Accurate relativistic density functional calculations for the solid-state of metallic francium

Andres Robles-Navarro * and Peter Schwerdtfeger *
Centre for Theoretical Chemistry and Physics, The New Zealand Institute for Advanced Study (NZIAS), Massey University Albany, Private Bag 102904, Auckland 0745, New Zealand. E-mail: andres.robles.n@gmail.com; peter.schwerdtfeger@gmail.com

Received 23rd November 2025 , Accepted 4th February 2026

First published on 12th February 2026


Abstract

Bulk properties of the heaviest known Group 1 element francium are investigated by using density functional theory within the projector augmented wave method including scalar relativistic and spin–orbit corrections as well as zero-point vibrational effects. The accuracy of our method is tested for lithium and sodium where we find that the PBEsol functional describes the properties of these elements extremely well. This gives confidence for the accurate prediction of the cohesive energy differences between the different proposed phases of francium. We find that francium fits nicely within the periodic trend of the Group 1 metals with a predicted low temperature close packed structure (hcp or fcc or Barlow mixtures between those two), and with the bcc phase being slightly less stable.


Introduction

Francium is a naturally occurring but highly radioactive alkali metal.1,2 The most stable isotope is 22387Fr, a dominant β-emitter (with a minuscule 0.02% α branching ratio) and a half-life of 21.8 m.3 Unlike the lighter element radon,4,5 where the most stable isotope, 22286Rn, has a half-life of 3.8235 d, spectroscopic and chemical investigations into francium are very scarce1,6,7 and bulk properties of this element have never been observed. Instead, one has to rely on predictions from periodic trends8–11 or accurate computational simulations.12–14 For a historical overview on francium and its chemistry see Adloff and Kauffman1 or Orna.15 Here we mention that francium has received recent attention for the study of parity-violation in electronic transitions and the search for a permanent electric dipole moment in order to test the standard model of physics.16–19

Only very few theoretical investigations into bulk properties of francium are available.20,21 It is however well known that the Group 1 elements up to cesium adopt the less dense packed body-centered cubic (bcc) structure at normal conditions22 with a phase transition into a closed-packed structure with possible stacking faults of the hexagonal sheets at low temperatures,23–25 albeit there is some recent controversy on the low temperature structure of lithium.21,26,27 For the alkaline metals up to cesium, computational studies, with few exceptions,28,29 all involve density functional theory30–32 with only a few correcting for long-range dispersive type of interactions or zero-point vibrational effects.21,33 Upadhyaya et al. showed already in 1980 by using simple models that van der Waals dispersive type of interactions cannot be neglected anymore for the cohesive energy differences between the different phases of the heavier alkali metals, because of the increase in the Group 1 dipole polarizability with nuclear charge,14 and that these interactions slightly favor the bcc arrangement compared to the close packed structures.34 This may seem perhaps counter-intuitive because of the very different coordination numbers, but changes in the nearest neighbor distances play a crucial role as well. Moreover, the transition path from bcc to the more densely packed face-centered cubic (fcc) arrangement is predicted to be rather shallow for the Group 1 metals,21,33 and the stability of various phases depends critically on the pressure and temperature applied. In addition, for francium one should include spin–orbit effects as the higher lying 7p levels are spin–orbit split by 0.209 eV35 and the core 6p levels by 5.26 eV.36 This may influence the relative stability of the different phases considered here. It is now clear that predicting correctly the small energy differences between the different low-temperature and pressure phases for francium constitutes a major challenge to current computational solid-state theory. In this respect, the accuracy of the density functional approximation for the solid state has been discussed intensively in the literature.37–39

In this work we try to identify the most stable low-temperature bulk phase of francium by using relativistic density functional theory including spin–orbit effects and dispersive type of interactions through the Grimme energy correction,40–42 as well as accounting for zero-point vibrational energies.21,33 The bulk phases studied are the ones generally considered for the bulk Group 1 metals, i.e. bcc, fcc and hcp (hexagonal close packing). The solid-state data provided are not only useful for discussing periodic trends,43 but also for future atom-at-a-time chemistry with Fr or element 119 to estimate adsorption enthalpies on various surfaces such as gold.44,45

Computational details

To accurately obtain the small energy differences expected for the three low-energy phases, hcp, bcc and fcc, we need to treat the hexagonal and cubical unit cells on an equal basis to consistently sample the k-space in our electronic structure calculations. For this we use the basis vectors as defined in ref. 46 describing the different phases through a common underlying bi-lattice, which will briefly be described here.

