DOI:
10.1039/D5LP00241A
(Paper)
RSC Appl. Polym., 2026, Advance Article
Vitrimer-like acrylic glass with fast stress relaxation by high-speed carboxy exchange reaction
Received
29th July 2025
, Accepted 21st October 2025
First published on 22nd October 2025
Abstract
We previously reported vitrimer-like acrylic elastomers in which the network structure was rearranged through high-speed carboxy exchange via the reversible conjugate substitution reaction of 2-(acyloxymethyl)acrylate. In this study, a similar chemistry was applied to vitrimer-like acrylic glass to investigate the effectiveness of the fast bond exchange reaction for a higher glass transition polymer with lower chain flexibility. The copolymer of methyl methacrylate and acrylic acid, derived from acid degradation of the tert-butyl acrylate unit, was cross-linked via a conjugate substitution reaction with 1,6-hexylene bis[(2-bromomethyl)acrylate]. Despite the high glass temperature, the obtained cross-linked acrylic glass doped with 1,4-diazabicyclo[2.2.2]octane (DABCO) exhibited fast stress relaxation with a relaxation time of 5.3 s at 140 °C. Fast stress relaxation led to excellent processability, affording a transparent, colorless film with a high modulus and tensile strength by hot-pressing within 2 min at 140 °C. A similar synthetic strategy was applied for the upcycling of a commercially available acrylic board, poly(methyl methacrylate). The hydrolysis and subsequent cross-linking reaction afforded a cross-linked polymer, which formed a transparent film after doping with DABCO. However, this film exhibited significantly slow stress relaxation, with a relaxation time of 136 s at 170 °C, probably because of the diffusion of polymer chains and DABCO restricted by long polymer chains.
Introduction
Covalent adaptable networks (CANs), which are cross-linked polymers characterized by dynamic covalent bonds (DCBs), have attracted significant attention in the fields of polymer science and material engineering.1–5 In stark contrast to traditional cross-linked polymers, CANs exhibit stress-relaxation behavior and enhanced processability owing to the facilitation of network structure rearrangement through bond-exchange reactions. Consequently, CANs are expected to be a novel class of polymer materials that combine recyclability and self-healing capabilities, attributed to their dynamic structure, with thermal stability, mechanical toughness, and chemical resistance, derived from their cross-linked architecture.
Vitrimers are a type of CANs characterized by bond-exchange reactions that occur through the formation of new bonds, followed by the dissociation of existing ones.6–9 This ‘associative’ bond-exchange process allows the polymer network to rearrange without altering the cross-linking density, preventing a rapid decrease in viscosity as temperature rises. Typically, associative bond exchange is facilitated by addition–elimination or metathesis reactions, such as transesterification,10–12 imine exchange,13–15 and disulfide exchange.16,17 Conversely, some bond-exchange reactions that follow an elimination–addition mechanism, such as quaternary ammonium exchange,18,19 can also exhibit vitrimer-like behavior, provided that the dissociated intermediate has a sufficiently short lifetime, and rapid bond exchange is achieved. The dynamic properties of CANs, including vitrimers, stem from bond-exchange reactions and are thus under kinetic control. Consequently, fast bond-exchange reactions are essential for enhancing the performance of the vitrimers. This rapid bond exchange is achieved through substrates activated by neighboring groups20,21 strong catalysts,22 internal catalysts,23,24 and rapid reactions.25–27
We recently reported vitrimer-like acrylic elastomers that exhibit remarkably rapid stress relaxation, driven by high-speed carboxy exchange.28 This bond exchange relies on a reversible conjugate substitution reaction29–32 between 2-(acyloxymethyl)acrylate and carboxylic acid, catalyzed by 1,4-diazabicyclo[2.2.2]octane (DABCO; Scheme 1A). Despite the dissociative mechanism, the intermediate was not detected in the model reaction using chloroform, a solvent with low polarity, suggesting a short lifetime for the intermediates. The intermediate is an ammonium carboxylate salt, in which ionic bonds facilitate associative interactions. Consequently, the acrylic elastomers cross-linked through 2-(acyloxymethyl)acrylate frameworks (VE; Scheme 1B) functioned as vitrimer-like elastomers, offering rapid stress relaxation and excellent processability.
