Open Access Article
This Open Access Article is licensed under a Creative Commons Attribution-Non Commercial 3.0 Unported Licence

Development and performance evaluation of a hygienic and portable small-scale cassava grater for safe food processing

Kehinde A. Adeyeye *abc, Cornelius Folahan Oladipupo bd, Sanni Sodiq c, Tomilola F. Oguntunde e and Tosin O. Olanrewaju f
aDepartment of Mechanical, Bioresources and Biomedical Engineering, College of Science, Engineering and Technology, University of South Africa, Johannesburg 1709, South Africa. E-mail: khennade@gmail.com
bDepartment of Mechanical Engineering, Osun State Polytechnic, PMB 301, Iree, Nigeria
cDepartment of Mechanical Engineering, Olabisi Onabanjo University, Ago-Iwoye, Nigeria
dMainenance/Servicing Department, Molsec Engineering Limited, Ota, Nigeria
eDepartment of Agricultural Technology, Osun State Polytechnic, PMB 301, Iree, Nigeria
fDepartment of Agricultural & Biological Engineering, Purdue University, Indiana IN 47907-2093, USA

Received 28th May 2025 , Accepted 29th October 2025

First published on 6th November 2025


Abstract

Traditional cassava grating methods are labour intensive, unhygienic, and susceptible to contamination, further exacerbating food safety risks. These limitations highlight the urgent need for improved, small-scale processing solutions. This paper presents the development and performance evaluation of a hygienic, portable, and efficient small-scale cassava grating machine. Key considerations to develop a practical household grater with key design features including safe operation, portability, and corrosion resistance to accommodate cassava's acidic nature. Materials including mild steel, stainless steel, cast iron and alloy rubber were used. The machine is powered by a single-phase, one-horsepower electric motor operating at 1440 rpm, and features a stainless-steel grating drum with crevice-free contact surfaces to prevent bacterial buildup. Performance tests conducted with multiple cassava batches showed a grating throughput of 173.43 kg h−1, efficiency of 96.4% and material loss of 3.6%. Compared to commercial graters, the developed machine offers competitive throughput while maintaining affordability and improved hygiene. With a total fabrication cost of ₦262[thin space (1/6-em)]250 ($150.90), the machine is accessible for rural and domestic users. Future improvements may include solar-powered operation to reduce fuel dependency and enhance usability in off-grid areas, alongside structural refinements to improve weight distribution and minimize vibration. This innovation offers a scalable, practical solution for improving cassava processing, promoting food safety, and empowering smallholder communities.



Sustainability spotlight

Cassava is a vital staple for millions in sub-Saharan Africa, yet its traditional processing methods are often unsafe, inefficient, and environmentally taxing. This work presents a hygienic, affordable, and portable small-scale cassava grater that enhances food safety and reduces post-harvest losses. By using corrosion-resistant materials and energy-efficient design, it empowers smallholder farmers—especially women—and supports safer domestic food processing. The innovation directly advances UN Sustainable Development Goals 2 (Zero Hunger), 3 (Good Health and Well-being), 9 (Industry, Innovation and Infrastructure), and 12 (Responsible Consumption and Production). Future plans for solar integration further reinforce its sustainability. This practical tool transforms cassava processing at the grassroots, contributing to resilient, inclusive, and sustainable food systems.

1 Introduction

Cassava (Manihot esculenta) native to tropical America is a perennial woody shrub cultivated for its starchy, edible roots. Well adapted to tropical and subtropical climates, cassava plays a vital role in Africa's food security, supporting the livelihoods of more than 300 million people.1 Its ability to thrive in poor soils, withstand drought conditions2 and remain in the ground for extended periods without spoiling3 has positioned it as the most important food crop in place of maize which has become increasingly unreliable due to its sensitivity to irregular rainfall.2,4 In addition to its tolerance capabilities, it is cultivated year-round unlike many staples which further enhances its dependability as a source of food and income.5

In Nigeria, cassava is primarily cultivated on small farms, often intercropped with various vegetables and other crops such as yams, sweet potatoes, melons, and maize. Nigeria is the world’s largest producer of cassava tuber, producing over 60 million tonnes6,7 of the world's 324.7 million tonnes as of 2021.8 Cassava roots have increasingly become a competitive alternative to other carbohydrate sources like maize and sorghum, primarily due to factors such as price, nutritional value, quality, and availability. Cassava has several advantages over other root crops, with more than 85% of its composition consisting of highly digestible starch. Additionally, its starch possesses excellent agglutinating properties, making it particularly suitable for shrimp and fish feed by serving as a cost-effective replacement for expensive artificial binders.9

Over the past five decades, the cassava market has grown significantly, especially within the animal feed industry. As a carbohydrate-rich crop, cassava supports a broad range of applications across the ‘4Fs; Food, Feed, Fuel, Fiber and Industrial applications’. Its roots and leaves are nutrient-dense, with the roots being high in starch and sugars, making them valuable for human consumption.10 Processed cassava byproducts, foliage, and stems are used as high-energy animal feed, especially for ruminants.11,12 Additionally, cassava is a key feedstock for bioethanol due to its high ethanol yield13,14 and is widely utilized in industries for producing alcohol, textiles, medicines, adhesives, and biodegradable materials.15–18 However it remains one of the most perishable root crops, experiencing rapid post-harvest deterioration once separated from the parent plant.19 Its bulkiness, perishability, low protein content, and the presence of cyanide in all root tissues are key disadvantages.20,21 These challenges can be mitigated through simple processing. Reducing the moisture content below 14% through natural drying stabilizes the product, extends shelf life, and significantly lowers cyanide levels.22,23 As a result, the only remaining drawback compared to other carbohydrate feed sources is its low protein content, which can be offset by its price competitiveness.

