file: d5sc05890b-t53.tif intensity of the 3P0 at 1.7 K shows a decreased value of geff = 1.79(5). Clearly, the average molecule of 1·Pr in solution has some degree of distortion. There are many ways that the molecule could distort in solution, but the most obvious distortion from the crystal structure is a change in the twist angle ϕ between POM ligands. Twisting to the angle in the structure (ϕ = 40°) causes a D4dD4 descent in symmetry, mixing the MJ = ±3 levels with the MJ = ∓1 levels and lowering the geff value. This twisting also splits the low-lying E2 state into image file: d5sc05890b-t54.tif and image file: d5sc05890b-t55.tif states (Fig. 3c).

The VTVH MCD data show nesting, symptomatic of a low-lying ES (Fig. 6). We were able to model the VTVH MCD saturation curves through construction of an effective spin Hamiltonian,36–39 giving geff = 2.34(3) and the presence of the low-lying |B1〉 ES at E = 92(4) cm−1. This geff value could be obtained through introduction of B(4)±4 and B(6)±4 terms in eqn (9) (see SI Section S2.2) and would correspond to a twist angle of 37(2)° according to the AOM (Fig. 3c). At this twisting angle, the GS would be 97% |MJ = ±3〉 in composition, suggesting the D4d CF model is adequate for modeling the ES CF splitting of 1·Pr. This angle is also remarkably similar to the one in the crystal structure, again underscoring the power of the AOM in providing geometric insight into f-block elements in solution.


image file: d5sc05890b-f6.tif
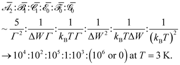
Fig. 6 Nesting of the VTVH MCD saturation curves indicate the presence of a low-lying ES. The best-fit curves from an effective spin Hamiltonian fitting procedure are indicated, and they correspond to a low-lying ES at 92(4) K.

It is interesting to note that a different set of CF parameters is obtained by fitting T vs. χmT and B vs. M data from vibrating sample magnetometry (VSM) of 1·Pr (Fig. 7a and b) than those obtained through fitting of ES splittings from MCD/MLD spectra. Fitting the VSM data using EasySpin69 gave B(2)0 = −393, B(4)0 = −1373, B(6)0 = −1154, B(4)±4 = −344, and B(6)±4 = −1054 cm−1. This set of B(k)0 CF parameters is similar in sign and magnitude to those in Table 3, but it deviates more than three standard uncertainties from the ES MCD/MLD fit. The differences between GS and ES fits highlight an important albeit inconvenient fact of f-block CF splittings: CF parameters are known to vary from state to state.12–15 If one is interested in the ES photophysical properties of a molecule, joint MCD/MLD analysis of ES splittings can be expected to provide more useful insight into CF interactions. If instead one is interested in the magnetic response of a molecule, GS magnetometry through VTVH MCD saturation curves, VSM, or SQuID (superconducting quantum interference device) measurements are likely to be more relevant.


image file: d5sc05890b-f7.tif
Fig. 7 Vibrating sample magnetometry was used to measure the (a) T vs. χmT and (b) B vs. M response of 1·Pr. Fitting these curves gave slightly different CF parameters than fitting the ES CF splittings. Preliminary VTVH saturation curves of image file: d5sc05890b-t56.tif MLD intensity for the 3H41D2 feature are also shown for two of its transitions (c) and (d).

Despite the differences between ES and GS fits, the two GS magnetometry techniques agree closely: the VSM CF parameters predict the lowest-lying excited state to be at E = 89 cm−1, which is within one standard uncertainty of our effective Hamiltonian treatment of VTVH MCD saturation curves. More accurate insight would have to come from higher resolution techniques than magnetometry, such as far-infrared magnetospectroscopy or high-field electron paramagnetic resonance spectroscopy. For any interested readers, we also include two plots of VTVH MLD data for the 3H41D2 transition (Fig. 7c and d). We have not incorporated these data in our fitting routines, but VTVH MLD measurements clearly hold promise for future studies of MLD magnetometry.