 |
| | Scheme 1 Reversible bond exchange by high-speed carboxy exchange via conjugate substitution reaction (A). Vitrimer-like acryl polymers from previous (B) and current studies (C). | |
Rapid network rearrangement is necessary to achieve excellent dynamic characteristics in CANs and vitrimers, such as processability in a short time. This requires fast elementary reactions for bond exchange and sufficient diffusion of the reaction sites within the polymer network. Notably, vitrimers with higher glass transition temperatures (Tg), which are typically related to chain flexibility, generally exhibit slower stress relaxations. Thus, we were interested in the potential of high-speed carboxy exchange to provide superior vitrimer-like performance, even for high-Tg polymers such as acrylic glass (Scheme 1C). In addition to their vitrimer-like performance, transparent and colorless properties are also important for organic glasses. High-speed carboxy exchange does not require reactive sites or catalysts that cause coloration, which is also advantageous. Herein, we report a vitrimer-like organic glass with excellent processability and transparency prepared from copolymers of methyl methacrylate (MMA). Another of our interests is the upcycling of acrylic boards to vitrimer-like materials. Thus, we also report the application of our synthetic strategy to commercially available acrylic boards.
Experiments
Materials
Chloroform-d1 (CDCl3, 99.8 atom % D with 0.03 vol% tetramethylsilane) and dimethyl sulfoxide-d6 (DMSO-d6, 99.9 atom % D) were purchased from Kanto Chemical Co., Inc. DABCO, MMA, TBA were purchased from Tokyo Chemical Industry Co., Ltd. 2,2′-Azobisisobutyronitrile (AIBN), 1,4-dioxane, dichloromethane, conc. sulfuric acid, DMF and THF were purchased from Fujifilm Wako Pure Chemical Industry Co. 1,6-Hexylene bis[α-(bromomethyl)acrylate] (3) was purchased from Chemicrea Inc. Acrylic board was purchased from AS ONE Co.
Characterization of molecular structure
1H NMR spectra were recorded in CDCl3 or DMSO-d6 using an AVANCE NEO spectrometer (Bruker). Chemical shifts in the 1H NMR spectra were referenced to the signals of tetramethylsilane (TMS) and the solvent (CHCl3 or DMSO). Molecular weight and its distributions were determined at 40 °C by size-exclusion chromatography (SEC) on an EXTREMA chromatograph (JASCO) equipped with two SEC columns [GPC HK-404L, Shodex], using chloroform (GPC grade, Fujifilm Wako Pure Chemical Industry) as an eluent (flow rate = 0.30 mL min−1), and calibrated against standard poly(methyl methacrylate) (PMMA) samples (TSK-gel oligomer kit, Tosoh, Mn: 6.48 × 105, 2.52 × 105, 1.42 × 105, 2.91 × 104, 8.59 × 103, 4.25 × 103, 1.46 × 103, 8.30 × 102 g/mol) and detected with UV (UV-4070, 235 nm, JASCO) and RI (RI-4035, JASCO) detectors. IR spectra were recorded on a Cary 630 FTIR spectrometer equipped with a diamond-attenuated total reflection (ATR) accessory.
Dynamic mechanical analysis (DMA) and stress–relaxation test
Ai film with thickness of 0.25 mm was prepared by hot-pressing at 140 °C for 2 min. A disc-shaped sample with a diameter of 8 mm and approximately 0.25 mm thickness was measured. Temperature-sweep rheology was conducted using a shear-type rheometer, MCR102e (Anton Paar) and disposable 8 mm plate. The frequency was fixed at 1 Hz and a constant strain of 0.1% was applied. Cyclic cooling and heating measurements were performed at a rate of 5 °C min−1.