Proper processing can also ensure the safe incorporation of cassava into a nutritious diet while also enhancing its marketability.24 For export markets requiring long-distance transportation, cassava is processed into high-density pellets to reduce transport costs.25,26 However, in Nigeria, most cassava products are consumed locally, with limited export due to challenges in meeting international food safety standards.27 Additionally, cassava tubers spoil quickly after harvest, making processing crucial for producing stable products that extend shelf life and improve availability. To maintain quality, hygiene, and suitability for both local consumption and export, promoting small-scale cassava grater production is essential.28

The evolution of cassava graters reflects a continuous quest for efficiency, transitioning from manual to mechanized systems. Traditionally, cassava was grated by pounding it in a mortar with a pestle, a method that was both labour-intensive and physically demanding.29 Later, artisans developed a manual grater using a perforated metal sheet mounted on wood, which, while slightly more efficient, often caused hand injuries. This rudimentary method required significant time and effort, with grating one tonne of peeled cassava taking up to 15 man-days.30

Over time, various types of graters have been developed to address these challenges. Despite these advancements, each grating technology has its drawbacks. A manual grater, though an improvement over traditional pounding, caused injuries and fatigue.31 Hand grating is invariably considered the most tedious and painful operation of the whole process. Women who grate the cassava manually, when asked about the problems of cassava processing will simply show the palms of their hands.32

Significant progress has been made in advancing and adopting mechanized cassava processing, yet challenges to technology adoption remain. Mechanized graters, such as modified hammer mills and abrasive disc graters, have improved efficiency but present maintenance challenges. Their grating surfaces, typically made from galvanized metal sheets with nail-punched holes, wear out within six months of regular use, reducing performance. Cleaning is also difficult, as debris becomes lodged in the perforations.33 Vertical drum graters, which press cassava against a rotating perforated drum, further enhanced processing but require careful maintenance to prevent clogging and inefficiencies. Addressing these challenges is essential for optimizing cassava processing technology.34

The introduction of a medium-scale motorized cassava grater marked a significant breakthrough, reducing labor requirements and increasing productivity. This advancement led to the development of various locally manufactured processing machines, including drum graters, horizontal disc graters, cassava chippers, screw presses, hydraulic presses, dough disintegrators, sieving machines, grading machines, plate mills, hammer mills, and mechanical dryers.28,34 In recent years, the adoption of mechanized cassava processing has accelerated,35 supported by non-governmental organizations assisting local communities in accessing and implementing these technologies.

A variety of cassava processing machines have been developed over the past decade to improve efficiency, reduce labor, and enhance productivity. These include peeling machines with dual washing functions. Adegoke et al. (2020) developed a cassava peeling machine made from locally available engineering materials with a capacity of 8 tonnes/day. The machine performs dual functions—peeling and recycling fruit water for washing and mild pretreatment.36 Nwaigwe et al. (2012) developed a modified milling machine which combines both an impact and shearing milling action with a pneumatic conveying and clarifying action.37 Some studies designed double-barrel graters using advanced CAD tools or incorporating automation. Okoli et al. (2021) developed a double barrel cassava grating machine using Autodesk Inventor Professional.31 Abama et al. (2024) developed an automated cassava grater that would help the local cassava farmers with their issues,38 while Muhammed et al. (2017) investigated the performance and economic returns of a developed automated cassava grating machine.39

Further innovations have emphasized safety, portability, and cost-effectiveness in home-scale or pedal-operated models. Bello et al. (2020) designed and fabricated a home-scale cassava grating machine with emphasis on efficiency, safety, and portability.40 Obolo and Fawohunre (2023) improved on existing designs by incorporating a wedging mechanism into their cassava grater.41 Yusuf et al. (2019) developed a simple pedal operated cassava grater for rural dwellers.42 Similarly, Emenike and Somtochukwu (2021) designed a low-cost, durable grating machine capable of handling pre-chipped cassava tubers of different sizes.43

Other studies focused on optimizing performance of electric motor-operated graters using throughput and efficiency factors. Garcines (2016) assessed the performance of an electric motor-operated cassava grater, examining variables such as grating capacity, feeding capacity, efficiency, and recovery at varying machine speeds.44 Esteves et al. (2019) developed and tested a motor-operated cassava grater,45 while Umani et al. (2020) designed a double-action cassava grating machine with an automated contact plate and evaluated its performance.46

Small-scale cassava grating systems should follow recognized hygienic design principles to minimize contamination risk. The ISO 14159 standard hygiene requirements for the design of machinery requires that equipment be constructed so product contact surfaces are cleanable and free of crevices, dead spaces,44,47 and corrosion-resistant materials.32,45 The Handbook for Good Manufacturing and Hygienic Practices in Cassava Processing further emphasizes that processors use food-grade stainless steel, design machines for easy disassembly,32,48 and provide for proper drainage and washdown to reduce microbial buildup.47 Protective covers and enclosed designs are recommended to reduce exposure of grated mash to external contaminants such as dust, insects, or human contact during operation.32,49

Despite advances in cassava processing technology, a persistent limitation is the lack of emphasis on hygienic design and material durability. Many reported machines rely on mild steel or other materials prone to corrosion from cassava's acidic fluid, leading to reduced service life and potential contamination that compromises food safety.39,41 Although some studies mention corrosion, few explicitly address crevice-free stainless-steel contact surfaces or design for hygienic handling as a primary objective. In cassava grating machines, only specific components—such as the hopper, grating drum, perforated mesh, discharge chute, and in some designs the chamber cover—come into direct contact with cassava tubers and grated mash.

The identified gap in existing systems highlights the need for affordable, portable cassava graters that combine competitive throughput with hygienic, corrosion-resistant construction. The present work addresses this need by designing, fabricating, and testing a small-scale cassava grater with durable stainless-steel components. Therefore, the choice of stainless steel or other food-grade, corrosion-resistant materials for these parts is essential to ensure hygiene, prevent contamination, and extend service life. This improvement promotes food safety, extends machine longevity, and enhances its suitability for both domestic consumption and potential export compliance. Although cassava products are primarily consumed locally, adherence to international hygiene standards can significantly improve their competitiveness and acceptance in global markets.

2 Materials and methods

2.1 Design concept and considerations

The design concept of the cassava grating machine is based on developing a small-scale, portable, and hygienic system suitable for household and smallholder use. The machine is structured to ensure efficient grating while minimizing labor and maintaining safe operation. In designing the system, careful attention was paid to material selection, particularly for surfaces in contact with cassava, given the tuber's high cyanogenic glycoside content and acidic nature; stainless steel was used for the grating drum and perforated mesh to resist corrosion and facilitate easy cleaning. The feasibility of electric-powered operation was explored to provide consistent and convenient performance, while all product-contact surfaces were designed to be crevice-free to prevent bacterial contamination. Additionally, considerations such as cost, availability, and ease of fabrication play a crucial role in material selection. These considerations collectively guided the development of a practical, durable, and safe grating machine capable of meeting domestic hygiene standards and promoting food safety.

