DOI:
10.1039/D5RA08259E
(Paper)
RSC Adv., 2026,
16, 7659-7672
Green and sustainable catalyst-free synthesis of 2-benzylidene-indan-1,3-dione derivatives using concentrated solar radiation in polyethylene glycol
Received
27th October 2025
, Accepted 4th January 2026
First published on 5th February 2026
Abstract
The increasing demand for sustainable and environmentally friendly synthetic methodologies has driven the development of catalyst-free and energy-efficient organic transformations. In this study, we report a green and practical protocol for the synthesis of 2-benzylidene-indan-1,3-dione (BZI) derivatives via Knoevenagel condensation of aromatic aldehydes and 1H-indene-1,3(2H)-dione under concentrated solar radiation (CSR), a clean, renewable, and abundant energy source. The reactions were carried out in polyethylene glycol-400 (PEG-400), a biodegradable, non-volatile, and recyclable solvent, under mild, catalyst- and additive-free conditions. The method affords good to excellent isolated yields (74–98%) in significantly reduced reaction times, eliminating the use of hazardous reagents and minimizing waste generation. Mechanistic investigations using 2,2-diphenyl-1-picrylhydrazyl (DPPH) and 2,2,6,6-tetramethylpiperidin-1-yl)oxyl (TEMPO), two well-known radical scavengers, confirmed a non-radical, photo-thermal activation pathway driven by synergistic effects of the UV and IR components of solar radiation and the solvation properties of PEG-400. Green chemistry metrics were calculated for the model reaction, revealing an Atom Economy of 85.4%, Carbon Efficiency of 100%, low E-factor (0.55), and Reaction Mass Efficiency (RME) of 70.3%. This simple, cost-effective, and eco-friendly protocol aligns well with the principles of green chemistry, presenting a scalable alternative for the sustainable synthesis of BZI derivatives under environmentally benign conditions.
1. Introduction
In recent years, green chemistry has evolved into a foundational framework in contemporary synthetic chemistry, advocating the development of environmentally benign, energy-efficient, and atom-economical processes. Central to this discipline is the design of chemical reactions that avoid the use and generation of toxic substances—both in reactants and solvents—while promoting safer alternatives. Key principles include minimizing waste, improving reaction selectivity and efficiency, lowering energy requirements, and utilizing renewable feedstocks or benign reaction media. These priorities have become particularly significant in response to the growing demand for sustainable technologies in both academic research and industrial applications.1,2 The well-recognized environmental and health risks associated with conventional organic solvents, along with difficulties in catalyst separation and recyclability, have spurred the development of greener, scalable, and more sustainable synthetic protocols. These methodologies are in accordance with the fundamental principles of green chemistry, emphasizing waste minimization, the avoidance of toxic reagents, and the achievement of high product yields under milder conditions and shorter reaction times.3,4 The accelerating global population growth and industrial expansion have led to a marked increase in the consumption of non-renewable resources, especially fossil fuels, resulting in elevated emissions of hazardous pollutants, including greenhouse gases. These emissions pose serious risks to ecosystems and public health. Confronting this challenge requires a paradigm shift toward the development and implementation of renewable, low-impact alternatives in chemical synthesis and industrial processes to reduce environmental burdens and support long-term ecological sustainability.5,6 The use of renewable energy sources that are both environmentally benign and economically viable is crucial for the advancement of sustainable chemical processes.7 To achieve this goal, various energy-efficient techniques such as microwave irradiation (MW), ultrasonication, mechanochemistry, and ultraviolet (UV) irradiation have been extensively investigated and applied.8,9 Nevertheless, the dependence on costly specialized equipment and skilled personnel poses significant challenges to the scalability and sustainable implementation of these techniques. Therefore, there is an urgent need to develop practical, environmentally benign, and economically feasible alternatives.
Recent studies in sustainable organic synthesis have emphasized the use of clean energy, such as visible light and electricity, to drive chemical transformations under mild and eco-friendly conditions. Approaches including electrified high-temperature methods, photoelectrocatalysis, and visible-light photoredox catalysis enable efficient, low-carbon, and selective functionalizations.10–12 These advances highlight the value of integrating renewable energy into synthesis, providing context for the solar-driven transformations explored in this study.
2-Benzylidene-indan-1,3-dione (BZI) derivatives have attracted significant interest due to their diverse biological activities and potential applications in the synthesis of pharmacologically relevant compounds.13 These compounds demonstrate notable antioxidant, anticancer, antibacterial, antiviral, antifungal, and enzyme inhibitory properties, particularly against lipoxygenase, tyrosinase, and urease enzymes.14–20 Considering their promising therapeutic profiles, the development of straightforward, cost-effective, and environmentally benign synthetic methods for BZI derivatives remains a compelling objective.