Stress–relaxation tests for the cross-linked samples were conducted at various high temperatures using the same setup. The strain was fixed at 3%, which was within the linear regime. The samples for the measurements were initially dried under vacuum for 12 h, and all the above rheology measurements were conducted under N2 gas to minimize the effects of moisture in air.
Tensile test
Tensile tests were performed on an AGS-500NX (Shimadzu) instrument using a dumbbell-shaped specimen with a thickness of 0.33 mm. The measurements were performed at 25 °C and an extension speed of 10 mm min−1.
Synthesis of P1
A solution of MMA (2.00 g, 20.0 mmol), TBA (1.58 g, 11.7 mmol), and AIBN (82.5 mg, 0.502 mmol) in 1,4-dioxane (28.5 mL) was bubbled using nitrogen gas for 20 min, heated 70 °C for 2 h, and poured dropwise to a cosolvent of methanol/water (v/v = 1/1, 570 mL). The precipitate was collected by centrifugation, dissolved in THF, and dried in vacuo to afford 1.66 g (46.3%) of P1.
Synthesis of P2
P1 (1.65 g) was dissolved in dichloromethane (15 mL) and trifluoroacetic acid (2.49 g, 21.8 mmol) was added. The solution was stirred for 28 h and then poured dropwise into diethyl ether (300 mL). The precipitate was collected by centrifugation, dissolved in THF, and dried in vacuo to afford P2 (1.15 g, 82.1%).
Preparation of P4 and VG
3 (0.313 g, 0.790 mmol) was added dropwise to a solution of P2 (0.506 g) and triethylamine (0.160 g, 1.58 mmol) in THF (2 mL). The reaction mixture was allowed to stand for 3 h and then soaked in DMF (40 mL) for 12 h. The sol fraction was removed by decantation and the residual gel was soaked in DMF (40 mL) for 12 h. This procedure was repeated twice. A similar procedure was repeated thrice using THF instead of DMF. The residual gel was then dried in vacuo to obtain P4 (0.508 g). P4 swelled in a solution of DABCO (13 mg) in THF (2 mL) and dried in vacuo to afford VG (0.521 g).
Preparation of P6 and VG-R
P6 was prepared according to our recent report.33 The obtained P6 was converted to VG-R in a similar manner to the procedure on the conversion of P4 to VG.
Results and discussion
Synthesis of vitrimer-like acrylic glass
In line with our previous research on acrylic elastomers,28 we prepared vitrimer-like acrylic glass. The radical copolymerization of MMA (63 mol%) and tert-butyl acrylate (TBA; 37 mol%) was conducted in 1,4-dioxane using AIBN as the initiator (Scheme 2). The composition of the resulting copolymer, P1, was determined from the 1H NMR spectrum (Fig. S1) to 71/29 for the MMA and TBA units. The tert-butyl ester pendants of the obtained copolymer P1 were converted to carboxy groups using trifluoroacetic acid. The quantitative and selective pendant group conversion was confirmed by 1H NMR (Fig. S2) and FTIR (Fig. S3) spectra. The obtained copolymer P2 was treated with 1,6-hexylene bis[2-(bromomethyl)acrylate] (3) in the presence of triethylamine (TEA), ensuring that the bromine atoms of 3 were equimolar to the carboxy groups of P2. The resulting gel was swollen by immersing alternatively in N,N-dimethyl formamide (DMF) and THF, dried for 12 h three times to remove the byproduct of the bromide salt and sol fraction, and the residual gel was dried in vacuo to afford the cross-linked polymer P4. The weight fraction of the gel, that is, the yield of P4, was 74%.
 |
| | Scheme 2 Synthesis of cross-linked acrylic resin P4. | |
To enhance the bond exchange, the gel was swollen in a THF solution of DABCO and dried again in vacuo. The obtained resin (Fig. 1A) is denoted as VG. VG was hot pressed at 140 °C for 2 min under a pressure of 2 MPa, resulting in a colorless transparent film (Fig. 1B). The UV-vis spectrum of the film with 0.15 mm thickness (Fig. 1C) indicated 78–84% transmittance from 370 to 800 nm.