2.2 Materials selection

The design and construction of the cassava grater required careful selection of materials to ensure durability, efficiency, and food safety. Given the acidic nature of cassava and its high moisture content, materials in direct contact with the tubers and grated mash—such as the grating drum, perforated mesh, and discharge chute—were chosen to resist corrosion, facilitate easy cleaning, and ensure hygienic operation. Table 1 summarizes the materials selected and used for each component of the cassava grater, including considerations for mechanical strength, durability, and cost-effectiveness. This selection ensures that the machine is robust, practical, and suitable for small-scale use.
Table 1 Materials used in the construction of the cassava grater
S./N. Part Materials used Selection criteria
Contact parts
1 Hopper Mild steel Durable and capable of withstanding mechanical stress50
2 Drum Stainless steel Corrosion-resistant, easy to clean, durable, and food-safe51
3 Perforated mesh Stainless steel Food-grade, rust-proof, and easy to sanitize51
4 Discharging unit Mild steel Non-toxic, and a smooth surface to avoid cassava residue buildup50
5 Cover Mild steel Provides protection and structural integrity at a lower cost50
[thin space (1/6-em)]
Non-contact parts
6 Shaft Mild steel Strong and affordable; easy to machine and fabricate50
7 Pulley Cast iron High strength and wear resistance; suitable for transferring motion52
8 Electric motor Cast iron with windings Durable housing with electromagnetic windings for power transmission53
9 Bolts Mild steel Cost-effective and strong enough to securely fasten components50
10 Bearings Cast iron Durable and resistant to wear; ensures smooth rotation52
11 Frame Mild steel Strong and stable for holding the entire setup50
12 Handle Mild steel Strong and durable for manual control or adjustment50
13 Belt Alloy rubber Flexible, high friction, and resistant to wear for power transmission54


Many locally published grating designs use mild steel for the frame and often adopt either galvanized or mixed-material drums (a mild-steel core sometimes wrapped with a thin stainless-steel sheet) to lower fabrication cost. While such choices reduce the initial expense, they remain susceptible to corrosion from cassava's acidic fluids and may compromise hygiene and service life. In contrast, this study uses stainless-steel for the product-contact surfaces – grating drum and perforated mesh, while retaining mild steel for non-contact structural parts (angle iron, frame, and hopper support) and cast iron for pulley/bearing elements (see Fig. 6 of the Appendix). This selective use of stainless-steel supports corrosion resistance and cleanability where it matters most (product-contact surfaces), while keeping the overall fabrication cost affordable. The chosen transmission elements (cast-iron pulley and alloy-rubber belt) follow common practice in prior Nigerian designs and ensure reliable power transfer at the household scale. The computed mechanical power requirement of 747 W closely matches the rating of the selected 1 HP, 1440 rpm electric motor, confirming its adequacy for the designed load and operating conditions.

2.3 Machine description

This section describes the fabricated components of the cassava grating machine, highlighting their functional roles and other key elements essential to the system's overall functionality. An assembly drawing of the machine and an exploded view showing all components of the cassava grater system are presented in Fig. 1. In addition, the isometric and orthographic views of the machine are presented in Fig. 7 and 8 of the Appendix.
image file: d5fb00242g-f1.tif
Fig. 1 An assembly drawing of the cassava grater and an exploded view showing all components of the cassava grater system.

The main frame: the main frame was constructed using 1.5″ × 1.5″ angle iron, which provided the structural shape of the machine. This material was chosen for its strength and rigidity, ensuring stability and support for the entire assembly.

The hopper: the hopper served as the receptacle through which cassava was fed into the machine for grating. It had a rectangular part that gradually tapered downward to guide the cassava efficiently toward the grating unit.

The grating unit: this unit consisted of a shaft, a perforated mesh, and circular discs. The grating drum was formed by shaping the perforated mesh and welding it in place between the circular discs to create a rotating cylinder.

The discharge unit: this unit was an extension of the grater's frame, connected directly to the hopper. It directed the flow of grated cassava from the drum to a designated storage pit.

Electric motor and pulley system: an electric motor was used to power the machine. A reduction pulley system transmitted power to the grating drum at a lower speed but with increased torque. This setup enabled the drum to rotate effectively, facilitating the grating of cassava.

The machine components in contact with cassava were fabricated from stainless steel to prevent corrosion and contamination. The use of corrosion-resistant materials, crevice-free contact surfaces, and a design that facilitates easy cleaning ensures compliance with established hygienic standards for food processing equipment, thereby promoting food safety and product quality.

2.4 Design analysis

This section presents the design analyses carried out for each key part and other key elements essential to the system's overall functionality.
2.4.1 Hopper design. The weight of the hopper was calculated as follows:
 
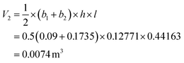
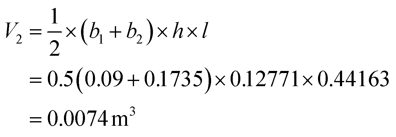
Volume of the hopper = V1 + V2V3(1)
V1 = rectangular part of the hopper, V2 = trapezoidal part of the hopper, and V3 = inner triangular part of the hopper39
image file: d5fb00242g-t1.tif

image file: d5fb00242g-t2.tif

image file: d5fb00242g-t3.tif

image file: d5fb00242g-t4.tif
 
image file: d5fb00242g-t5.tif(2)
2.4.2 Grating drum design. The weight of the cylinder or the force acting on the cylinder drum,28
 
Wd = ρ × Vc × g(3)
where ρ = density of the material for stainless steel, 7930 kg m−3, and mild steel, 7860 kg m−3 (ref. 57)
 
image file: d5fb00242g-t6.tif(4)
g = acceleration due to gravity and Wd = 7930 × 0.0035 × 9.81 = 272.28 N

Point loading of shaft due to drum, Wd = 272.28 N

 
image file: d5fb00242g-t7.tif(5)

