Rapid proton transport through a bio-inspired PO4-built protective layer for stabilizing 5-hydroxymethylfurfural conversion at high current densities
Abstract
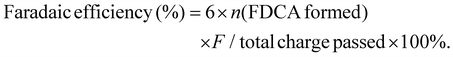
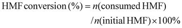
Nickel-based electrocatalysts are pivotal for converting biomass-derived 5-hydroxymethylfurfural to 2,5-furandicarboxylic acid (FDCA), a key renewable precursor for biopolymers. However, their industrial adoption is limited by sluggish proton transfer kinetics, which restricts current density (targeting ≥200 mA cm−2) and triggers catalyst corrosion via proton accumulation, reducing stability. Inspired by biological phosphate buffers that regulate protons to stabilize intracellular pH, we engineered a phosphate-built protective layer (PO4-BPL) on a CuNiO catalyst. The PO4-BPL serves dual roles: creating rapid proton channels to enhance proton-coupled electron transfer and protecting the catalyst from proton-induced corrosion. The PO4-BPL/CuNiO delivers a current density exceeding 700 mA cm−2 with FDCA faradaic efficiency above 90% over 36 cycles, showcasing 7-fold stability improvement versus unmodified catalysts. In a continuous-flow electrolyzer, PO4-BPL/CuNiO operates for 70 h, far exceeding the 6 h lifetime of the CuNiO. Density functional theory calculations confirm PO4-BPL lowers proton migration energy barriers, enhancing mass transfer and preventing structural damage. This biomimetic strategy not only enables robust electrocatalysts for high current density applications, but also represents a green advance toward the sustainable and efficient production of biopolymer precursors.

Please wait while we load your content...