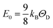
The connection between the cubical lattices including both bcc and fcc along a so-called Bain path of deformation21,33,47 can be further generalized to include the hexagonal close-packed structure.46 This can be achieved by introducing a bi-lattice with corresponding lattice vectors and parameters which smoothly connect the hexagonal with the cuboidal lattices, resulting in two atoms for the unit cell. This implies that in addition to the (a,c) (variable) lattice parameters as shown in Fig. 1 we have an angle between the two base vectors of the hexagonal prism, plus the position of the second atom inside the unit cell. For the entire transformation between the different phases we thus have an underlying monoclinic unit cell with two atoms.


image file: d5cp04548g-f1.tif
Fig. 1 Monoclinic unit cell (shown as the hexagonal cell here) with a two-atom basis. Here we set |[b with combining right harpoon above (vector)]1| = |[b with combining right harpoon above (vector)]2| = a and |[b with combining right harpoon above (vector)]3| = c. See ref. 27 for details.

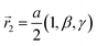
Our lattice-parameter space for the bi-lattice is defined by (α,a,γ,β), where α indicates the type of structure (cuboidal for α = 1, hexagonal for α = 0, or monoclinic for other α values) used previously for describing the Burgers deformation path, which correlates directly with the angle between the vectors at the base of the unit cell, both with magnitude a (see Fig. 1), γ = c/a as the height of the unit cell with respect to a, and β as the second component of the position vector of the atom in the center of the unit cell, that is, image file: d5cp04548g-t1.tif. Using these parameters, the monoclinic skeleton for the different lattices is defined by

 
image file: d5cp04548g-t2.tif(1)
and the positions of the atoms within the unit cell are
 
image file: d5cp04548g-t3.tif(2)

The volume of the unit cell can be used to restrict the range of values for α and it is written as

 
image file: d5cp04548g-t4.tif(3)

The definition of a common unit cell for hcp, fcc and bcc results in volumes and densities that are very similar. Since V > 0, a physically meaningful α parameter lies in the interval (−1,3). For α = 0, the structure is of hexagonal type with ∠([b with combining right harpoon above (vector)]1,[b with combining right harpoon above (vector)]2) = 60°, whereas for α = 1 the same angle becomes 90° with a unit cell being a rectangular prism. Hence, the ideal hcp structure is obtained when image file: d5cp04548g-t5.tif. On the other hand, for the ideal fcc structure we have image file: d5cp04548g-t6.tif and the ideal bcc lattice is reached at (α,γ,β)bcc = (1,1,1). It is worth pointing out that the Bain transformation path defined in previous works21,33 by a single parameter A is a special case of the transformation above for fixed α = 1 and β = 1 and by setting image file: d5cp04548g-t7.tif.

Our definition of the bi-lattice is applied to the Group 1 elemental metals Li, Na, and Fr in order to determine their solid-state properties and possible ground state structures. The two metallic elements Li and Na were used to test the reliability of the density functional approximations against experimental data. For a fixed value of α, an optimization of the three lattice parameters (a,γ,β) using an hybrid method of Bayesian optimization48,49 (BO) and the Broyden–Fletcher–Goldfarb–Shanno50 (BFGS) algorithm is performed using density functional theory (DFT) at different levels of approximations, i.e. the local spin-density approximation (LSDA, with Slater exchange51 and Volko–Wilk–Nusair correlation functional52) and the generalized gradient approximation (GGA, with the Perdew–Burke–Ernzerhof (PBE) exchange–correlation,53 along with PBEsol54). In addition, dispersion corrections were incorporated to the PBE functional through the DFT-D3 approach including the Becke–Johnson damping function.40,41 Spin–orbit (SO) interactions are also considered when using the PBEsol functional. All electronic structure calculations were carried out with the VASP 6.4.0 version55–58 with the atomic cores as described by Blöchl's Projector Augmented Wave (PAW) method59,60 with the recommended scalar relativistic pseudopotentials. As the focus was on the total energy of the system, the electronic minimization was done using the tetrahedron smearing method61 with Blöchl corrections with an energy width of 0.1 eV. Convergence tests regarding k-spacing and energy cut-off were performed guaranteeing a variation of less than 1 meV in the total energy with respect to more demanding accuracy settings. The energy cut-off was set to 500 eV for Li, Na, and Fr with a k-point grid set by using KSPACING = 0.07 and centered at the Γ point. The calculation of the cohesive energy requires the energy of the isolated atom, which was obtained by building a lattice of one atom in a large and slightly orthorhombic unit cell of size 14 × 14.001 × 14.002 Å.