 |
| | Fig. 1
VG before (A) and after (B) hot pressing, and the UV-vis spectrum of the obtained film with 0.15 mm thickness (C). | |
Thermal and mechanical properties
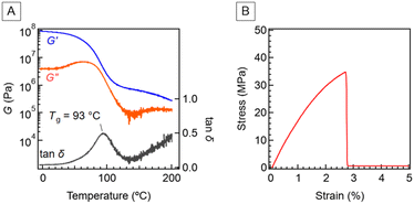
The dynamic mechanical analysis (DMA) of VG revealed a glass transition point (Tg) at 93 °C as the α-relaxation peak of tan δ (Fig. 2A). This indicates that VG was in the glass state at ambient temperature. The stress–strain curve of VG (Fig. 2B) presents typical characteristics of glass resins, such as a large modulus (1.29 GPa) and tensile strength (TB; 35 MPa) with a small strain at break (EB; 2.8%). In the DMA curve, the storage rubbery plateau modulus gradually decreased in a rubbery plateau region, especially above 150 °C. This is accompanied with the increase in the loss modulus (G″) and loss tangent (tan
δ), which is related to fast stress relaxation comparable to the vibration frequency (1 Hz), was also observed for the vitrimer-like acryl elastomer VE in our previous report.28
 |
| | Fig. 2 Dynamic mechanical analysis (0.1% strain, 1 Hz, 5 °C min−1) (A) and stress–strain curve (B, 10 mm min−1) of VG. | |
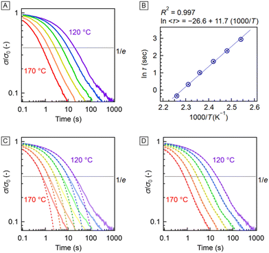
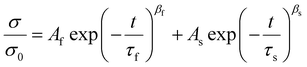
The stress-relaxation curves of VG (Fig. S4) were normalized, as shown in Fig. 3A. The relaxation time (τ) was initially estimated according to the simple Maxwel model using the definition that the stress (σ) becomes 1/e of the initial value (σ0). τ was 19 s and 5.3 s at 120 and 140 °C, respectively (Table 1). This relaxation rate is slightly slower but comparable to that of our previous low-Tg system (i.e., VE), validating that the use of a carboxy exchange reaction via conjugate substitution into acryl glass-type materials could also be a powerful tool to achieve rapid stress relaxation. The temperature dependence of τ obeyed Arrhenius plots (Fig. 3B), suggesting that the network dynamics were governed by bond-exchange kinetics, which is known for vitrimers or other types of CANs.34,35 To estimate the activation energy of the bond exchange (Ea) in the dynamic network, we adopted the most conventional protocol, simply deriving Ea from the slope of the Arrhenius plot in Fig. 3B. The Ea value was estimated to be 97 kJ mol−1. This value is slightly larger than that of VE (Table 1). Note that other estimation protocols, such as those based on the temperature-dependence of shift factors or temperature-dependence of the peak top frequency of the loss modulus within the rubbery plateau when conducting the frequency sweep rheology,36,37 would provide different values of Ea. Nevertheless, the values of Ea for VE and VG were derived from a common protocol, that is, the temperature dependence of τ. Therefore, the present comparison should have the meaning, indicating that the Tg or segmental dynamics would influence the bond exchange feature in the network, which is actually verified in another studies.38
 |
| | Fig. 3 Normalized stress-relaxation curves of VG (A) and their fitting analyses using eqn. (1) (C) and eqn. (2) (D). Arrhenius plots prepared from the stress-relaxation curves (B). | |
Table 1 Parameters for physical properties of VE and VG
| # |
T
g (°C) |
E′ (Pa) |
T
B (MPa) |
E
B (%) |
τ (s) |
E
a (kJ mol−1) |
| 140 °C |
120 °C |
|
VE
|
19 |
2.4 M |
1.8 |
65 |
2.5 |
7.0 |
74 |
|
VG
|
93 |
1.3 G |
35 |
3 |
5.3 |
19 |
97 |
For fairer comparison of relaxation rate between VE and VG without considering the difference of Tg, we plotted the relaxation time as a function of the temperatures normalized by Tg of each sample, that is, (T–Tg); interestingly, VG exhibited shorter τ than VE (Fig. S5) in comparison with the normalized temperature. We assume that the relaxation rate, which should be dominated by the diffusion of the exchange unit in the network, is influenced by various molecular factors in the strand, such as the methyl substituent and length of the alkyl side group. In the future, we will clarify the essential factors that dominate the relaxation rate based on the versatile acylate or methacrylate sample series with different Tgs.
