Electrochemical radical borylation of N-heterocycles with NHC-boranes: efficient access to the B–N bond
Abstract
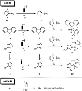
N-Heterocyclic carbene-stabilized boranes (NHC-boranes) have emerged as promising boryl radical precursors for constructing organoboron compounds. While traditional thermal and photocatalytic methods for generating NHC boryl radicals have been explored, electrochemical generation of NHC boryl radicals for B–N bond coupling has not been reported. Herein, we present the first electrochemical borylation of N-heterocycles using NHC-boranes, eliminating the need for radical initiators or mediators. This sustainable method employs electrons as clean redox agents and ionic liquids as green electrolytes. Mechanism studies support an anodic oxidation pathway to generate key boryl radical intermediates. The protocol exhibits broad substrate compatibility and is scalable via continuous-flow electrosynthesis, demonstrating significant potential for practical applications.
- This article is part of the themed collection: Celebrating International Women’s day 2026: Women in green chemistry

Please wait while we load your content...