4 Conclusions

This work has demonstrated the power of UV-vis-NIR MLD spectroscopy as a complement to MCD spectroscopy for studying f-block electronic structure. Together, these two magneto-optical techniques have provided conclusive assignments of much of the fine structure observed for 1·Pr and allowed fitting of the transition energies with the Hamiltonian Ĥ = Ĥatom + ĤCF. Our fit gave detailed structural information about the geometry of 1·Pr in solution and, perhaps most excitingly, yielded wavefunctions derived strictly from experimental observables. Because such 4fN wavefunctions determine the molecular optical and magnetic properties, experimentally derived wavefunctions are rich with information that is valuable in future tuning of f-block molecular materials and nanomaterials.70

We have also highlighted the deep relation between molecular symmetry and these magneto-optical spectroscopies. Symmetry is known to control many desirable properties like circularly polarized luminescence (CPL),71 magnetic CPL,34,72 magnetochiral dichroism,73 spin–electric coupling,74 and ultranarrow optical transitions;75 thus, the utility of symmetry-based insight into electronic structure from joint MCD–MLD analysis is difficult to overstate. Our lab is continuing to explore the implementation of MLD spectroscopy in the understanding of f-block complexes, both moving downwards into the actinides and rightwards into ions with higher fN counts, especially Kramers systems. Many research groups with MCD spectroscopy instrumentation may already be equipped to acquire MLD spectra, and we hope this work encourages broader adoption of this information-dense technique.

Author contributions

WJT conceived the project. IER and KO synthesized 1·Pr, and KO developed its final preparative route. GA and XG collected vibrating sample magnetometry data. SMG collected most of the MCD, MLD, and absorption spectra. WJT and SMG performed all analysis and wrote the manuscript.

Conflicts of interest

There are no conflicts of interest to declare.

Data availability

The absorption, MCD, and MLD data supporting this article have been included as part of the supplementary information (SI). Supplementary information is available. See DOI: https://doi.org/10.1039/d5sc05890b.

CCDC 2457433 contains the supplementary crystallographic data for this paper.76

Acknowledgements

Thanks to Carolina Fernandes for collection of the crystal structure of 1·Pr, and to Dr James Peterson for helpful suggestions in the practical acquisition of MLD data. WJT thanks the University of Pittsburgh, the Spectroscopy Society of Pittsburgh, and the Pitt Momentum Funds for funding, and SMG thanks funding by OUSD/R&E (The Under Secretary of Defense-Research and Engineering), National Defense Education Program (NDEP)/BA-1, Basic Research in the form of a SMART scholarship. This research was supported in part by the University of Pittsburgh Center for Research Computing and Data (RRID:SCR_022735) through the resources provided. Specifically, this work used the H2P cluster, which is supported by NSF award number OAC-2117681. The translating magnet stand used to support the MCD/MLD magnet was constructed by the University of Pittsburgh Dietrich School Machine Shop Core Facility. Work performed in the University of Pittsburgh Dietrich School Machine Shop Core Facility (RRID:SCR_023720) and services and instruments used in this project were graciously supported, in part, by the University of Pittsburgh.