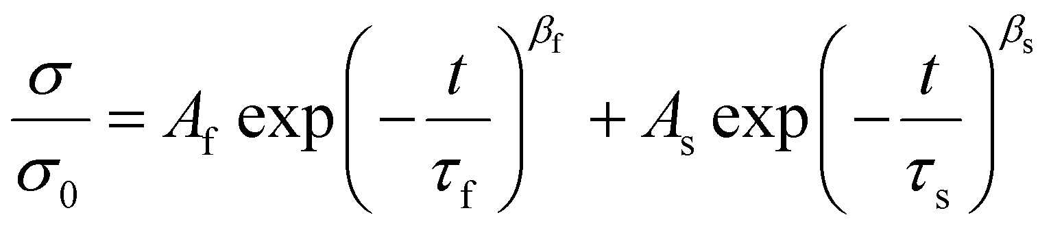
Curve-fitting analysis of the stress-relaxation curve was performed using Kohlrausch–Williams–Watts (KWW) functions (Fig. 3C), as shown in eqn (1).
| |  | (1) |
where
t,
τ*, and
β are the time, specific relaxation time, and distribution of
τ, respectively. However, apparent differences were observed between the fitted and experimental curves. This result is similar to that of
VE, which is in good agreement with the curves fitted according to
eqn (2).
28| |  | (2) |
This equation is based on the assumption of two relaxation modes, fast (f) and slow (s). This binary model is also effective for the curve-fitting analysis of the stress-relaxation curves of VG (Fig. 3D). Recently, Sain et al. introduced a combined model of dynamic and long-term relaxation modes.39 The dynamic relaxation mode is driven by a bond exchange reaction and is fast, whereas the long-term relaxation mode is driven by diffusion and is slow. Chain entanglements, dispersity of cross-link density and molar mass, dangling chains, and other phenomena influencing molecular diffusion were hypothesized to explain the long-term relaxation. Since P1, the polymer precursor of VG, was prepared by free radical copolymerization, the molar mass and monomer sequence, that is, the location of the crosslinking point, should have a distribution. In addition, Mn was higher than the entanglement molar mass (Me) of PMMA (ca. 10
000 g mol−1).40 Thus, a slow relaxation mode driven by diffusion effects was possible. However, except for our previous28 and current reports, there are no examples of vitrimer-like materials that use the carboxy exchange reaction via conjugate substitution; thus, the reaction mechanism of bond exchange in a polymer matrix at high temperatures has not yet been deeply investigated. Consequently, a more detailed study and discussion are required to assign the origin of the slow relaxation mode.
Since the stress relaxation was so fast that 2 min was sufficient for hot pressing at 140 °C to produce a transparent film. Moreover, self-adhesion of the cut VG films was achieved by heating the films with household iron for 30 s (Fig. 4). Therefore, high-speed carboxy exchange is effective in imparting excellent processability even to cross-linked acrylic glass.