The Bayesian optimization was performed through a custom algorithm where we used a Gaussian Process surrogate with a kernel of the form

 
k(x,x′) = σ2fkMatern(x,x′;ν) + σ2nδ(x,x′)(4)
where kMatern(x,x′;ν) is the Matérn kernel62 with a smoothness parameter ν = 5/2, σ2f is the prior signal variance (learned during training), and a fixed noise variance σ2n = 10−5via the WhiteKernel class from the Python package scikit-learn.63 The acquisition function employed was Expected Improvement64–66 with a jitter value of 0.01 and its optimization was done using the limited-memory BFGS (L-BFGS) method with 10 random restarts. The search started with 10 initial random samples and 40 Bayesian steps, then a BFGS optimization of the electronic energy was performed starting with the best point after BO convergence.

The zero-point energy (ZPE) of both sodium and francium is obtained in an approximate way using Badger's rule67 together with density functional perturbation theory (DFPT) phonon calculations for the lithium metal as implemented in VASP 6.4.0 with the aid of Phonopy 2.14.0.68 For this we used a 6 × 6 × 6 supercell with a Γ -centered 3 × 3 × 3 k-point grid. This approximation uses a reference element (RE), whose phonon calculations are less computationally demanding and with a similar phonon density of states to that of the heavier atom (X). Then, the ratio between the zero-point energies for a specific phase becomes

 
image file: d5cp04548g-t8.tif(5)
where R is the nearest neighbor distance of the solid. This simple model has proven to be in good agreement with the vibrational ZPE obtained from the Debye temperature for the alkali and coinage metals.21 However, care must be taken in choosing the right reference element with a similar phonon dispersion, such as lithium for the Group 1 elements.

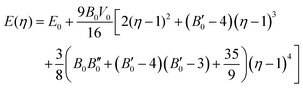
To calculate the bulk modulus at the minimum energy structure, we first fix the value of γ = γ(a) to the optimized value (shown in Table 1 for each metal) and then proceed to vary the value of a around the minimum. The energy variation with respect to the volume, V, is then fitted into the fourth-order Birch-Murnaghan equation of state (BM-EOS),69,70

 
image file: d5cp04548g-t9.tif(6)
where η = (V0/V)2/3, E0, and V0 are the total energy and equilibrium volume, respectively, B0 is the bulk modulus at zero pressure and image file: d5cp04548g-t10.tif its first and second pressure derivative, respectively. We notice that a fit to a third-order BM-EOS71 is not sufficient in some cases leading to larger deviations from the fourth-order result. We also include the bulk moduli obtained from a fourth-order polynomial fit in B(V) leading to results close to our BM-EOS values.

Table 1 Properties of optimized structures for Li, Na, and Fr. Lattice parameter a for the common bi-lattice is given in Å, and cohesive and zero-point energies are in kJ mol−1. The deviation in γ is with respect to the ideal hard-sphere value with γbccideal = 1, image file: d5cp04548g-t13.tif. The nearest neighbor distance for the chosen unit cell is RNN = a for the closed-packed structures (assuming image file: d5cp04548g-t14.tif for hcp), while for bcc we have image file: d5cp04548g-t15.tif
Metal a hcp a fcc a bcc Δγhcp Δγfcc Δγbcc E hcpcoh E fcccoh E bcccoh E hcp0 E fcc0 E bcc0
Li LDA 2.9943 2.9873 3.3653 0.0027 0.0026 0.0000 173.7099 173.7508 173.5187
PBE 3.0632 3.0621 3.4443 −0.0012 −0.0005 −0.0020 155.1413 155.1418 154.9859 3.658 3.971 3.842
PBE-D3 2.9549 2.9599 3.3197 0.0024 −0.0002 0.0012 172.2305 172.2587 172.0417
PBEsol 3.0627 3.0615 3.4433 −0.0012 −0.0003 −0.0018 162.0904 162.0913 161.9339
PBEsol + SO 3.0618 3.0619 3.4355 −0.0031 −0.0003 0.0034 162.0775 162.0786 161.9217
Na LDA 3.6118 3.6112 4.0886 0.0014 0.0013 −0.0151 123.2987 123.3046 123.2073
PBE 3.7419 3.7436 4.1966 0.0006 −0.0023 0.0004 109.1666 109.1563 109.0883 [1.488] [1.617] [1.565]
PBE-D3 3.6368 3.6364 4.0891 0.0017 0.0010 −0.0027 124.5986 124.6103 124.6097
PBEsol 3.7186 3.7201 4.1713 0.0007 0.0000 0.0001 111.2742 111.2743 111.2035
PBEsol + SO 3.7187 3.7185 4.1709 0.0007 −0.0014 0.0002 111.2772 111.2770 111.2065
Fr LDA 5.0920 5.1199 5.7048 −0.0009 −0.0006 0.0009 78.5290 78.3809 78.2760
PBE 5.4485 5.4855 6.1478 0.0150 0.0014 0.0003 61.0826 61.0616 60.8333 [0.268] [0.292] [0.283]
PBE-D3 5.3706 5.3660 6.0073 −0.0043 0.0007 −0.0001 70.6475 70.6072 70.4832
PBEsol 5.3178 5.3124 5.9629 −0.0052 0.0027 0.0035 70.4832 68.9475 68.7412
PBEsol + SO 5.2804 5.2707 5.9923 −0.0056 0.0005 −0.0227 70.0579 70.0329 69.8153