2.4.3 Transmission system design. The transmission system consists of a pulley system reducing the motor speed by a ratio of 2[thin space (1/6-em)]:[thin space (1/6-em)]1, Note: De = diameter of the driver pulley = 50 mm = 0.05 m and Dd = diameter of the driven pulley = 100 mm = 0.1 m (ref. 34)
 
image file: d5fb00242g-t8.tif(6)

The ratio between the velocity of the electric motor pulley (driver pulley) and the drum pulley (driven pulley) is calculated mathematically, as shown below:

Let Ne = speed of the driver in r.p.m = 1440 rpm and Nd = speed of the driven in r.p.m = 1440 rpm

The length of the belt that passes over the driver, in one minute

 
image file: d5fb00242g-t9.tif(7)

Similarly, the length of the belt that passes over the follower, in one minute

 
image file: d5fb00242g-t10.tif(8)

Since the length of the belt that passes over the driver in one minute is half the length of the belt that passes over the follower in one minute, therefore55

 
image file: d5fb00242g-t11.tif(9)

2.4.4 Belt design. The belt design calculations determined the centre distance, belt length, and angle of contact to ensure efficient power transmission between the motor pulley and the grating drum. The belt design for the transmission system is illustrated in Fig. 2.
image file: d5fb00242g-f2.tif
Fig. 2 Belt design.

2.4.4.1 Determination of centre distance (C). According to the Rubber Manufacturing Association (RMA) design guidance for V-belt drives, the required center distance should be determined based on factors such as pulley diameters, belt length, and required belt lap angle. For speed rations less than three,55
 
image file: d5fb00242g-t12.tif(10)

For speed ratios of 3 or more, C = D, Therefore, image file: d5fb00242g-t13.tif, C = 0.125 m.


2.4.4.2 Length of the belt. In order to compute the length of the belt required, we use the formula below26
 
image file: d5fb00242g-t14.tif(11)
where C = distance between the centre of the two pulleys, L = length of belt required, image file: d5fb00242g-t15.tif, L = 0.489 m.

2.4.4.3 Angle of contact on driver belt sheave. The angle of contact on driver belt sheave is the lap angle of the belt over the electric motor's pulley and can be calculated using the equation56
 
image file: d5fb00242g-t16.tif(12)
where
image file: d5fb00242g-t17.tif
2.4.5 Shaft design. A shaft is a rotating mechanical component designed to transmit power from one location to another. This transmission occurs through tangential forces and the resulting torque (twisting moment) generated within the shaft, enabling it to deliver power to connected machines or components. Elements such as pulleys, bearings, and drums are mounted on the shaft to facilitate this power transfer. However, the forces exerted by these components also subject the shaft to bending. As a result, the shaft experiences both torsional and bending stresses due to its dual function of transmitting torque and supporting mounted elements.
2.4.5.1 Determination of the bending moment at each point of loading. Determining the bending moment involves evaluating it in two perpendicular planes: vertical and horizontal. Fig. 3 presents the shaft and grating dimensions and the bending moment distribution along the shaft between the bearings, grating drum, and pulley.
image file: d5fb00242g-f3.tif
Fig. 3 The bending moment at each point of loading.

2.4.5.2 Force exerted on shafts (vertical force). The machine pulley, belt, motor pulley, and electric motor are parts of the transmission system, which exerts tangential, axial or radial force on the shaft.56
 
Weight of pulley, Wp = Mp × g(13)
where Mp = mass of the pulley in kg = 1.05 kg, g = acceleration due to gravity = 9.81 m s−1, and Wp = 9.81 × 1.05 = 10.30 N
2.4.6 Bearing reactions.
2.4.6.1 Due to vertical loading. To determine the reaction at each bearing, moments about the two expected bearing points are evaluated independently as shown in Fig. 4.
image file: d5fb00242g-f4.tif
Fig. 4 Reaction at the bearing due to vertical loading.

Taking moment about point A,

RCV (450) − 272.28 (225) − 10.30 (588) = 0′ RCV = 149.6 N

Vertical equilibrium

RBV + RCV = Wd + Wp

RBV = 272.28 + 10.30 − 149.6

RBV = 132.98 N


2.4.6.2 Due to horizontal loading. The power of the motor used is 1hp = 746 W and the motor speed is N = 1440 rpm.34

Therefore, the torque at the shaft:

 
image file: d5fb00242g-t18.tif(14)

Horizontal weight on the pulley,

 
image file: d5fb00242g-t19.tif(15)

Using the horizontal force Wp, the horizontal reactions at the bearings were determined by taking moments about the two bearing points independently, as shown in Fig. 5.

RBH + RCH = Wp


image file: d5fb00242g-f5.tif
Fig. 5 Reaction at the bearing due to horizontal loading.

Taking moment about point A,

RCH (450) = Wp (588)

RCH (450) = 99 (588)

RCH = 129.36N

RBH = 99 − 129.36 = −30.36 N

Equivalent twist moment = 149.6 + 132.98 + 129.36 − 30.36 = 381.58 N

The diameter of the shaft can be determined by56

Equivalent twist moment,

 
image file: d5fb00242g-t20.tif(16)
where τ = permissible shear stress of the shaft material which is 30 MPa, Ds = diameter of the shaft, image file: d5fb00242g-t21.tif, Ds = 0.04267 m, and Ds = 42.67 mm

Since the calculated diameter of the shaft is 42.67 mm, 50 mm diameter was considered.

2.4.7 Motor selection. The motor power requirement was estimated from the shaft torque and angular speed. With a calculated torque of 4.95 Nm and ω = 150.8 rad s−1, the mechanical power at the shaft is Pmech = T = 747 W. Accounting for transmission and motor efficiencies (assumed to be 90% and 85%, respectively) gives an electrical input requirement of 977 W. Applying a service factor of 1.25 to allow for start-up and transient loads yields a recommended motor rating of 1.22 kW; therefore a 1440 W motor is recommended for reliable operation.

2.5 Performance evaluation and experimental design

Performance evaluation of the fabricated cassava grater was carried out to determine its output capacity, grating efficiency, and overall suitability for small-scale cassava processing. A batch experimental design was adopted because it allows for controlled measurement of input mass and grating time, ensuring accurate determination of throughput and efficiency. This approach is particularly suitable for small-scale operations, where continuous feeding is less practical, and it reflects real-world household and smallholder practices in which cassava is processed in discrete portions.