References

  1. D. Serrano, S. K. Kuppusamy, B. Heinrich, O. Fuhr, D. Hunger, M. Ruben and P. Goldner, Nature, 2022, 603, 241–246 CrossRef CAS PubMed.
  2. F. Zinna and L. D. Bari, Chirality, 2015, 27, 1–13 CrossRef CAS PubMed.
  3. K. Taniguchi, M. Nishio, S. Kishiue, P.-J. Huang, S. Kimura and H. Miyasaka, Phys. Rev. Mater., 2019, 3, 045202 CrossRef CAS.
  4. J. Liu, J. Mrozek, A. Ullah, Y. Duan, J. J. Baldoví, E. Coronado, A. Gaita-Ariño and A. Ardavan, Quantum coherent spin−electric control in a molecular nanomagnet at clock transitions, Nat. Phys., 2021, 17(11), 1205–1209 Search PubMed.
  5. N. Mavragani, D. A. Gálico, A. A. Kitos and M. Murugesu, J. Am. Chem. Soc., 2025, 147, 1387–1391 CrossRef CAS PubMed.
  6. C.-K. Duan and P. A. Tanner, J. Phys. Chem. A, 2010, 114, 6055–6062 CrossRef CAS PubMed.
  7. J.-L. Liu, Y.-C. Chen and M.-L. Tong, Chem. Soc. Rev., 2018, 47, 2431–2453 RSC.
  8. J. E. McPeak, S. S. Eaton and G. R. Eaton, in Methods in Enzymology, ed. J. A. Cotruvo, Academic Press, 2021, vol. 651 of Rare-Earth Element Biochemistry: Characterization and Applications of Lanthanide-Binding Biomolecules, pp. 63–101 Search PubMed.
  9. J. G. C. Kragskow, J. Marbey, C. D. Buch, J. Nehrkorn, M. Ozerov, S. Piligkos, S. Hill and N. F. Chilton, Nat. Commun., 2022, 13, 825 CrossRef CAS PubMed.
  10. M. A. Dunstan, R. A. Mole and C. Boskovic, Eur. J. Inorg. Chem., 2019, 2019, 1090–1105 CrossRef CAS.
  11. M. Slota, S.-D. Jiang, E. Heintze, Y. Rechkemmer, M. Dressel, J. van Slageren and L. Bogani, Phys. Rev. B, 2019, 99, 134410 CrossRef CAS.
  12. B. R. Judd, Phys. Rev. Lett., 1977, 39, 242–244 CrossRef CAS.
  13. B. R. Judd, J. Chem. Phys., 1977, 66, 3163–3170 CrossRef CAS.
  14. M. F. Reid, J. Chem. Phys., 1987, 87, 2875–2884 CrossRef CAS.
  15. C. K. Jayasankar, F. S. Richardson and M. F. Reid, J. Less-Common Met., 1989, 148, 289–296 CrossRef.
  16. J. Peterson and E. L. Bominaar, Anal. Chem., 2002, 74, 527A–533A CrossRef CAS PubMed.
  17. C. Görller-Walrand and L. Fluyt, in Handbook on the Physics and Chemistry of Rare Earths, Elsevier, 2010, vol. 40, pp. 1–107 Search PubMed.
  18. J. C. Deaton, M. S. Gebhard and E. I. Solomon, Inorg. Chem., 1989, 28, 877–889 CrossRef CAS.
  19. Other than ref. 20–22, the only other molecular lanthanide MLD spectra that we know of are unpublished results shown in Chapter 9 of the textbook ‘A Practical Guide to Magnetic Circular Dichroism Spectroscopy’ by Dr W. R. Mason; see ref. 35.
  20. B. E. Argyle, J. C. Suits and M. J. Freiser, Phys. Rev. Lett., 1965, 15, 822–825 CrossRef CAS.
  21. A. C. Boccara and N. Moreau, Phys. Status Solidi B, 1971, 45, 573–581 CrossRef CAS.
  22. A. C. Boccara, J. Ferre, B. Briat, M. Billardon and J. P. Badoz, J. Chem. Phys., 1969, 50, 2716–2718 CrossRef CAS.
  23. J. Rivoal, B. Briat and M. Vala, Mol. Phys., 1979, 38, 1829–1854 CrossRef CAS.
  24. J. Peterson, L. L. Pearce and E. L. Bominaar, J. Am. Chem. Soc., 1999, 121, 5972–5980 CrossRef CAS.