The Debye temperature used in this work is obtained from the equation72

 
image file: d5cp04548g-t11.tif(7)
where rs is the Wigner–Seitz radius in a.u., B0 the bulk modulus in GPa, and M is the atomic mass in amu. This property can be then used to calculate the vibrational ZPE through
 
image file: d5cp04548g-t12.tif(8)

Results and discussions

Table 1 shows the lattice parameters for lithium, sodium and francium where the values of γ are presented as the deviation from the ideal values for each lattice, that is, ΔXγ = γXoptγXideal, with X = {bcc,fcc,hcp}. As the largest deviation found for β is ΔβX = βXoptβXideal = −0.0049 due numerical noise, the difference with respect to the ideal values is omitted for this lattice parameter in our discussion.

The quality of our DFT approximation applied can be evaluated from the available experimental data for both lithium and sodium. For bcc lithium we have an experimental nearest neighbor distance of RNN = 3.023 Å,24 a cohesive energy of Ecoh = 158 kJ mol−1,73 and a bulk modulus of B = 12.95 GPa (for 7-Li) from Felice et al.74 or 12.65 GPa from Anderson and Swenson75 (extrapolated to 0 K). These are in very good agreement with our PBEsol + SO results of 2.972 Å, 158.1 kJ mol−1 (including ZPE) and 13.4 GPa respectively (see Tables 1 and 2), albeit the change of the bulk modulus due to spin–orbit coupling is most likely overestimated. Here we took the bcc phase for comparison, but note that the experimental phase for lithium has also been postulated to be a Barlow 9R structure with an (ABACABAC) sequence of hexagonal layers (often referred to as stacking faults) as deducted from neutron diffraction studies at low temperatures.25,76 We can interpret this sequence as a mixture of image file: d5cp04548g-t16.tif of hcp with image file: d5cp04548g-t17.tif of fcc phase.77 We have recently shown that different Barlow packings78 lie close in energy and vary little in their basic properties with varying sequence of hexagonal layers, and the main properties can accurately be determined from the two limiting cases hcp and fcc alone together with their packing fraction.79 Indeed, our data show the fcc and hcp cohesive energies are very close. Furthermore, the low temperature phase of lithium is still being debated as the possible phases are quasi-degenerate in energy.26 We also mention that the PBE + D3 results including long-range dispersion also give very good results, albeit the cohesive energy is overestimated by 6.5%. They do bring the bcc phase closer to the close-packed structures, albeit this effect is quite small. Dispersion effects are important as they contribute 9.9% to the cohesive energy of lithium.

Table 2 Bulk moduli B0 in GPa and corresponding unit cell volumes V0 in Å3 at the optimized stable structures. BM: derived from a fourth-order Birch–Murnaghan fit. P: from a fourth-order polynomial fit in B(V)
Metal B hcp0 (BM) B fcc0 (BM) B bcc0 (BM) B hcp0 (P) B fcc0 (P) B bcc0 (P) V hcp0 V fcc0 V bcc0
Li LDA 14.04 16.14 14.15 14.11 16.11 14.20 38.04 37.86 38.12
PBE 13.99 12.84 13.38 14.01 12.80 13.51 40.65 40.58 40.77
PBE-D3 16.17 12.64 15.84 16.11 13.07 15.81 36.61 36.66 36.74
PBEsol 13.75 12.49 12.79 13.77 12.45 12.84 40.63 40.55 40.77
PBEsol + SO 15.21 15.40 13.29 15.21 15.48 13.41 40.64 40.50 40.79
Na LDA 8.70 10.63 9.82 8.68 10.63 9.87 66.68 66.83 66.86
PBE 7.65 7.61 7.88 7.66 7.60 7.65 74.13 74.02 73.96
PBE-D3 8.40 9.81 11.74 8.37 9.73 10.70 68.19 68.03 68.38
PBEsol 7.65 8.08 8.46 7.66 8.06 8.40 72.71 72.66 72.57
PBEsol + SO 7.64 8.22 7.91 7.65 8.24 7.91 72.71 72.65 72.57
Fr LDA 2.42 2.64 2.95 2.43 2.64 2.92 186.64 189.75 185.65
PBE 2.62 1.95 1.89 2.58 1.95 1.89 231.30 233.73 232.45
PBE-D3 1.84 2.46 2.91 1.77 2.44 3.01 218.79 218.64 218.10
PBEsol 1.68 1.75 2.03 1.86 1.78 2.08 211.97 211.18 213.31
PBEsol + SO 2.08 2.57 2.67 2.08 2.58 2.71 207.50 207.36 209.36