 |
| | Fig. 4 Photographs of a cut film of VG (A) and the self-adhered film after heating with a houshold iron for 30s (B). The adhered film did not peel off even if a 100 g weight was hung (C). The yellow arrow indicates the adhered film. | |
Upcycling of acrylic board
Finally, the upcycling of acrylic boards to vitrimer-like glass was investigated. Pristine PMMA is commercially available as acrylic boards, and we expected that the pendant modification of PMMA would provide vitrimer-like acrylic glass (Fig. 5A). Herein, an acrylic board prepared by a cell-casting method was used because it was composed of pure PMMA. The acrylic board was cut into small pieces (Fig. 5B) and mechanically crushed using a mixer mill (Fig. 5C). The resulting PMMA powder (P3) was dissolved in concentrated sulfuric acid, and the solution was heated at 50 °C for 10 min and poured into water.32 The 1H NMR spectrum of the resulting polymer, P4, suggested that the degree of hydrolysis was 10% (Fig. S6). P4 was then cross-linked using 3 (Fig. 5D) and doped with DABCO in a manner similar to that of P2 and VG. The obtained crosslinked polymer, coded VG-R, formed a transparent film by hot pressing at 100 °C for 2 min under 5 MPa pressure (Fig. 5E).
 |
| | Fig. 5 Upcycling of an acrylic board to a vitrimer-like acrylic glass (A). Photographs in each step: the cut pieces (B) and crushed (C) of acrylic board. Cross-linked polymer (D) and its film prepared by hot-pressing after doping with DABCO (E). | |
The DMA curves suggested the Tg of VG-R at 110 °C, which was higher than VG (Fig. S7). The G′ value at 150 °C in the rubbery plateau region was 0.496 MPa, which was lower than that of VG (0.622 MPa). This tendency agreed with the composition of the mother polymers, P2 and P6. Owing to the high Tg, the stress-relaxation test was conducted at temperatures of 150 °C and higher. Despite the excellent processability of VG-R, the stress relaxation was much slower than expected (Fig. S8 and S9). τ at 170 °C was 136 s, which was significantly longer than that of VG (0.71 s). Curve fitting using eqn (2) indicates that both τf and τs were much longer than those of VG, whereas the coefficients Af and As were not significantly different (Table S2). The long τs implied restricted motion of the polymer chains. In fact, the SEC curves indicated that P5, the mother polymer of VG-R, had a fraction with molar masses higher than 900
000 g mol−1, whereas P1, the mother polymer of VG, was composed of polymer chains with molar masses lower than 300
000 g mol−1 (Fig. S10). In general, a longer polymer chain causes larger entanglement effects and restricts diffusion. In addition, longer polymer chains have more cross-linking points, which also prevents diffusion. Such restricted diffusion is not limited to polymer chains but also affects the mobility of the catalyst and reactive groups. Indeed, the τf of VG-R was longer than that of VG, implying that the bond exchange reaction also decelerated. The Arrhenius plot (Fig. S11) indicated a higher activation energy of VG-R (160 kJ mol−1) than VG (97 g mol−1), which also implied the effects of diffusion on stress relaxation. However, more systematic experiments are desirable to discuss the effects of molar mass on diffusion and stress relaxation.
Conclusions
Acrylic glass cross-linked via 2-(acyloxymethyl)acrylate skeletons for high-speed carboxy exchange via a reversible conjugate substitution reaction exhibited processability in the presence of the DABCO catalyst, affording a transparent, colorless film with a large modulus and tensile strength. The film also exhibited fast stress relaxation owing to the high-speed carboxy exchange reaction. Thus, the carboxy exchange reaction was effective in imparting excellent dynamic properties to a wide range of polymers, from elastomers to glassy resins. Consequently, molecular strategies based on the conjugate substitution reaction are attractive for the design of vitrimer-like materials with transparency, mechanical toughness, processability, and excellent stress-relaxation performance. The preparation of vitrimer-like glass was also achieved by pendant modification (hydrolysis) and cross-linking of PMMA, commercially available as acrylic boards, although the stress relaxation was significantly slower than expected. This slow relaxation was anticipated to be related to the restricted diffusion of the polymer chains and catalysts, although more detailed experiments are required to reach a conclusion. This point will be reported in the future. The preparation of vitrimer-like glass was also achieved by pendant hydrolysis and cross-linking of PMMA, commercially available as acrylic boards, although the stress relaxation was significantly slower than expected. This slow relaxation was anticipated to be related to the restricted diffusion of the polymer chains and catalysts, although more detailed experiments are required to reach a conclusion. This point will be reported in the future.