Solar energy is widely acknowledged as one of the most sustainable, abundant, and readily available energy sources, offering a clean, cost-effective, and environmentally benign alternative to conventional fossil fuels.21 As the Earth's primary and inexhaustible energy input, solar radiation delivers an estimated intensity of approximately 120 petawatts at the surface, sufficient to meet global energy demands for over two decades.22,23 Solar radiation encompasses UV, visible, and infrared (IR) photons, covering wavelengths from about 100 to 1
000
000 nm. While IR radiation mainly contributes to thermal energy, UV and visible photons are integral to photoexcitation processes driving diverse chemical transformations. Despite its immense potential, nearly 1.3 billion people—around 13% of the world's population—lack access to electricity, restricting their ability to fulfill basic needs. In response, solar-driven chemical synthesis methods have been developed as sustainable alternatives to conventional electricity-dependent processes.24,25 Sunlight concentrators, such as solar reflectors, have recently been developed to enable high-temperature chemical transformations driven exclusively by focused solar irradiation.26 A variety of organic reactions have been successfully conducted under concentrated solar radiation (CSR), including the synthesis of N-phenylphthalimide,24 3-alkylated indole derivatives,25 dihydropyridines,27 Heck coupling reactions,28 alcohol oxidations,29 and benzylic brominations.30
Various synthetic methods have been reported for the preparation of BZI derivatives, employing catalysts such as L-proline,31 piperidine,15 and zirconyl chloride octahydrate,17 in both polar and non-polar solvents including methanol,31 dichloromethane,32 and toluene.33 However, many of these protocols suffer from drawbacks including the use of expensive or toxic catalysts, volatile and hazardous solvents, and harsh reaction conditions. Accordingly, the development of novel catalyst-free synthetic approaches utilizing green solvents has garnered significant attention.34–36
Polyethylene glycol (PEG) has emerged as an attractive, environmentally benign, and cost-effective solvent in organic synthesis. Its favorable properties—including biocompatibility, low toxicity, affordability, recyclability, biodegradability, and excellent thermal stability—have established PEG as a preferred reaction medium for various green transformations. Notably, numerous carbon–carbon bond-forming reactions, such as Heck, Stille, Suzuki, Sonogashira, and Hiyama couplings, have been successfully conducted in PEG-based systems.37–45
In this context, the present study introduces a novel, sustainable, and catalyst-free protocol for the synthesis of BZI derivatives via a Knoevenagel condensation reaction driven by CSR. The reaction is carried out in polyethylene glycol 400 (PEG-400), a biodegradable, recyclable, and non-toxic solvent, under green and additive-free conditions. This environmentally benign method avoids the use of hazardous reagents and expensive catalysts, providing a simple, low-cost, and efficient strategy for C
C bond formation. As illustrated in Fig. 1, the proposed approach is in strong alignment with the key principles of green chemistry, offering high atom economy, operational simplicity, and promising scalability for sustainable organic synthesis.
 |
| | Fig. 1 Catalyst-free synthesis of BZI derivatives in PEG-400 under CSR. | |
2. Material and methods
2.1 General
All chemicals and solvents were purchased from Merck (Germany) and used without further purification. Reaction progress was monitored by thin-layer chromatography (TLC) on aluminum-backed silica gel 60 F254 plates under UV light. Melting points were determined using the capillary method on an Electrothermal 9200 apparatus and are reported uncorrected. Infrared spectra (FT-IR) were recorded on a Thermo Scientific Nicolet iS10 spectrometer using KBr pellets, and absorption bands are expressed in cm−1. 1H NMR spectra were acquired on a Bruker Avance DPX 250 MHz spectrometer in DMSO-d6 with tetramethylsilane (TMS) as the internal reference. Solar irradiance (W m−2) was measured using a calibrated TES Solar Power Meter (Model 1333, Taiwan), and the reaction temperatures were continuously monitored with a digital infrared thermometer (Non Per Umani; −50 to 550 °C). All solar-assisted reactions were conducted under direct sunlight between 10:00 AM and 12:30 PM in Ahvaz, Iran, corresponding to the period of maximum solar intensity. Experiments were carried out outdoors at the Faculty of Science, Shahid Chamran University of Ahvaz, Khuzestan, Iran (31°00′30″ N, 48°39′57″ E; 20 m above sea level).
2.2 CSR assembly
The synthesis of BZI derivatives was carried out using a custom-designed CSR system, as shown in Fig. 2. The setup featured an 80 cm parabolic dish reflector (PDR) covered with 4 × 4 cm square mirrors coated with mercury amalgam to enhance reflectivity. Mounted on a rhombus jack with caster wheels, the system allowed dual-axis solar tracking and precise focusing. The turret assembly (Fig. 3) included a magnetic stirrer, aluminum platform, and adjustable clamps for stable positioning of the reaction vessel. The apparatus could rotate 180° to maintain continuous solar alignment and maximize energy capture during the reaction.
 |
| | Fig. 2 CSR assembly used for the synthesis of BZI derivatives. | |
 |
| | Fig. 3 Components of the CSR system: (a) reflector and (b) turret used for synthesizing BZI derivatives. | |
2.3 CSR-promoted synthesis of BZI derivatives
In a typical procedure, a round-bottom flask containing 1.0 mmol of 1H-Indene-1,3(2H)-dione, 1.2 mmol of the respective aromatic aldehyde, and 2 mL of PEG-400 was placed on a magnetic stirrer at the focal point of the parabolic dish reflector. The reaction mixture was stirred under concentrated solar radiation until completion, as monitored by thin-layer chromatography (TLC). Upon completion, the mixture was allowed to cool, and 10 mL of distilled water was added to precipitate the product. The solid was collected by filtration and purified by recrystallization, affording the desired 2-benzylidene-indan-1,3-dione derivatives in isolated yields ranging from 74% to 98% (Table 4). Reaction temperatures, monitored by a digital infrared thermometer, ranged from 95 to 160 °C, while ambient temperatures varied between 33 and 42 °C. Peak solar irradiation intensity, measured using a calibrated solar power meter, was recorded between 850 and 1000 W m−2.