Concerning sodium we have the experimental values for the nearest neighbor distance of RNN = 3.766 Å (at 20 K),80 cohesive energy of Ecoh = 107 kJ mol−1,73 and bulk moduli of B = 7.7 GPa (extrapolated to 0 K),81 so we can compare to our bcc results which are 3.612 Å, 109.6 kJ mol−1 (corrected for ZPE) and 7.9 GPa respectively for the PBEsol + SO functional. This is again in very good agreement with experiment. However, as for lithium, the low-temperature phase could be a Barlow 9R structure rather than bcc. Again, PBE-D3 overestimates slightly the cohesive energy by 2.6%. Except for the bulk moduli, SO effects are rather small for both lithium and sodium as one expects. LDA overestimates cohesive energies and are included only for comparison. We note that the performance of various DFT approximations for metals including the Group 1 elements has been discussed before, and the good overall performance of PBEsol for the alkali metals up to Cs has also been noted.82,83 This is clearly seen in the Fig. 2–4.


image file: d5cp04548g-f2.tif
Fig. 2 Trend in cohesive energies (in kJ mol−1) for the Group 1 metals for the fcc and bcc structures using various density functionals. Data for K, Rb and Cs are taken from ref. 21 and 83. Experimental data are taken from ref. 83. Exp. + ZPVE is the cohesive energy with added ZPVE for better comparison with the density functional results which are not corrected for ZPVE. The dissociation energies for the Group 1 dimers are also shown for comparison (experimental data for Li2 to Cs2 from ref. 84 and 85, calculated data for Fr2 from ref. 14).

image file: d5cp04548g-f3.tif
Fig. 3 Trend in nearest neighbor distances (in Å) for the Group 1 metals for the fcc and bcc structures using various density functionals. Data for K, Rb and Cs are from ref. 21 and 82. Experimental data are taken from from ref. 82. The equilibrium distances for the Group 1 dimers are also shown for comparison (experimental data for Li2 to Rb2 from ref. 84, calculated data for Cs2 and Fr2 from ref. 14).

image file: d5cp04548g-f4.tif
Fig. 4 Trend in bulk moduli (in GPa) for the Group 1 metals (for the bcc structure only) using various density functionals. Data for K, Rb and Cs are from ref. 82. Experimental data from ref. 82.

Turning now to the relative stability of the three different phases we notice that for PBEsol + SO including ZPE corrections we have the sequences in cohesive energies (in kJ mol−1, ZPE included) 158.420 (hcp) > 158.108 (fcc) > 158.080 (bcc) for lithium, and 109.790 (hcp) > 109.660 (fcc) > 109.642 (bcc) for sodium. Thus these three phases (and the infinitely many close-packed Barlow structures) can be seen as being quasi-degenerate with a slight preference for the hcp structure at this level of theory. In our previous paper79 we iterated the fact that quasi-degeneracy between fcc and hcp is most likely a condition for the (rather rare) Barlow sequences to be observed experimentally. This quasi-degeneracy is maintained at the PBE-D3 level of theory. It is well known that at higher temperatures the bcc phase becomes dominant in accordance with Landau theory,86 which can be traced back to vibrational entropy contributions to the free energy. This gives a consistent picture of what is observed experimentally for the Group 1 elements.23,24,80 PBE-D3 overestimates the cohesive energies of the Group 1 metals, which could well be due to an overestimation of electron correlation effects in the combination of the PBE functional53 with Grimme's dispersion correction.42 Nevertheless, we see that dispersion corrections lead to a substantial stabilization of the Group 1 elements, i.e. by approx. 16% for the cohesive energy of the three phases of francium.

For francium, we see again a quasi-degeneracy of the two closed packed structures with the same sequence compared to lithium and sodium, i.e. (in kJ mol−1) 69.790 (hcp) > 69.741 (fcc) > 69.532 (bcc) at the PBEsol + SO level of theory including vibrational corrections. Hence we predict that in a hypothetical experiment for bulk francium we would observe a low temperature Barlow structure (fcc, hcp or 9R for example) followed by a phase transition to bcc at higher temperatures. In this case francium is not special compared to all the other group 1 elements (beside its nuclear instability), albeit SO effects become a bit more sizable stabilizing both fcc and bcc in contrast to hcp.

