Mitigating photon escape in thin-film photovoltaic devices via non-reciprocal optical path
Abstract
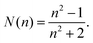
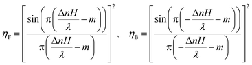
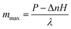
Breaking the optical symmetry is vital for light-harvesting devices, while the broadband asymmetric light manipulation remains challenging. Herein, optical non-reciprocity with subwavelength pyramid arrays (SPAs) is proposed to synergistically harness the Mie resonance and the multi-order diffraction for blocking light escaping. A forward optical transmittance of over 95% is obtained with an asymmetric ratio of over 2.5 dB in a wide spectral region that fully covers the absorption spectrum of organic solar cells (OSCs). The non-reciprocal optical path in OSCs reduces the threshold thickness of the active layer for efficient light-harvesting as well as the boost in charge extraction. The optimized OSCs achieve an efficiency of 20.70% and a certified value of 19.71%. The versatility of the optical non-reciprocity with SPAs has also been demonstrated for the performance enhancement in perovskite and quantum dot solar cells with different absorption spectra. This strategy surpasses traditional anti-reflective schemes and paves the way for optical manipulation in thin-film optoelectronic devices.

Please wait while we load your content...