Freshly peeled and washed cassava tubers were divided into batches, and both the individual and total weights of each batch were measured prior to grating. The time required to grate each batch was recorded using a stopwatch, and the grated mash was collected and weighed. The slight variation in grating times across batches (batch intervals: 61–109 seconds) was attributed to differences in tuber size, shape, and moisture content. Larger or denser tubers required slightly longer grating times, while smaller ones were processed more quickly. These measurements were used to calculate the machine's throughput (kg h−1), efficiency, and percentage material loss, following standard evaluation procedures.

The throughput or rate of cassava grating is defined as the amount of cassava (in kg per tonnes) processed by the grater per time taken, mathematically expressed in eqn (17) as:

 
image file: d5fb00242g-t22.tif(17)
where Wi represents the weight of cassava fed into the cassava grater in kg and t represents the time taken in hours. The efficiency of the cassava grater is defined as the ratio of the mass of cassava mash collected after grating to the total mass of cassava fed into the machine, expressed as a percentage:
 
image file: d5fb00242g-t23.tif(18)
where η represents machine efficiency (%), and W0 represents the weight of grated cassava mash collected (kg). Mechanical or material loss represents the proportion of cassava mass that was not recovered after grating, due to adherence to the drum, spillage, or other operational inefficiencies. It is given as:
 
image file: d5fb00242g-t24.tif(19)
where L refers to mechanical or material loss (%), Wi refers to the weight of cassava fed into the grater (kg) and W0 refers to the weight of grated cassava mash collected (kg).

3 Results and discussion

3.1 Principle of operation

The developed cassava grating machine operates on the principle of abrasion, where peeled and washed cassava tubers fed through the hopper are shredded by a rapidly rotating stainless-steel grating drum powered by a single-phase electric motor via a pulley transmission system. As the drum spins at approximately 1440 rpm, the cassava is grated into fine particles and discharged by gravity through the outlet. The system is enclosed in a stainless-steel housing to ensure hygiene, reduce contamination, and facilitate cleaning. The use of corrosion-resistant materials, crevice-free contact surfaces, and a design that facilitates easy cleaning ensures compliance with established hygienic standards for food processing equipment, thereby promoting food safety and product quality. Designed for portability, ease of use, and domestic-scale processing, the machine eliminates the need for manual pressing common in traditional graters, thereby improving safety and operational efficiency. Proper shaft and drum alignment were ensured during assembly to minimize vibration, prevent bearing failure, and extend service life.

3.2 Performance evaluation

Performance evaluation revealed that the fabricated cassava grater achieved a consistent average throughput across multiple batches of cassava tubers. The use of a stainless-steel drum with crevice-free contact surfaces ensured hygienic operation and minimized contamination risks, overcoming a major drawback of conventional mild-steel designs. The machine exhibited smooth feeding and discharge, with negligible vibration due to proper shaft alignment and a stable frame structure. Material losses were minimal, and operational efficiency remained stable throughout the tests, confirming the machine's reliability and suitability for small-scale cassava processing. The results from these measurements are summarized in Table 2 to assess the performance of the developed machine.
Table 2 Performance evaluation of the cassava grating machine
Number of loading Mass of cassava (kg) Time taken to grate loading (secs) Mass of cassava mash (kg) Mechanical losses (kg)
1 4.0 82 3.84 0.16
2 3.4 68 3.25 0.15
3 3.0 61 2.87 0.13
4 4.3 91 4.16 0.14
5 5.1 109 4.98 0.12
Total 19.8 411 s 19.1 0.7


Table 2 presents the performance data obtained from five consecutive loadings of cassava during the evaluation of the fabricated grater. The grated cassava mash obtained after each loading was found to be only slightly lower than the corresponding input weights, primarily due to minor losses from mash adhering to the drum and housing surfaces. The total cassava input was 19.8 kg, and the total grated mash collected was 19.1 kg, resulting in a cumulative mechanical loss of 0.7 kg. This corresponds to an overall loss of about 3.6%, which is negligible and confirms the machine's high efficiency in minimizing material wastage. Using these measurements, key performance indicators, including throughput (rate of cassava grating) and machine efficiency, were estimated to be 173.43 kg h−1 and 96.4%, as calculated using eqn (17) and (18), indicating a strong performance within the small-scale operational range.

The performance of the fabricated small-scale cassava grater in comparison with existing commercial graters is presented in Table 3. In cassava processing, grating machines are generally categorized based on their throughput and intended users. Home-use graters are typically characterized by lower capacity, often powered manually or by small electric motors, and have throughputs of 10–60 kg h−1, suitable for household or cottage-scale production.46,58,59 In contrast, small-scale farming or community-level graters are motor-driven and designed to handle larger loads efficiently, typically achieving 100–250 kg h−1 throughput.56,60 Commercial cassava graters are larger in size and designed to handle significantly higher loads, typically achieving throughputs exceeding 300 kg h−1.26,61 The fabricated cassava grater in this study achieved a throughput of 173.43 kg h−1, placing it within the upper range of small-scale systems. This confirms its suitability for smallholder farmers, cooperative groups, and rural processing enterprises, rather than for only individual home use.

Table 3 Comparison of the fabricated small – scale cassava grater and other existing home – scale, small – scale and commercial graters
  References Throughput Efficiency
Home – scale Umani et al., 2020 (ref. 46) 26.64 kg h−1 74.25%
Aideloje et al., 2021 (ref. 58) 55.79 kg h−1  
Obolo and Fawohunre, 2023 (ref. 41) 59.50–61.33 kg h−1 88–91%
Olutayo et al., 2022 (ref. 59) 95.9 kg h−1 83.9%
Yusuf et al., 2019 (ref. 42) 103.7 kg h−1 90.91%
Small – scale Adetunji and Quadri, 2011 (ref. 56) 158 kg h−1  
Our fabricated cassava grater 173.43 kg h−1 96.4%
Olutayo et al., 2025 (ref. 60) 235.5 kg h−1 96.8%
Commercial Mose et al., 2025 (ref. 26) 398.33 kg h−1 93.54%
Ertebo 2024 (ref. 61) 471.4 kg h−1 97.3%