Concerning periodic trends we see that francium sits below the cohesive energy of cesium with 77.6 kJ mol−1, thus continuing the trend of decreasing stability of the solid state down the (currently known) Group 1 elements similar to the trend in dissociation energies for the diatomic compounds, see Fig. 2. In this respect, cesium has a nearest neighbor distance of RNN = 5.235 Å73 close to the one we calculate for hcp francium of 5.280 Å, mainly due to scalar relativistic effects (note that RNN < a because image file: d5cp04548g-t18.tif), see Fig. 3. Thus we observe a trend of increasing bond distances down the Group 1 elements up to Cs, with Fr being the exception. This is in line with the increasing bond distances and dissociation energies of the Group 1 diatomics.84 For the bulk moduli shown in Fig. 4 we see a smooth decreasing trend from Li to Fr, with LDA deviating substantially from the experimental values. Here we note that the (not yet discovered) superheavy element 119 is the first element breaking this trend due to strong scalar relativistic effects.87–91 We should also mention a previous study on the Group 1 metals by Koufos and Papaconstantopoulos.20 They used a linearized augmented plane wave (LAPW) method together with LDA as well as GGA to discuss trends within the Group 1 element properties obtaining results similar to ours. However, they report energy differences between the different phases rather than directly the cohesive energies and did not include SO effects in their optimizations or ZPE corrections required for the discussion of the small energy differences between the different lattices.

From the volume per atom of the hcp unit cell of 207.50/2 = 103.75 Å3 and the molar mass of 223 g mol−1, we can estimate a density at ρ = 3.57 g cm−3 at 0 K much larger than the estimated value92 of 2.458 g cm−3 (at room temperature). However, a simple estimate from the density and molar mass of cesium (ρ = 1.886 g cm−3, M = 132.91 g mol−1) we can estimate an upper bound for cesium at room temperature if the volumes of the two metals are close to each other, i.e. ρFrρCsVFr/VCs = 3.16 g cm−3, closer to our value. Finally, Table 3 contains additional useful data such as Wigner–Seitz radii, Debye temperatures and ZPEs obtained from eqn (8). These estimated ZPEs are in reasonable agreement to what we believe the more accurate data listed in Table 1.

Table 3 Wigner–Seitz radii in atomic units, Debye temperatures, calculated from eqn (7) in K, and zero point energies, calculated from eqn (8) in kJ mol−1, are obtained from the bulk modulus in the Birch–Murnagham equation of state
Metal r hcps r fccs r bccs Θ hcp Θ fcc Θ bcc E hcp0 E fcc0 E bcc0
Li LDA 3.129 3.124 3.131 329.38 352.97 330.82 3.081 3.302 3.094
PBE 3.199 3.198 3.203 332.54 318.44 325.43 3.111 2.979 3.044
PBE-D3 3.089 3.094 3.093 351.27 310.83 347.91 3.286 2.907 3.254
PBEsol 3.199 3.197 3.202 329.67 314.13 318.06 3.084 2.938 2.975
PBEsol + SO 3.199 3.195 3.203 346.77 348.68 324.27 3.244 3.261 3.033
Na LDA 3.773 3.775 3.775 157.24 173.90 167.10 1.471 1.627 1.563
PBE 3.909 3.907 3.906 150.06 149.67 150.17 1.404 1.400 1.405
PBE-D3 3.801 3.799 3.804 155.09 167.56 183.39 1.451 1.567 1.715
PBEsol 3.883 3.882 3.880 149.59 153.69 157.29 1.399 1.438 1.471
PBEsol + SO 3.883 3.883 3.881 149.47 155.09 152.09 1.398 1.451 1.423
Fr LDA 5.317 5.347 5.310 31.63 33.13 34.85 0.296 0.310 0.326
PBE 5.713 5.732 5.721 34.08 29.45 28.99 0.319 0.276 0.271
PBE-D3 5.609 5.607 5.606 28.31 32.70 35.59 0.265 0.306 0.333
PBEsol 5.512 5.545 5.560 26.84 27.45 29.61 0.251 0.257 0.277
PBEsol + SO 5.508 5.507 5.523 29.81 33.17 33.84 0.279 0.310 0.317


Conclusions

We obtained of what we believe the most accurate data yet for the solid-state properties of francium at 0 K by using DFT including SO corrections. We calibrated our results on calculations for lithium and sodium where experimental data are available. We found that the PBEsol functional including SO coupling gives excellent results in comparison with experimental data for both lithium and sodium, adding confidence to our results for francium. We predict that bulk francium is very similar to the rest of the Group 1 metals adopting a low temperature closed packed structure (fcc, hcp or Barlow structures) with bcc occurring at higher temperatures in agreement with Landau theory.86 We recommend the following solid-state values for francium: a nearest neighbor distance of 5.28 Å, cohesive energy of 70 kJ mol−1, a bulk modulus between 2.1 and 2.6 GPa, and a density at 3.57 g cm−3 (at 0 K).

