Harnessing magnetic, photo, and thermal fields and their synergistic interactions for enhanced electrocatalytic oxygen evolution reaction
Abstract
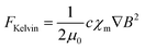
The oxygen evolution reaction (OER) constitutes a critical half-reaction in electrochemical water splitting and plays a central role in sustainable energy conversion systems. This review commences with an overview of the fundamental principles governing the OER, serving as the conceptual basis for understanding the influence of external physical fields on catalytic behaviour. The individual effects of magnetic, photo, and thermal fields on OER kinetics and mechanisms are systematically examined, followed by an exploration of the coupling phenomena that arise from their concurrent application. Building on these mechanistic insights, we further discuss catalyst design strategies that exploit both isolated and synergistic external field effects, as reported in recent studies. Advances in computational screening and descriptor-guided design methodologies are also reviewed. Finally, we outline critical future directions, including the optimization of performance trade-offs among activity, stability, and energy efficiency, the development of standardized evaluation protocols, and the integration of theoretical modelling to guide rational catalyst development. Collectively, this review provides a comprehensive framework for advancing OER catalysis through the strategic application of external physical fields.

Please wait while we load your content...