3.3 Cost analysis of the cassava grater

The cost analysis of the cassava grater is presented through a detailed Bill of Engineering Measurement and Evaluation (BEME), outlining the specifications, quantities, unit prices, and dimensions of all materials used in its design and fabrication. The total construction cost was calculated accordingly, and the results are summarized in Table 4.
Table 4 Bill of engineering measurement and evaluation (BEME) of the cassava grater
S./N. Material Specification Quantity Cost (#)
1 Angle iron 1.5 thickness, 2 by 2 11[thin space (1/6-em)]250
2 Mild steel sheet 1.5 thickness ½ 21[thin space (1/6-em)]000
3 Stainless steel sheet 1.5 thickness ¼ 17[thin space (1/6-em)]750
4 Stainless steel (cylinder) 2.0 thickness Ø100 by 440 mm 1 20[thin space (1/6-em)]000
5 Pulley Cast iron 1 16[thin space (1/6-em)]000
6 Pillow bearing Cast iron 2 75[thin space (1/6-em)]000
7 Bolts and nuts 19 screw spanner 12 3000
8 Shaft Ø50 mm by 800 mm long 1 28[thin space (1/6-em)]000
9 Electrode 12 gauge 1 packet 11[thin space (1/6-em)]000
10 Grinding disc 7″ 1 2500
11 Cutting disc 9″ 2 4500
12 Paint Green colour 1 4000
13 Electric motor 1HP, 1440 rpm 1 95[thin space (1/6-em)]000
  Total     ₦241[thin space (1/6-em)]500 ($ 150.90)


The developed cassava grater cost ₦241[thin space (1/6-em)]500, which is equivalent to $150.90 at the current exchange rate of $1 to ₦1603.04. This demonstrates its cost competitiveness, as it is affordable for small-scale processors and households, making it accessible for local entrepreneurs while providing a reliable and efficient means of cassava processing.

4 Conclusion

The cassava grating machine was successfully designed, fabricated, and tested, demonstrating both effectiveness and high efficiency in continuous operation. The system is well-suited for small-scale or domestic use, offering an affordable and reliable option due to its low production cost and durable construction. The use of corrosion-resistant materials, crevice-free contact surfaces, and a design that facilitates easy cleaning ensures compliance with established hygienic standards for food processing equipment, thereby promoting food safety and product quality.

It is recommended that the machine be produced on a larger scale to serve small-scale commercial processors and rural enterprises. Future development efforts should focus on optimizing the grating unit for improved efficiency and throughput, enhancing operational speed, and integrating renewable energy options—particularly solar power—to reduce fuel dependency and extend accessibility in off-grid areas. Further research can look into weight reduction and vibration control measures to improve machine stability, portability, and user comfort.

Conflicts of interest

There are no conflicts to declare.

Data availability

The data supporting this article are included within the article.

Appendix


image file: d5fb00242g-f6.tif
Fig. 6 (a–e) Fabricated parts of the Cassava Grating Machine.

image file: d5fb00242g-f7.tif
Fig. 7 Isometric view of the fabricated cassava grating machine.

image file: d5fb00242g-f8.tif
Fig. 8 Orthographic view of the cassava grater.