  25. E. L. Bominaar and J. Peterson, J. Chem. Phys., 1999, 111, 7512–7518 CrossRef CAS.
  26. L. L. Pearce, E. L. Bominaar and J. Peterson, Biochem. Biophys. Res. Commun., 2002, 297, 220–223 CrossRef CAS.
  27. J. Peterson, T. J. Collins, E. Münck and E. L. Bominaar, Chem. Phys. Lett., 2002, 365, 164–169 CrossRef CAS.
  28. M. P. Hehlen, M. G. Brik and K. W. Krämer, J. Lumin., 2013, 136, 221–239 CrossRef CAS.
  29. C. Görller-Walrand and K. Binnemans, in Handbook on the Physics and Chemistry of Rare Earths, Elsevier, 1998, vol. 25, pp. 101–264 Search PubMed.
  30. J. Sugar, J. Opt. Soc. Am., 1965, 55, 1058–1059 CrossRef.
  31. J.-F. Wyart, A. Meftah, J. Sinzelle, W.-Ü. L. Tchang-Brillet, N. Spector and B. R. Judd, J. Phys. B: At., Mol. Opt. Phys., 2008, 41, 085001 CrossRef.
  32. G. S. Ofelt, J. Chem. Phys., 1962, 37, 511–520 CrossRef CAS.
  33. B. R. Judd, Phys. Rev., 1962, 127, 750–761 CrossRef CAS.
  34. S. B. Piepho and P. N. Schatz, Group Theory in Spectroscopy with Applications to Magnetic Circular Dichroism, John Wiley & Sons, New York, 1983 Search PubMed.
  35. W. R. Mason, A Practical Guide to Magnetic Circular Dichroism Spectroscopy, John Wiley & Sons, Inc., Hoboken, NJ, 1st edn, 2007 Search PubMed.
  36. F. Neese and E. I. Solomon, Inorg. Chem., 1999, 38, 1847–1865 CrossRef CAS PubMed.
  37. V. S. Oganesyan, S. J. George, M. R. Cheesman and A. J. Thomson, J. Chem. Phys., 1999, 110, 762–777 CrossRef CAS.
  38. V. S. Oganesyan and A. J. Thomson, J. Chem. Phys., 2000, 113, 5003–5017 CrossRef CAS.
  39. W. J. Transue, R. A. Snyder, J. D. Caranto, D. M. J. Kurtz and E. I. Solomon, Inorg. Chem., 2022, 61, 16520–16527 CrossRef CAS PubMed.
  40. M. Kreglewski and M. Vala, J. Chem. Phys., 1981, 74, 5411–5419 CrossRef CAS.
  41. E. L. Bominaar, C. Achim and J. Peterson, J. Chem. Phys., 1998, 109, 942–950 CrossRef CAS.
  42. S. L. Altmann and P. Herzig, Point-Group Theory Tables, University of Vienna PHAIDRA, Wien, 2nd edn, 2011 Search PubMed.
  43. C. Görller-Walrand and L. Fluyt-Adriaens, J. Less-Common Met., 1985, 112, 175–191 CrossRef.
  44. B. G. Wybourne, Spectroscopic Properties of the Rare Earths, John Wiley & Sons (Interscience Publishers), New York, 1965 Search PubMed.
  45. O. Duros, A. Juhin, H. Elnaggar, G. S. Chiuzbăian and C. Brouder, J. Phys. A: Math. Theor., 2024, 58, 025207 CrossRef.
  46. G. Liu and B. Jacquier, Spectroscopic Properties of the Rare Earths in Optical Materials, Springer-Verlag, 2005 Search PubMed.
  47. J. Sievers, Z. Phys. B: Condens. Matter, 1982, 45, 289–296 CrossRef CAS.
  48. J. D. Rinehart and J. R. Long, Chem. Sci., 2011, 2, 2078–2085 RSC.
  49. C. M. Granadeiro, D. Julião, S. O. Ribeiro, L. Cunha-Silva and S. S. Balula, Coord. Chem. Rev., 2023, 476, 214914 CrossRef CAS.
  50. S. Giménez-Santamarina, S. Cardona-Serra, J. M. Clemente-Juan, A. Gaita-Ariño and E. Coronado, Chem. Sci., 2020, 11, 10718–10728 RSC.