2.4 Green chemistry metrics
To evaluate the environmental efficiency of the CSR-assisted synthesis of 2-benzylidene-indan-1,3-dione derivatives, several green chemistry metrics were calculated, including Atom Economy (AE), E-factor, Carbon Efficiency (CE) and Reaction Mass Efficiency (RME).43
Atom Economy (AE) was calculated using the formula:
E-factor, which quantifies the amount of waste generated per unit mass of product, was calculated as:
Reaction Mass Efficiency (RME), reflecting the proportion of reactant mass converted into the desired product, was calculated by:
Carbon Efficiency (CE%) was also calculated to assess the retention of carbon atoms from reactants in the final product. The CE was determined using the formula:
The isolated product mass was recorded as 221.252 mg.
2.5 Selected spectra data
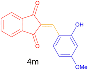
2.5.1 2-(2-hydroxy- 4-methoxybenzylidene)-2H-indene-1, 3-dione (4m). Green solid; mp: 184–185 °C: IR (ν_max/cm−1, KBr): 3331, 3099, 2932, 2833, 1719, 1678, 1603, 1578, 1481, 1388, 1246, 1222, 1148, 1099, 1024, 777, 750, 737, 626, 545, 529, 421; 1H NMR (250 MHz, DMSO–d6): δ = 10.58 (s, 1H), 8.67 (s, 1H), 7.89 (s, 5H), 7.73 (s, 1H), 6.94–6.90 (d, 1H), 3.90 (s, 3H).
2.5.2 2-(4-chlorobenzylidene)-2H-indene-1, 3-dione (4 t). Yellow solid; mp: 173–175 °C: IR (ν_max/cm−1, KBr): 3092, 3060, 1775, 1726, 1691, 1611, 1589, 1557, 1431, 1381, 1354, 1246, 1203, 1092, 991, 831, 780, 735, 531, 509, 446; 1H NMR (250 MHz, DMSO–d6): δ = 8.43–8.40 (d, 2H), 7.89 (s, 4H), 7.72 (s, 1H), 7.55–7.51 (d, 2H).
2.5.3 2-(4-aminobenzylidene)-2H-indene-1,3-dione (4x). Red solid; mp: 262–263 °C: IR (ν_max, KBr): 3331, 3099, 2932, 2833, 1719, 1678, 1603, 1578, 1481, 1388, 1246, 1222, 1148, 1099, 1024, 777, 750, 737, 626, 545, 529, 421; 1H NMR (250 MHz, DMSO–d6): δ = 8.43–8.40 (d, 1H), 7.81 (s, 2H), 7.58 (s, 5H), 6.96 (s, 1H), 6.68–6.64 (d, 2H).
3. Results and discussion
3.1 Reaction optimization and solvent effect
In response to the increasing demand for sustainable and environmentally benign synthetic methodologies, we investigated the use of CSR in combination with PEG-400 as a green, biodegradable, and catalyst-free reaction medium for the synthesis of BZI derivatives. CSR provides a dual energy input, delivering both thermal energy and UV photons, which together enable concurrent thermal and photochemical activation of the reaction.46 Additionally, the IR component of solar radiation enhances molecular vibrational energy, thereby increasing the frequency and efficacy of molecular collisions. PEG-400, characterized by its high thermal stability, low toxicity, and excellent solubilizing properties, serves not only as a benign solvent but also promotes substrate proximity through its flexible polyether chains, acting as a pseudo-catalyst.47 The synergistic interplay between CSR and PEG-400 thus facilitates a straightforward, energy-efficient, and catalyst-free approach to synthesize BZI derivatives under environmentally friendly conditions.
To optimize the reaction parameters, the condensation of 1H-indene-1,3(2H)-dione and 4-chlorobenzaldehyde in PEG-400 was selected as the model system (Table 1). A systematic comparison was conducted using various energy sources—including conventional thermal heating, MW irradiation, ultrasonic activation, and CSR—under identical catalyst-free conditions. Among these, CSR significantly outperformed other energy inputs, affording the target product in a remarkably shorter time (10 min) and with a commendable yield (81%). In contrast, conventional heating required prolonged durations (up to 150 min), and MW-assisted synthesis resulted in moderate yields. Mechanical grinding, visible light, UV irradiation (256 nm), and ambient conditions all proved insufficient to drive the reaction to completion within reasonable timeframes. The superior performance of CSR is attributed to the synergistic interaction between UV and IR components of sunlight: UV photons initiate photoexcitation of reactive species, while IR radiation enhances thermal energy input, thereby increasing molecular vibration and collision frequency. This dual activation mechanism facilitates efficient C
C bond formation and underscores the potential of CSR as a clean, sustainable, and cost-effective energy source for green organic transformations.