References

  1. W. G. Adebayo, Cassava production in africa: A panel analysis of the drivers and trends, Heliyon, 2023, 9(9), e19939,  DOI:10.1016/j.heliyon.2023.e19939.
  2. A. B. Amelework, M. W. Bairu, O. Maema, S. L. Venter and M. Laing, Adoption and promotion of resilient crops for climate risk mitigation and import substitution: A case analysis of cassava for South African agriculture, Front. Sustain. Food Syst., 2021, 5, 1–14,  DOI:10.3389/fsufs.2021.617783.
  3. Z. Shan, X. Luo, M. Wei, T. Huang, A. Khan and Y. Zhu, Physiological and proteomic analysis on long-term drought resistance of cassava (Manihot esculenta Crantz), Sci. Rep., 2018, 8(1), 1–12,  DOI:10.1038/s41598-018-35711-x.
  4. S. Du and W. Xiong, Weather Extremes Shock Maize Production: Current approaches and future research directions in Africa, Plants, 2024, 13(12), 1–26,  DOI:10.3390/plants13121585.
  5. S. Immanuel, D. Jaganathan, P. Prakash, P. S. Sivakumar and S. Immanuel, Cassava for food security, poverty reduction and climate resilience: A review, Indian J. Ecol., 2024, 51(1), 21–31,  DOI:10.55362/ije/2024/4191.
  6. A. K. Srivastava, et al., Cassava yield gap—A model-based assessment in Nigeria, Front. Sustain. Food Syst., 2023, 6, 1058775,  DOI:10.3389/fsufs.2022.1058775.
  7. E. S. Ikuemonisan, T. E. Mafimisebi, I. Ajibefun and K. Adenegan, Cassava production in Nigeria: trends, instability and decomposition analysis (1970–2018), Heliyon, 2020, 6(10), e05089,  DOI:10.1016/j.heliyon.2020.e05089.
  8. Krungsri Research, Industry Outlook 2024-2026: Cassava Industry Krungsri Research View, Bangkok, Thailand, 2026, [Online]. available: https://www.krungsri.com/en/research/industry/industry-outlook/agriculture/cassava/io/cassava-2024-2026 Search PubMed.
  9. E. O. Udoro, T. A. Anyasi and A. I. O. Jideani, Process-induced modifications on quality attributes of cassava (Manihot esculenta crantz) flour, Processes, 2021, 9(11), 1–19,  DOI:10.3390/pr9111891.
  10. S. R. N. S. P. Mohidin, S. Moshawih, A. Hermansyah, M. I. Asmuni, N. Shafqat and L. C. Ming, Cassava (manihot esculenta crantz): A systematic review for the pharmacological activities, traditional uses, nutritional values, and phytochemistry, J. Evidence-Based Integr. Med., 2023, 28, 1–26,  DOI:10.1177/2515690X231206227.
  11. A. Parmar, B. Sturm and O. Hensel, Crops that feed the world: Production and improvement of cassava for food, feed, and industrial uses, Food Secur., 2017, 9(5), 907–927,  DOI:10.1007/s12571-017-0717-8.
  12. M. D. Hossain, et al., Cassava as a feedstuff for ruminant feeding system in belt and road countries: innovations, benefits and challenges, J. Agric. Food Res., 2025, 21, 101874,  DOI:10.1016/j.jafr.2025.101874.
  13. A. A. Fathima, M. Sanitha, L. Tripathi and S. Muiruri, Cassava (Manihot esculenta) dual use for food and bioenergy: A review, Food Energy Secur., 2023, 12(1), 1–26,  DOI:10.1002/fes3.380.
  14. M. Krajang, K. Malairuang, J. Sukna, K. Rattanapradit and S. Chamsart, Single-step ethanol production from raw cassava starch using a combination of raw starch hydrolysis and fermentation, scale-up from 5-L laboratory and 200-L pilot plant to 3000-L industrial fermenters, Biotechnol. Biofuels, 2021, 14, 68 CrossRef CAS PubMed.
  15. E. Okogbenin, et al., Phenotypic approaches to drought in cassava: Review, Front. Physiol., 2013, 4(93), 1–15,  DOI:10.3389/fphys.2013.00093.
  16. W. O. Egboduku, T. Egboduku, O. M. Golohor, O. Imarhiagbe and M. C. Ogwu, Cassava as raw material for sustainable bioeconomy development, in Sustainable Cassava: Strategies from Production through Waste Management, Elsevier Inc., 2024, pp. 57–73,  DOI:10.1016/B978-0-443-21747-0.00022-9.
  17. N. M. L. Fernando, et al., Sustainable biorefinery approach for cassava: A review, Eng. J. Inst. Eng., 2022, 55(2), 71–88,  DOI:10.4038/engineer.v55i2.7510.
  18. A. W. Borku, T. T. Tora and M. Masha, Cassava in focus: A comprehensive literature review, its production, processing landscape, and multi-dimensional benefits to society, Food Chem. Adv., 2025, 7, 100945,  DOI:10.1016/j.focha.2025.100945.
  19. C. Hershey, Cassava genetic improvement: theory and practice, Cali, Colombia: International Center for Tropical Agriculture (CIAT), 2020 Search PubMed.
  20. N. K. Morgan and M. Choct, Cassava: Nutrient composition and nutritive value in poultry diets, Anim. Nutr., 2016, 2(4), 253–261,  DOI:10.1016/j.aninu.2016.08.010.
  21. A. Mukhtar, S. Latif, Z. Barati and J. Müller, Valorization of Cassava By-Products: Cyanide content and quality characteristics of leaves and peel, Appl. Sci., 2023, 13(10), 1–11,  DOI:10.3390/app13106340.
  22. S. Chaiareekitwat, et al., Drying behavior and effect of drying temperatures on cyanide, bioactive compounds, and quality of dried cassava leaves, Appl. Sci., 2025, 15(5), 1–14,  DOI:10.3390/app15052680.
  23. E. A. Nainggolan, J. Banout and K. Urbanova, Recent trends in the pre-drying, drying, and post-drying processes for cassava tuber: A review, Foods, 2024, 13(11), 1–23,  DOI:10.3390/foods13111778.
  24. S. S. Scaria, et al., Cassava (Manihot esculenta Crantz)—A potential source of phytochemicals, food, and nutrition—An updated review, eFood, 2024, 5(1), 1–16,  DOI:10.1002/efd2.127.
  25. J. Morales, et al., Supply chain design for waste valorization through high-energy-density pellet production in Chile, Appl. Sci., 2024, 14(22), 1–12,  DOI:10.3390/app142210429.
  26. B. R. Mose, V. A. Odhiambo, N. Maryvelma and B. O. Alunda, Design, fabrication and performance evaluation of a multipurpose cassava grater, World J. Eng. Technol., 2025, 13(1), 49–63,  DOI:10.4236/wjet.2025.131004.
  27. P. O. Onyediako and J. G. Adiele, Enhanced cassava production for food security and economic development in nigeria: A review, Niger. Agric. J., 2022, 53(3), 204–211 Search PubMed.
  28. A. E. Ertebo and A. W. Koroso, Design and manufacturing of cassava grater machine, Agric. Eng. Int. CIGR J., 2024, 26(4), 73–90 Search PubMed.
  29. N. Y. Serwaah Sarpong, J. O. Akowuah, J. O. Darko and E. A. Amoah, A machine learning-driven modeling and optimization approach for enhancing cassava mash production quality in cassava graters, J. Agric. Food Res., 2024, 18, 101406,  DOI:10.1016/j.jafr.2024.101406.
  30. S. K. Bello, S. B. Lamidi and S. A. Oshinlaja, Design and fabrication of cassava grating machine, Int. J. Adv. Sci. Res. Eng., 2020, 06(10), 162–167,  DOI:10.31695/ijasre.2020.33915.