  51. Z.-X. Yang, F. Gong, D. Lin and Y. Huo, Coord. Chem. Rev., 2023, 492, 215205 CrossRef CAS.
  52. S. She, C. Gao, K. Chen, A. Bayaguud, Y. Huang, B.-W. Wang, S. Gao and Y. Wei, Inorg. Chem., 2018, 57, 963–969 CrossRef CAS PubMed.
  53. P. Gouzerh, Y. Jeannin, A. Proust and F. Robert, Angew. Chem., Int. Ed. Engl., 1989, 28, 1363–1364 CrossRef.
  54. A. Proust, P. Gouzerh and F. Robert, Inorg. Chem., 1993, 32, 5291–5298 CrossRef CAS.
  55. G. H. Dieke and H. M. Crosswhite, Appl. Opt., 1963, 2, 675–686 CrossRef CAS.
  56. F. Neese, Wiley Interdiscip. Rev.: Comput. Mol. Sci., 2018, 8, e1327 Search PubMed.
  57. D. Ganyushin and F. Neese, J. Chem. Phys., 2006, 125, 024103 CrossRef PubMed.
  58. G. L. Stoychev, A. A. Auer and F. Neese, J. Chem. Theory Comput., 2017, 13, 554–562 CrossRef CAS PubMed.
  59. C. Kollmar, K. Sivalingam, B. Helmich-Paris, C. Angeli and F. Neese, J. Comput. Chem., 2019, 40, 1463–1470 CrossRef CAS.
  60. L. Lang and F. Neese, J. Chem. Phys., 2019, 150, 104104 CrossRef PubMed.
  61. C. Kollmar, K. Sivalingam, Y. Guo and F. Neese, J. Chem. Phys., 2021, 155, 234104 CrossRef CAS.
  62. Y. Guo, K. Sivalingam and F. Neese, J. Chem. Phys., 2021, 154, 214111 CrossRef CAS PubMed.
  63. B. R. Judd and H. Crosswhite, J. Opt. Soc. Am. B, 1984, 1, 255–260 CrossRef CAS.
  64. W. T. Carnall, in Handbook on the Physics and Chemistry of Rare Earths, Elsevier, 1979, vol. 3 of Non-Metallic Compounds - I, pp. 171–208 Search PubMed.
  65. W. T. Carnall, J. Chem. Phys., 1992, 96, 8713–8726 CrossRef CAS.
  66. M. Suta, F. Cimpoesu and W. Urland, Coord. Chem. Rev., 2021, 441, 213981 CrossRef CAS.
  67. H. Ramanantoanina, W. Urland, F. Cimpoesu and C. Daul, Phys. Chem. Chem. Phys., 2014, 16, 12282–12290 RSC.
  68. D. J. Newman and B. Ng, Rep. Prog. Phys., 1989, 52, 699 CrossRef CAS.
  69. S. Stoll and A. Schweiger, J. Magn. Reson., 2006, 178, 42–55 CrossRef CAS PubMed.
  70. Y. Luo, Z. Chen, S. Wen, Q. Han, L. Fu, L. Yan, D. Jin, J.-C. G. Bünzli and G. Bao, Coord. Chem. Rev., 2022, 469, 214653 CrossRef CAS.
  71. D. Thakur and S. Vaidyanathan, J. Mater. Chem. C, 2025, 13, 9410–9452 RSC.
  72. J. P. Riehl and F. S. Richardson, J. Chem. Phys., 1977, 66, 1988–1998 CrossRef CAS.
  73. L. Cahya Adi, O. G. Willis, A. Gabbani, G. L. J. A. Rikken, L. Di Bari, C. Train, F. Pineider, F. Zinna and M. Atzori, Angew. Chem., Int. Ed., 2024, 63, e202412521 CrossRef CAS PubMed.
  74. W. T. Morrillo, H. I. J. Cumming, A. Mattioni, J. K. Staab and N. F. Chilton, J. Am. Chem. Soc., 2024, 146, 25841–25851 CrossRef CAS PubMed.
  75. B. Y. Li, C. E. Dickerson, A. J. Shin, C. Zhao, Y. Shen, Y. He, P. L. Diaconescu, A. N. Alexandrova and J. R. Caram, Chem. Sci., 2024, 15, 12451–12458 RSC.
  76. CCDC 2457433: Experimental Crystal Structure Determination, 2025,  DOI:10.5517/ccdc.csd.cc2nh51d.

This journal is © The Royal Society of Chemistry 2026
Click here to see how this site uses Cookies. View our privacy policy here.