Table 1 Comparison of different energy sources for the synthesis of BZI by condensation of 1H-indene-1,3(2H)-dione (1 mmol) and 4-chlorobenzaldehyde (1.2 mmol) in 2 mL of solvent
| Entry |
Energy source/method |
Temperature (°C) |
Time (min) |
Irradiance/power |
Wavelength |
Yield (%) |
| 1 |
CSR |
136 |
10 |
888 W m−2 |
Natural sunlight |
81 |
| 2 |
Conventional thermal heating (85 °C) |
85 |
150 |
— |
— |
88 |
| 3 |
Conventional thermal heating (140 °C) |
140 |
80 |
— |
— |
84 |
| 4 |
MW |
100 |
15 |
1800 W |
1.22 × 108 nm |
68 |
| 5 |
Ultrasonic bath |
70 |
120 |
— |
— |
75 |
| 6 |
Grinding |
RT |
180 |
— |
— |
Incomplete reaction |
| 7 |
Visible light |
RT |
360 |
32 W |
400–700 nm |
Incomplete reaction |
| 8 |
UV (256 nm) |
RT |
360 |
32 W |
256 nm |
Incomplete reaction |
| 9 |
Room temperature |
RT |
1440 |
— |
— |
Incomplete reaction |
To further refine the reaction system, the influence of various solvents was examined under CSR irradiation (Table 2). Both polar protic and aprotic solvents were evaluated—including water, isobutanol, cyclohexanol, DMSO, DMF, PEG-300, PEG-400, and diethylene glycol. Among the tested solvents, PEG-400 demonstrated the best performance, achieving the highest yield in the shortest time (10 min, 81% yield). This enhanced efficiency can be attributed to PEG-400's high boiling point, thermal stability, and strong solvation ability, which collectively support effective reactant solubilization and energy transfer. Moreover, PEG-400 aligns with green chemistry principles due to its low toxicity, biodegradability, and recyclability, reinforcing its role as an environmentally favorable medium for sustainable synthesis.
Table 2 Effect of solvents on the catalyst-free synthesis of BZI by condensation of 1H-indene-1,3(2H)-dione (1 mmol) and 4-chlorobenzaldehyde (1.2 mmol) in 2 mL of solvent under CSR
| Entry |
Solvent |
Time (min) |
Yield (%) |
| 1 |
Water |
20 |
50 |
| 2 |
DMSO |
15 |
66 |
| 3 |
DMF |
15 |
68 |
| 4 |
Isobutanol |
15 |
70 |
| 5 |
Cyclohexanol |
20 |
77 |
| 6 |
PEG-400 |
10 |
81 |
| 7 |
PEG-300 |
15 |
62 |
| 8 |
Diethylene glycol |
30 |
56 |
3.2 Effect of solar intensity and seasonal variations
Given the inherent reliance of CSR efficiency on solar intensity, the model Knoevenagel condensation reaction was evaluated under different seasonal conditions to assess the impact of natural solar variability on reaction performance (Table 3). The data clearly demonstrate that the synthesis proceeds efficiently during spring and summer months, when high ambient temperatures and strong solar irradiance prevail. Under these favorable conditions, the reaction was completed within 10 minutes, yielding 2-benzylidene-indan-1,3-dione with 81% isolated yield. In contrast, reduced sunlight exposure in autumn (November) extended the reaction time to 15 minutes and slightly decreased the yield to 78%. Notably, under winter conditions (December), characterized by significantly lower ambient temperatures (20 °C) and minimal solar irradiance (172 W m−2), the reaction did not proceed to completion. These results validate the seasonal adaptability and limitations of CSR-based synthesis, emphasizing the importance of optimizing solar collection strategies or integrating auxiliary energy inputs during low-irradiance periods for consistent year-round performance.
Table 3 Seasonal variations in the CSR-promoted synthesis of BZI derivatives (1H-indene-1,3(2H)-dione, 1 mmol; 4-chlorobenzaldehyde, 1.2 mmol; solvent, 2 mL)
| |
31 May |
11 July |
1 November |
2 December |
| Reaction initiation time |
10 min |
10 min |
15 min |
Incomplete reaction |
| Average outside temperature |
38 °C |
41 °C |
30 °C |
20 °C |
| Outside conditions |
Sunny |
Sunny |
Partly cloudy |
Cloudy |
| Average solar irradiation (w m−2) |
887 |
940 |
675 |
172 |
| Isolated yield (%) |
81 |
81 |
78 |
0 |
Analysis of solar irradiance data (Fig. 4) reveals that a minimum solar intensity threshold of approximately 600 W m−2 is generally required to supply adequate thermal energy for efficient progression of the reaction. Solar intensities above this threshold correlate with rapid reaction initiation and high product yields under CSR conditions. In contrast, reduced irradiance—particularly under overcast skies and lower ambient temperatures typical of autumn and winter—significantly diminishes the reaction rate and overall efficiency. These findings underscore the critical influence of both solar intensity and environmental conditions on the viability of CSR-driven organic transformations, highlighting the need for adaptive operational strategies in less favorable climates.
 |
| | Fig. 4 Seasonal variations in solar radiation intensity. | |
3.3 Substrate scope and yields
Encouraged by these promising results, we explored the generality of the CSR-assisted protocol by extending the substrate scope to a series of aromatic aldehydes bearing diverse functional groups (Fig. 1 and Table 4). The results demonstrated that the Knoevenagel condensation proceeded smoothly under catalyst-free conditions, with both electron-donating and electron-withdrawing substituents being well tolerated. This broad functional group compatibility underscores the robustness of the method. Yields of the desired BZI derivatives ranged from moderate to excellent, and all products were fully characterized by comparison of their melting points and spectroscopic data (IR and 1H NMR) with previously reported literature values, confirming the structures unambiguously.