  31. I. G. Okoli and U. C. Okonkwo, Design of an improved double barrel cassava grating machine, Int. J. Eng. Res. Technol., 2021, 10(12), 112–117 Search PubMed . Available: https://www.ijert.org.
  32. A. Diop, Chapter 5 - Processing of roots and tubers, in Storage and Processing of Roots and Tubers in the Tropics, ed. D. J. B. Calverley, Food and Agriculture Organization of the United Nations, 1998, pp. 1–27, available: https://www.fao.org/4/x5415e/x5415e05.htm Search PubMed.
  33. A. Mohammed, et al., Redesign and simulation of a hammer mill to minimize consume of iron filings, Int. J. Mech. Eng., 2023, 8, 53–61 Search PubMed.
  34. N. Innocent, U. M. Ikenna, U. C. Ajah and N. I. Onwuka, Design and development of a modernized cassava grating machine, Asian J. Adv. Res. Rep., 2023, 17(1), 9–16,  DOI:10.9734/ajarr/2023/v17i1460.
  35. N. Y. S. Sarpong, J. O. Akowuah, E. A. Amoah and J. O. Darko, Enhancing cassava grater design: A customer-driven approach using AHP, QFD, and TRIZ integration, Heliyon, 2024, 10, e36167,  DOI:10.1016/j.heliyon.2024.e36167.
  36. A. F. Adegoke, M. O. Oke, K. O. Oriola and L. O. Sanni, Design, construction, and performance evaluation of an innovative cassava peeling machine, Food Chain, 2020, 9(2), 107–131,  DOI:10.3362/2046-1887.18-00011.
  37. K. N. Nwaigwe, C. Nzediegwu and P. E. Ugwuoke, Design, construction and performance evaluation of a modified cassava milling machine, Res. J. Appl. Sci. Eng. Technol., 2012, 4(18), 3354–3362 Search PubMed.
  38. O. Abama, E. Onoriode, E. K. Orhorhoro and P. O. Ebunilo, Development of an automated cassava grating machine, NIPES – J. Sci. Technol. Res., 2024, 6(3), 99–114,  DOI:10.5281/zenodo.13765468.
  39. A. Muhammed, O. Sunday, A. I. Omoakhalen and A. S. Imuran, Development and performance evaluation of automated cassava-grating machine, Appl. Sci. Rep., 2017, 17(2), 24–29,  DOI:10.15192/pscp.asr.2017.17.2.2429.
  40. S. K. Bello, S. B. Lamidi and S. A. Oshinlaja, Design and fabrication of cassava grating machine, Int. J. Adv. Sci. Res. Eng., 2020, 06(10), 162–167,  DOI:10.31695/ijasre.2020.33915.
  41. A. A. Obolo and A. J. Fawohunre, Development of an improved cassava grater, Glob. Sci. J., 2023, 11(7), 1982–1987 Search PubMed.
  42. K. O. Yusuf, T. D. Akpenpuun and M. O. Iyanda, Design and fabrication of a simple pedal operated cassava grater suitable for rural dwellers, J. Appl. Sci. Environ. Manag., 2019, 23(6), 1007–1011,  DOI:10.4314/jasem.v23i6.2.
  43. S. C. Emenike and O. N. Somtochukwu, Design and fabrication of a cassava grater machine, Int. J. African Sustain. Dev., 2021, 13(2), 2760–4106 Search PubMed.
  44. J. V Garcines, Performance evaluation of an electric motor-operated cassava grater, J. Agro-Industrial Res. Dev., 2016, 1, 22–26 Search PubMed.
  45. D. U. Esteves, G. P. Pantuhan, M. O. Serviñas and J. S. Malasador, Design, fabrication and performance evaluation of motor-operated cassava grater, Mindanao J. Sci. Technol., 2019, 17, 227–241 Search PubMed.
  46. K. C. Umani, E. U. U. Ituen and O. A. Fakayode, Development and testing of a double-action cassava grater with an automated contact plate, J. Food Process. Eng., 2020, 43(4), 1–18,  DOI:10.1111/jfpe.13372.
  47. Food and Agriculture Organization of the United Nations and World Health Organization, General principles of food hygiene, Codex Aliment. Code Pract., No.CXC 1-1969, Codex Alimentarius Commission, Rome, 2023,  DOI:10.4060/cc6125en.
  48. International Organization for Standardization (ISO), ISO 14159:2002 – Safety of Machinery — Hygiene Requirements for the Design of Machinery, ISO, Geneva, 2002 Search PubMed.
  49. B. A. Abdallah, V. N. E. Uzokwe, V. Silayo, P. Mamiro, P. Chisawillo, and P. Kolawole, Handbook for Good Manufacturing and Hygienic Practices (GMP & GHP), International Institute of Tropical Agriculture, Ibadan, Nigeria, 2016 Search PubMed.
  50. M. N. Sultana, F. Hasan, and M. Islam, Analysis of mechanical properties of mild steel applying various heat treatment, in International Conference on Mechanical, Industrial and Energy Engineering, 2014, pp. 1–4 Search PubMed.
  51. A. K. Dewangan, A. D. Patel and A. G. Bhadania, Stainless steel for dairy and food industry: A review, J. Mater. Sci. Eng., 2015, 4(5), 10–13,  DOI:10.4172/2169-0022.1000191.
  52. K. Kusumoto, et al., High-temperature erosive wear characteristics and bonding requirements of hard carbides cast-in insertion multi-component white cast iron, Wear, 2021, 476, 203672,  DOI:10.1016/j.wear.2021.203672.
  53. O. Taqavi and S. M. Mirimani, Design aspects, winding arrangements and applications of printed circuit board motors: A comprehensive review, IET Electr. Power Appl., 2020, 14(9), 1505–1518,  DOI:10.1049/iet-epa.2020.0141.
  54. V. L. Popov, Contact mechanics and friction: Physical principles and applications, second edition, in Contact Mechanics and Friction: Physical Principles and Applications, Springer-Verlag GmbH Germany, 2nd edn, 2017, pp. 283–298,  DOI:10.1007/978-3-662-53081-8.
  55. A. Fadeyibi and O. F. Ajao, Design and performance evaluation of a multi-tuber peeling machine, AgriEngineering, 2020, 2(1), 55–71,  DOI:10.3390/agriengineering2010004.
  56. O. R. Adetunji and A. H. Quadri, Design and fabrication of an improved cassava grater, Pac. J. Sci. Technol., 2011, 12(2), 120–129 Search PubMed.
  57. O. J. Oyejide, N. E. Osabuohien and O. L. Agberegha, Design analysis of cassava grating machine for commercialization, Niger. J. Eng. Sci. Res., 2021, 4(3), 74–87 Search PubMed.
  58. V. E. Aideloje, H. A. Okwudibe, A. Z. Jimoh and B. B. Olawepo, Development and utilization of mobile cassava grating machines in Nigeria, J. Environ. Issues Agric. Dev. Ctries., 2018, 10(3), 168–180 Search PubMed.
  59. L. A. Olutayo, L. A. S. Agbetoye, B. Kareem and D. M. Olupona, Development of grating and dewatering units of a cassava processing machine, Int. J. Adv. Eng. Manag. Res., 2022, 07(02), 21–31,  DOI:10.51505/ijaemr.2022.7203.
  60. L. A. Olutayo, F. O. Olorunlagba and K. O. Mogaji, Design and fabrication of a cassava processig handling machines, Int. J. Innov. Sci. Res. Technol., 2025, 10(8), 2864–2872 Search PubMed.
  61. A. E. Ertebo, Performance evaluation of diesel engine operated cassava grating machine, Turkish J. Agric. Eng. Res., 2024, 5(1), 49–65,  DOI:10.46592/turkager.1420986.

This journal is © The Royal Society of Chemistry 2026
Click here to see how this site uses Cookies. View our privacy policy here.