Author contributions
YK: conceptualization, formal analysis, funding acquisition, visualization, methodology, project administration, resources, supervision, writing – draft. MM: data curation, formal analysis, investigation, validation, visualization, writing – review & editing. MH: funding acquisition, resources, supervision, writing – review & editing.
Conflicts of interest
Y. K. has a patent (Japanese Patent No. 7441526) on the cross-linking reaction and the cross-linked polymers issued to Shinshu University. The remaining authors declare no competing interests.
Data availability
The data supporting this manuscript is available as part of the supplementary information (SI). Supplementary information: 1H NMR and IR spectra, SEC profiles, DMA curves, stress-relaxation curves, and their related plots. See DOI: https://doi.org/10.1039/d5lp00241a.
Acknowledgements
This research was financially supported by JST PRESTO Grant Numbers JPMJPR22N4 (for Y. K.) and JPMJPR23N7 (for M. H.).
References
- G. M. Scheutz, J. J. Lessard, M. B. Sims and B. S. Sumerlin, J. Am. Chem. Soc., 2019, 141, 16181–16196 CrossRef CAS PubMed.
- C. J. Kloxin, T. F. Scott, B. J. Adzima and C. N. Bowman, Macromolecules, 2010, 43, 2643–2653 CrossRef CAS PubMed.
- J. M. Winne, L. Leibler and F. E. Du Prez, Polym. Chem., 2019, 10, 6091–6108 RSC.
- N. Zheng, Y. Xu, Q. Zhao and T. Xie, Chem. Rev., 2021, 121, 1716–1745 CrossRef CAS.
- M. Hayashi, Polym. J., 2021, 53, 779–788 CrossRef CAS.
- W. Denissen, J. M. Winne and F. E. Du Prez, Chem. Sci., 2016, 7, 30–38 RSC.
- D. Montarnal, M. Capelot, F. Tournilhac and L. Leibler, Science, 2011, 334, 965–968 CrossRef CAS.
- Q. Shi, C. Jin, Z. Chen, L. An and T. Wang, Adv. Funct. Mater., 2023, 33(16), 2300288 CrossRef CAS.
- M. Hayashi, Polym. J., 2025, 57, 343–355 CrossRef CAS.
- S. Debnath, S. Kaushal and U. Ojha, ACS Appl. Polym. Mater., 2020, 2, 1006–1013 CrossRef CAS.
- T. Isogai and M. Hayashi, Macromol. Rapid Commun., 2024, 45, e2400125 CrossRef.
- T. Isogai and M. Hayashi, Polym. Chem., 2024, 15, 269–275 RSC.
- K. Liang, G. Zhang, J. Zhao, L. Shi, J. Cheng and J. Zhang, ACS Sustainable Chem. Eng., 2021, 9, 5673–5683 CrossRef CAS.
- J. Liu, X. Liu, X. Cui, J. Qin, M. Shi, D. Wang, L. Liang and C. Yang, ACS Appl. Polym. Mater., 2023, 5(12), 10042–10052 CrossRef CAS.
- A. Vilanova-Pérez, S. De la Flor, X. Fernández-Francos, À. Serra and A. Roig, ACS Appl. Polym. Mater., 2024, 6, 3364–3372 CrossRef PubMed.
- S. Guggari, F. Magliozzi, S. Malburet, A. Graillot, M. Destarac and M. Guerre, Green Chem., 2025, 27, 6392–6398 RSC.
- S. Chai, Y. Fang, Z. Chen, D. Kong, S. Xiang, S. Zhao, F. Fu and X. Liu, ACS Appl. Polym. Mater., 2025, 7(6), 3981–3990 CrossRef CAS.