Table 4 CSR-assisted synthesis of 2-benzylidene-1H-indene-1,3(2H)-dione derivatives in PEG-400
3.4 Mechanistic studies
To elucidate whether the CSR-assisted Knoevenagel condensation proceeds via a photo-thermal or photo-radical mechanism, the model reaction between 1H-indene-1,3(2H)-dione and 4-chlorobenzaldehyde was carried out in PEG-400 under CSR in the presence of 2,2-diphenyl-1-picrylhydrazyl (DPPH), a well-known radical scavenger (Fig. 5). The reaction was also performed in the presence of another radical scavenger, 2,2,6,6-tetramethylpiperidin-1-yl)oxyl (TEMPO), at varying amounts (1, 5, 10, and 20 mg, Table 5). As illustrated in Fig. 5, the reaction proceeded smoothly, affording 2-(4-chlorobenzylidene)-1H-indene-1,3(2H)-dione in 81% yield within 10 min, consistent with the reaction performed in the absence of radical scavengers. As summarized in Table 5, neither the reaction time nor the product yield was affected by the presence of these scavengers. These results clearly indicate that radical intermediates are not involved in this transformation, confirming that the reaction proceeds predominantly via a photo-thermal activation pathway under CSR conditions.
 |
| | Fig. 5 Evaluation of the reaction pathway under CSR conditions in PEG-400 using DPPH as a radical scavenger, indicating a photo-thermal rather than photo-radical mechanism. | |
Table 5 Effect of radical scavengers on CSR-assisted Knoevenagel condensation
| Entry |
Scavenger |
Amount (mg) |
Time (min) |
Yield (%) |
Observation |
| 1 |
None |
0 |
10 |
81 |
Standard reaction, no scavenger |
| 2 |
DPPH |
1 |
10 |
81 |
No change |
| 3 |
DPPH |
5 |
10 |
81 |
No change |
| 4 |
DPPH |
10 |
10 |
81 |
No change |
| 5 |
DPPH |
20 |
10 |
81 |
No change |
| 6 |
TEMPO |
1 |
10 |
81 |
No change |
| 7 |
TEMPO |
5 |
10 |
81 |
No change |
| 8 |
TEMPO |
10 |
10 |
81 |
No change |
| 9 |
TEMPO |
20 |
10 |
81 |
No change |
The proposed role of PEG in the synthesis of BZI derivatives can be rationalized based on its unique structural and physicochemical properties. The flexible helical conformation of PEG generates a pseudo-micellar microenvironment that effectively concentrates the reactants, thereby enhancing their mutual proximity and facilitating productive molecular interactions. Activation of the substrates occurs through hydrogen-bonding interactions between the ether oxygen atoms and terminal hydroxyl groups of PEG and the reactive centers of the aldehyde and 1H-indene-1,3(2H)-dione. Consequently, PEG functions not only as an environmentally benign solvent but also as a pseudo-catalyst, promoting the Knoevenagel condensation reaction. The reaction proceeds via a classical mechanism involving nucleophilic attack of the activated 1H-indene-1,3(2H)-dione on the aldehyde carbonyl, followed by dehydration to form the conjugated C
C bond and afford the desired BZI product. The proposed reaction mechanism is illustrated in Fig. 6.
 |
| | Fig. 6 Proposed mechanism for the synthesis of 2-benzylidene-indan-1,3-dione derivatives. | |
3.5 Green chemistry metrics
The green chemistry metrics calculated for the CSR-assisted synthesis of 2-(4-chlorobenzylidene)-1H-indene-1,3(2H)-dione underscore the environmental sustainability and operational efficiency of the developed protocol. An Atom Economy of 85.4% and a Carbon Efficiency of 100% indicate efficient utilization of reactant atoms in product formation. The low E-factor of 0.55 reflects minimal waste generation during the process. Additionally, the RME of 70.3% demonstrates substantial conversion of starting materials into the desired product. Collectively, these metrics, summarized in Fig. 7, confirm the protocol's strong alignment with green chemistry principles, particularly in waste minimization, resource efficiency, and solvent sustainability.
 |
| | Fig. 7 Green chemistry metrics for the synthesis of 2-(4-chlorobenzylidene)-1H-indene-1,3(2H)-dione under CSR. | |
4. Conclusion
In this study, an efficient and sustainable protocol was developed for the synthesis of BZI derivatives by utilizing CSR as a clean, renewable, and abundant thermal energy source. This approach effectively eliminates the need for conventional electrical heating, thereby significantly reducing energy consumption and minimizing environmental impact in accordance with green chemistry principles. The reactions were performed under catalyst-free conditions using PEG-400 as a green solvent, which offers biodegradability, low volatility, and high thermal stability, promoting molecular interactions that facilitate the reaction. The developed methodology demonstrated several advantages, including high product yields within significantly shorter reaction times, mild and straightforward operational conditions, and avoidance of hazardous or volatile reagents. Furthermore, seasonal studies confirmed the practical applicability of CSR under natural sunlight, highlighting its potential as a scalable and sustainable alternative for solar-assisted organic synthesis. Overall, this work contributes to the advancement of green chemistry by integrating solar energy utilization with environmentally benign solvents and catalyst-free protocols, providing a promising route towards more sustainable, energy-efficient, and cost-effective organic transformations aligned with the twelve principles of green chemistry.