Conflicts of interest

There are no conflicts to declare.

Data availability

Supplementary information (SI): POSCAR files of all optimised structures (18 files in total for Li, Na and Fr with PBE and PBEsol + SO). See DOI: https://doi.org/10.1039/d5cp04548g.

All other data are included in the tables of this article.

Acknowledgements

We like to thank Profs. Heinz Gäggeler and Patrick Steinegger (PSI Villigen) for stimulating discussions.

References

  1. J.-P. Adloff and G. B. Kauffman, Chem. Educ., 2005, 10, 387–394 CAS.
  2. E. Scerri, Nat. Chem., 2009, 1, 670 Search PubMed.
  3. C. F. Liang, P. Paris and R. K. Sheline, Phys. Rev. C:Nucl. Phys., 2001, 64, 034310 CrossRef.
  4. R. W. Gray and W. Ramsay, J. Chem. Soc., Trans., 1909, 95, 1073–1085 RSC.
  5. O. R. Smits, P. Jerabek, E. Pahl and P. Schwerdtfeger, Angew. Chem., Int. Ed., 2018, 57, 9961–9964 Search PubMed.
  6. E. K. Hyde, J. Am. Chem. Soc., 1952, 74, 4181–4184 CrossRef CAS.
  7. J. E. Sansonetti, J. Phys. Chem. Ref. Data, 2007, 36, 497–507 CrossRef CAS.
  8. V. Glasov and V. Koltsov, Akademiia Nauk SSSR, 1979, 68–75 Search PubMed.
  9. A. Lavrukhina, Radiokhimiya (USSR), 1979, 21, 26–28 Search PubMed.
  10. V. V. Oshchapovskii, Russian J. Inorg. Chem., 2014, 59, 561–567 Search PubMed.
  11. C. Cao, R. E. Vernon, W. H. E. Schwarz and J. Li, Front. Chem., 2021, 8, 1–28 Search PubMed.
  12. V. A. Dzuba, V. V. Flambaum and O. P. Sushkov, J. Phys. B: At. Mol. Phys., 1984, 17, 1953 CrossRef CAS.
  13. A. Landau, E. Eliav, Y. Ishikawa and U. Kaldor, J. Chem. Phys., 2001, 115, 2389–2392 CrossRef CAS.
  14. I. S. Lim, P. Schwerdtfeger, B. Metz and H. Stoll, J. Chem. Phys., 2005, 122, 104103 Search PubMed.
  15. M. V. Orna, J. Chem. Educ., 2009, 86, 1364 Search PubMed.
  16. E. Gomez, L. A. Orozco and G. D. Sprouse, Rep. Prog. Phys., 2005, 69, 79 CrossRef.
  17. G. Stancari, S. N. Atutov, R. Calabrese, L. Corradi, A. Dainelli, C. de Mauro, A. Khanbekyan, E. Mariotti, P. Minguzzi, L. Moi, S. Sanguinetti, L. Tomassetti and S. Veronesi, Eur. Phys. J. Special Topics, 2007, 150, 389–392 Search PubMed.
  18. D. Mukherjee, B. K. Sahoo, H. S. Nataraj and B. P. Das, J. Phys. Chem. A, 2009, 113, 12549–12557 Search PubMed.
  19. R. Berger and J. Stohner, WIREs Comput. Mol. Sci., 2019, 9, e1396 Search PubMed.
  20. A. P. Koufos and D. A. Papaconstantopoulos, Int. J. Quantum Chem., 2013, 113, 2070–2077 CrossRef CAS.
  21. A. Robles-Navarro, P. Jerabek and P. Schwerdtfeger, Angew. Chem., Int. Ed., 2024, 63, e202313679 CrossRef CAS PubMed.
  22. W. M. Haynes, CRC handbook of chemistry and physics, CRC press, Boca Raton, 2016 Search PubMed.
  23. C. Barrett, Acta Cryst., 1956, 9, 671–677 Search PubMed.
  24. A. W. Overhauser, Phys. Rev. Lett., 1984, 53, 64–65 Search PubMed.
  25. R. Berliner, H. G. Smith, J. R. D. Copley and J. Trivisonno, Phys. Rev. B:Condens. Matter Mater. Phys., 1992, 46, 14436–14447 Search PubMed.