- A. Jourdain, R. Asbai, O. Anaya, M. M. Chehimi, E. Drockenmuller and D. Montarnal, Macromolecules, 2020, 53, 1884–1900 CrossRef CAS.
- Y. Oba, T. Kimura, M. Hayashi and K. Yamamoto, Macromolecules, 2022, 55, 1771–1782 CrossRef CAS.
- M. Delahaye, J. M. Winne and F. E. Du Prez, J. Am. Chem. Soc., 2019, 141, 15277–15287 CrossRef CAS PubMed.
- H. Zhang, S. Majumdar, R. A. T. M. van Benthem, R. P. Sijbesma and J. P. A. Heuts, ACS Macro Lett., 2020, 9, 272–277 CrossRef CAS.
- S. Bhusal, C. Oh, Y. Kang, V. Varshney, Y. Ren, D. Nepal, A. Roy and G. Kedziora, J. Phys. Chem. B, 2021, 125, 2411–2424 CrossRef CAS.
- X. Feng and G. Li, ACS Appl. Mater. Interfaces, 2020, 12, 57486–57496 CrossRef CAS.
- M. Hayashi, ACS Appl. Polym. Mater., 2020, 2, 5365–5370 CrossRef CAS.
- W. Denissen, G. Rivero, R. Nicolaÿ, L. Leibler, J. M. Winne and F. E. Du Prez, Adv. Funct. Mater., 2015, 25, 2451–2457 CrossRef CAS.
- J. J. Lessard, G. M. Scheutz, S. H. Sung, K. A. Lantz, T. H. Epps III and B. S. Sumerlin, J. Am. Chem. Soc., 2020, 142, 283–289 CrossRef CAS PubMed.
- Z. Wang, Y. Gu, M. Ma and M. Chen, Macromolecules, 2020, 53, 956–964 CrossRef CAS.
- N. Nishiie, R. Kawatani, S. Tezuka, M. Mizuma, M. Hayashi and Y. Kohsaka, Nat. Commun., 2024, 15, 8657 CrossRef CAS.
- Y. Kohsaka, Polym. J., 2020, 52, 1175–1183 CrossRef CAS.
- Y. Kohsaka, Y. Akae, R. Kawatani and A. Kazama, J. Macromol. Sci., Part A:Pure Appl. Chem., 2022, 59, 83–97 CrossRef CAS.
- T. Noda, T. Kitagawa and Y. Kohsaka, Polym. J., 2023, 56, 343–351 CrossRef.
- Y. Kohsaka, T. Yoshida and N. Nishiie, Polym. Chem., 2025, 16, 4009–4012 RSC.
- Y. Chiba, S. Hirabayashi and Y. Kohsaka, Chem. Sci., 2025, 16, 12804–12811 RSC.
- B. R. Elling and W. R. Dichtel, ACS Cent. Sci., 2020, 6, 1488–1496 CrossRef CAS PubMed.
- M. Hayashi and R. G. Ricarte, Prog. Polym. Sci., 2025, 170, 102026 CrossRef CAS.
- H. Fang, W. Ye, Y. Ding and H. H. Winter, Macromolecules, 2020, 53, 4855–4862 CrossRef CAS.
- J. Luo, X. Zhao, H. Ju, X. Chen, S. Zhao, Z. Demchuk, B. Li, V. Bocharova, J.-M. Y. Carrillo, J. K. Keum, S. Xu, A. P. Sokolov, J. Chen and P.-F. Cao, Angew. Chem., Int. Ed., 2023, 62, e202310989 CrossRef CAS.
- S. Ge and C. M. Evans, Macromolecules, 2025, 58, 4043–4058 CrossRef CAS.
- M. R. Karim, F. Vernerey and T. Sain, Macromolecules, 2025, 58, 4899–4912 CrossRef CAS.
- S. Wu and R. Beckerbauer, Polym. J., 1992, 24, 1437–1442 CrossRef CAS.
|
| This journal is © The Royal Society of Chemistry 2026 |
Click here to see how this site uses Cookies. View our privacy policy here.