Conflicts of interest
The authors declare no conflict of interest, financial or otherwise.
Abbreviations
| MW | Microwave irradiation |
| BZI | 2-Benzylidene-indan-1,3-dione |
| PEG | Polyethylene glycol |
| PEG-400 | Polyethylene glycol 400 |
| IR | Infrared |
| CSR | Concentrated solar radiation |
| TLC | Thin-layer chromatography |
| PDR | Parabolic dish reflector |
| AE | Atom economy |
| CE | Carbon efficiency |
| RME | Reaction mass efficiency |
Data availability
The data that support the findings of this study are available from the corresponding author upon reasonable request.
Supplementary information (SI) is available. See DOI: https://doi.org/10.1039/d5ra08259e.
Acknowledgements
We gratefully acknowledge the support of this work by Shahid Chamran University Research Council (Grant No. SCU.SC98.88).
References
- S. Jaiswal, G. Pradhan and Y. C. Sharma, Green and facile synthesis of glycerol carbonate from bio-glycerol assisted by lithium titanate: A robust and selective heterogeneous catalyst, J. Taiwan Inst. Chem. Eng., 2021, 128, 388–399 Search PubMed.
- S. K. Ali, et al., Electrochemical and photocatalytic synthesis of organic compounds utilizing a greener approach: a review, Mol. Catal., 2024, 559, 114087 Search PubMed.
- M. Molero-Sangüesa, et al., Thermophysical properties of lidocaine: thymol or L-menthol eutectic mixtures, J. Taiwan Inst. Chem. Eng., 2024, 163, 105631 Search PubMed.
- F. G. Delolo, et al., Green solvents in hydroformylation-based processes and other carbonylation reactions, Green Chem., 2025, 27, 4816–4866 RSC.
- P. J. Almhjell, C. E. Boville and F. H. Arnold, Engineering enzymes for noncanonical amino acid synthesis, Chem. Soc. Rev., 2018, 47, 8980–8997 RSC.
- D. Gayen, R. Chatterjee and S. Roy, A review on environmental impacts of renewable energy for sustainable development, Int. J. Environ. Sci. Technol., 2024, 21, 5285–5310 CrossRef.
- W. W. S. Charters, Developing markets for renewable energy technologies, Renew. Energy, 2001, 22, 217–222 CrossRef.
- M. M. N. F. Abd, et al., Exploration of efficiency of nano calcium oxide (CaO) as catalyst for enhancement of biodiesel production, J. Microbiol., Biotechnol. Food Sci., 2021, 11, e3935 CrossRef.
- Q.-Q. Zhou, et al., Visible-light-induced organic photochemical reactions through energy-transfer pathways, Angew. Chem., Int. Ed., 2019, 58, 1586–1604 CrossRef CAS PubMed.
- B. Huang, Photo- and electro-chemical synthesis of substituted pyrroles, Green Chem., 2024, 26, 11773–11796 Search PubMed.
- J. L. Tu, Y. Zhu, P. Li and B. Huang, Visible-light induced direct C(sp3)-H functionalization: recent advances and future prospects, Org. Chem. Front., 2024, 11, 5278–5305 RSC.
- B. Huang, Z. Sun and G. Sun, Recent progress in cathodic reduction-enabled organic electrosynthesis: trends, challenges, and opportunities, eScience, 2022, 2(3), 243–277 CrossRef CAS.
- P. H. Yang, Q. Z. Zhang and W. Sun, Clean synthesis of 2-arylideneindan-1,3-diones in water, Res. Chem. Intermed., 2012, 38, 1063–1068 CrossRef CAS.
- K. Mitka, et al., Synthesis of novel indane-1,3-dione derivatives and their biological evaluation as anticoagulant agents, Croat. Chem. Acta, 2009, 82, 613–618 Search PubMed.
- O. Kouzi, E. Pontiki and D. Hadjipavlou-Litina, 2-arylidene-1-indandiones as pleiotropic agents with antioxidant and inhibitory enzymes activities, Molecules, 2019, 24, 4411 CrossRef CAS PubMed.
- R. Pluskota, et al., Selected drug-likeness properties of 2-arylidene-indan-1,3-dione derivatives—chemical compounds with potential anti-cancer activity, Molecules, 2021, 26, 5256 CrossRef CAS PubMed.
- A. F. C. S. Oliveira, et al., Zirconium catalyzed synthesis of 2-arylidene indan-1,3-diones and evaluation of their inhibitory activity against NS2B-NS3 WNV protease, Eur. J. Med. Chem., 2018, 149, 98–109 CrossRef CAS PubMed.
- S. Meena, et al., Synthesis of 2-(aryl methylene)-(1H)-indane-1,3-(2H)-diones as potential fungicidal and bactericidal agents, Indian J. Chem. Sect. B, 2006, 45, 1572 Search PubMed.
- A. Iraji, et al., Novel heterocyclic hybrid of 2-(aryl)-1H-indene-1,3(2H)-dione targeting tyrosinase: design, biological evaluation and in silico studies, Trends Pharm. Sci. Technol., 2020, 6, 233–242 CAS.
- B. Bano, et al., Benzylidine indane-1,3-diones: As novel urease inhibitors; synthesis, in vitro, and in silico studies, Bioorg. Chem., 2018, 81, 658–671 CrossRef CAS PubMed.
- V. Devabhaktuni, et al., Solar energy: Trends and enabling technologies, Renewable Sustainable Energy Rev., 2013, 19, 555–564 CrossRef.
- J. Khan and M. H. Arsalan, Solar power technologies for sustainable electricity generation–A review, Renewable Sustainable Energy Rev., 2016, 55, 414–425 Search PubMed.
- Y. Chu and P. Meisen, Review and comparison of different solar energy technologies, Global Energy Network Institute (GENI)., 2011, 1, 1–52 Search PubMed.
- P. Ghorpade, et al., Concentrated solar radiation enhanced one pot synthesis of DES and N-Phenyl phthalimide, Sol. Energy, 2015, 122, 1354–1361 CrossRef CAS.
- M. Pirbaba, et al., Solar radiation-assisted
one-pot synthesis of 3-alkylated indoles under catalyst-free conditions, Arabian J. Chem., 2023, 16, 104609 Search PubMed.
- B. M. Agee, G. Mullins and D. J. Swartling, Friedel–Crafts Acylation Using Solar Irradiation, ACS Sustain. Chem. Eng., 2013, 1, 1580–1583 Search PubMed.
- Y. U. Gadkari, N. T. Hatvate and V. N. Telvekar, Solar energy as a renewable energy source for preparative-scale as well as solvent and catalyst-free Hantzsch reaction, Sustainable Chem. Pharm., 2021, 21, 100444 Search PubMed.
- S. Noori, A. R. Kiasat and R. Mirzajani, An eco-friendly and energy-efficient protocol for the Heck reaction under solar radiation catalyzed by rice husk silica-anchored cinchonine Pd nanocomposite, J. Saudi Chem. Soc., 2023, 27, 101625 CrossRef CAS.
- T. Rüther, A. M. Bond and W. R. Jackson, Solar light induced photocatalytic oxidation of benzyl alcohol using heteropolyoxometalate catalysts of the type [S2M18O62]4, Green Chem., 2003, 5, 364–366 RSC.
- S. Deshpande, et al., Energy efficient, clean and solvent free photochemical benzylic bromination using NBS in concentrated solar radiation (CSR), Sol. Energy, 2015, 113, 332–339 CrossRef CAS.
- K. B. Manjappa, et al., Microwave-promoted, catalyst-free, multi-component reaction of proline, aldehyde, 1,3-diketone: One pot synthesis of pyrrolizidines and pyrrolizinones, Tetrahedron, 2016, 72, 853–861 CrossRef CAS.
- M. J. Climent, et al., Activated hydrotalcites as catalysts for the synthesis of chalcones of pharmaceutical interest, J. Catal., 2004, 221, 474–482 CrossRef CAS.
- A. Aitha, et al., Synthesis of spiroindene-1,3-dione isothiazolines via a cascade michael/1,3-dipolar cycloaddition reaction of 1,3,4-oxathiazol-2-one and 2-arylidene-1,3-indandiones, Tetrahedron Lett., 2017, 58, 578–581 CrossRef CAS.
- M. B. Gawande, et al., Solvent-free and catalysts-free chemistry: a benign pathway to sustainability, ChemSusChem, 2014, 7, 24–44 CrossRef CAS PubMed.
- R. Kardooni and A. R. Kiasat, Polyethylene glycol as a green and biocompatible reaction media for the catalyst free synthesis of organic compounds, Curr. Org. Chem., 2020, 24, 1275–1314 CrossRef CAS.
- R. A. Sheldon, Green solvents for sustainable organic synthesis: state of the art, Green Chem., 2005, 7, 267–278 RSC.
- Z. Peng, et al., Polyethylene glycol (PEG) derived carbon dots: Preparation and applications, Appl. Mater. Today, 2020, 20, 100677 CrossRef.
- R. Kardooni and A. R. Kiasat, Polyethylene glycol (PEG-400): a green reaction medium for one-pot, three component synthesis of 3-substituted indoles under catalyst free conditions, Polycyclic Aromat. Compd., 2021, 41, 1883–1891 CrossRef CAS.
- A. R. Kiasat, et al., Poly (ethylene glycol) grafted onto dowex resin: an efficient, recyclable, and mild polymer-supported phase transfer catalyst for the regioselective azidolysis of epoxides in water, J. Org. Chem., 2008, 73, 8382–8385 CrossRef CAS PubMed.
- S. Chandrasekhar, et al., Poly (ethylene glycol)(PEG) as a reusable solvent medium for organic synthesis. Application in the Heck reaction, Org. Lett., 2002, 4, 4399–4401 CrossRef CAS PubMed.
- W. J. Zhou, K. H. Wang and J. X. Wang, Pd(PPh3)4-PEG 400 catalyzed protocol for the atom-efficient Stille cross-coupling reaction of organotin with aryl bromides, J. Org. Chem., 2009, 74, 5599–5602 CrossRef CAS PubMed.
- A. Corma, H. García and A. Leyva, Comparison between polyethylenglycol and imidazolium ionic liquids as solvents for developing a homogeneous and reusable palladium catalytic system for the Suzuki and Sonogashira coupling, Tetrahedron, 2005, 61, 9848–9854 CrossRef CAS.
- N. E. Leadbeater, M. Marco and B. J. Tominack, First examples of transition-metal free Sonogashira-type couplings, Org. Lett., 2003, 5, 3919–3922 CrossRef CAS PubMed.
- S. Shi and Y. Zhang, Pd(OAc)2-catalyzed fluoride-free cross-coupling reactions of arylsiloxanes with aryl bromides in aqueous medium, J. Org. Chem., 2007, 72, 5927–5930 Search PubMed.
- M. Vafaeezadeh and M. M. Hashemi, Polyethylene glycol (PEG) as a green solvent for carbon–carbon bond formation reactions, J. Mol. Liq., 2015, 207, 73–79 Search PubMed.
- E. P. T. Leitão, Comparison of traditional and mechanochemical production processes for nine active pharmaceutical ingredients (APIs), RSC Sustainability, 2024, 2, 3655–3668 Search PubMed.
- A. R. Kiasat and M. Fallah-Mehrjardi, An efficient catalyst-free ring opening of epoxides in PEG-300: a versatile method for the synthesis of vicinal azidoalcohols, J. Iran. Chem. Soc., 2009, 6, 542–546 CrossRef CAS.
- D. Wu, et
al., Solvent-free synthesis of 2-arylideneindan-1,3-diones in the presence of magnesium oxide or silica gel under grinding, Synth. Commun., 2005, 35, 3157–3162 CrossRef CAS.
- M. Barge and R. Salunkhe, Aqueous extract of Balanites roxburghii fruit: a green dispersant for C–C bond formation, RSC Adv., 2014, 4, 31177–31183 RSC.
- T. Okukawa, K. Suzuki and M. Sekiya, Formic acid reduction. XX. Reduction of 2-benzylidene-1,3-indandiones, Chem. Pharm. Bull., 1974, 22, 448–451 Search PubMed.
- A. M. Mahran, S. S. Ragab, A. I. Hashem, M. M. Ali and A. A. Nada, Synthesis and antiproliferative activity of novel polynuclear heterocyclic compounds derived from 2,3-diaminophenazine, Eur. J. Med. Chem., 2015, 90, 568–576 Search PubMed.
- S. M. Yang, et al., Chemo- and diastereoselective Michael–Michael-acetalization cascade for the synthesis of 1,3-indandione-fused spiro[4.5]decan scaffolds, J. Org. Chem., 2017, 82, 9182–9190 Search PubMed.
- H. Adibi, et al., Synthesis and characterization of 2-benzylidene-1,3-indandione derivatives as in vitro quantification of amyloid fibrils, J. Iran. Chem. Soc., 2020, 17, 423–432 Search PubMed.
- E. I. Smirnov and A. E. Podorol'skaya, Investigation of the phenomena of chromaticity in derivatives of 2-benzylideneindanedione-1,3, Zh. Obshch. Khim., 1969, 39, 1373–1377 Search PubMed.
- Y. Li, et al., Chemo- and diastereoselective construction of indenopyrazolines via a cascade aza-Michael/aldol annulation of Huisgen zwitterions with 2-arylideneindane-1,3-diones, Adv. Synth. Catal., 2017, 359, 4158–4164 Search PubMed.
- I. Agranat, R. M. J. Loewenstein and E. D. Bergmann, Fulvenes and thermochromic ethylenes. Part 52. The fine structure of 2-arylmethylene-1,3-indandiones; their NMR and infrared spectra, Isr. J. Chem., 1969, 7, 89–97 Search PubMed.
- E. I. Smirnov and A. E. Podorol'skaya, Investigation of the phenomena of chromaticity in derivatives of 2-benzylideneindanedione-1,3, Zh. Obshch. Khim., 1969, 39, 1373–1377 CAS.
- H. AZAB, Synthesis and reaction of some indenopyridine and thieno[2,3-b]indeno[2,1-e]pyridine derivatives, Synth. Commun., 2000, 30, 3883–3895 CrossRef.
- K. Rehse and F. Brandt, 2-Methylene-1,3-indandiones: Azaaromatic anticoagulants without enolizable functions, Chem. Inf., 1984, 117, 54–58 Search PubMed.
- V. Jacobi, Über die Reaktionsfähigkeit der Substituenten am C5-Kern, J. Prakt. Chem., 1931, 129, 55–96 CrossRef CAS.
- F. A. Neugebauer and G. A. Russell, Semidiones—X. Radical anions derived from 1,1,2,2-bis(1,3-diketo-2,2-benzylidene)ethane and 1,1,4,4-bis(1,3-diketo-2,2-benzylidene)butene-2, Org. Magn. Reson., 1970, 2, 191–195 CrossRef CAS.
|
| This journal is © The Royal Society of Chemistry 2026 |
Click here to see how this site uses Cookies. View our privacy policy here.