  26. G. J. Ackland, M. Dunuwille, M. Martinez-Canales, I. Loa, R. Zhang, S. Sinogeikin, W. Cai and S. Deemyad, Science, 2017, 356, 1254–1259 CrossRef CAS PubMed.
  27. A. Robles-Navarro, S. Cooper, O. R. Smits and P. Schwerdtfeger, J. Phys. Chem. C, 2025, 129, 8389–8394 CrossRef CAS.
  28. H. Stoll, B. Paulus and P. Fulde, Chem. Phys. Lett., 2009, 469, 90–93 Search PubMed.
  29. L. Schimka, R. Gaudoin, J. C. V. Klime, M. Marsman and G. Kresse, Phys. Rev. B:Condens. Matter Mater. Phys., 2013, 87, 214102 CrossRef.
  30. V. L. Sliwko, P. Mohn, K. Schwarz and P. Blaha, J. Phys.: Cond. Mater., 1996, 8, 799 Search PubMed.
  31. J. E. Jaffe, Z. Lin and A. C. Hess, Phys. Rev. B:Condens. Matter Mater. Phys., 1998, 57, 11834–11837 Search PubMed.
  32. N. Christensen and D. Novikov, Solid State Commun., 2001, 119, 477–490 CrossRef CAS.
  33. P. Jerabek, A. Burrows and P. Schwerdtfeger, Chem. Commun., 2022, 58, 13369–13372 RSC.
  34. J. C. Upadhyaya, S. Wang and R. A. Moore, Can. J. Phys., 1980, 58, 905–911 CrossRef CAS.
  35. E. Arnold, W. Borchers, H. T. Duong, P. Juncar, J. Lerme, P. Lievens, W. Neu, R. Neugart, M. Pellarin, J. Pinard, J. L. Vialle, K. Wendt and ISOLDE, J. Phys. B: At., Mol. Opt. Phys., 1990, 23, 3511 Search PubMed.
  36. J. Desclaux, At. Data Nucl. Data Tables, 1973, 12, 311–406 CrossRef CAS.
  37. G. V. O. K. Lejaeghere, V. Van Speybroeck and S. Cottenier, Crit. Rev. Solid State Mater. Sci., 2014, 39, 1–24 Search PubMed.
  38. P. J. Hasnip, K. Refson, M. I. J. Probert, J. R. Yates, S. J. Clark and C. J. Pickard, Philos. Trans. R. Soc., A, 2014, 372, 20130270 Search PubMed.
  39. A. M. Teale, T. Helgaker, A. Savin, C. Adamo, B. Aradi, A. V. Arbuznikov, P. W. Ayers, E. J. Baerends, V. Barone, P. Calaminici, E. Cancès, E. A. Carter, P. K. Chattaraj, H. Chermette, I. Ciofini, T. D. Crawford, F. De Proft, J. F. Dobson, C. Draxl, T. Frauenheim, E. Fromager, P. Fuentealba, L. Gagliardi, G. Galli, J. Gao, P. Geerlings, N. Gidopoulos, P. M. W. Gill, P. Gori-Giorgi, A. Görling, T. Gould, S. Grimme, O. Gritsenko, H. J. A. Jensen, E. R. Johnson, R. O. Jones, M. Kaupp, A. M. Köster, L. Kronik, A. I. Krylov, S. Kvaal, A. Laestadius, M. Levy, M. Lewin, S. Liu, P.-F. Loos, N. T. Maitra, F. Neese, J. P. Perdew, K. Pernal, P. Pernot, P. Piecuch, E. Rebolini, L. Reining, P. Romaniello, A. Ruzsinszky, D. R. Salahub, M. Scheffler, P. Schwerdtfeger, V. N. Staroverov, J. Sun, E. Tellgren, D. J. Tozer, S. B. Trickey, C. A. Ullrich, A. Vela, G. Vignale, T. A. Wesolowski, X. Xu and W. Yang, Phys. Chem. Chem. Phys., 2022, 24, 28700–28781 Search PubMed.
  40. S. Grimme, J. Antony, S. Ehrlich and H. Krieg, J. Chem. Phys., 2010, 132, 154104 CrossRef PubMed.
  41. S. Grimme, S. Ehrlich and L. Goerigk, J. Comput. Chem., 2011, 32, 1456–1465 Search PubMed.
  42. J. Moellmann and S. Grimme, J. Phys. Chem. C, 2014, 118, 7615–7621 CrossRef CAS.
  43. C. Cao, R. E. Vernon, W. H. E. Schwarz and J. Li, Front. Chem., 2021, 8, 1–28 Search PubMed.
  44. A. Türler, R. Eichler and A. Yakushev, Nucl. Phys. A, 2015, 944, 640–689 Search PubMed.
  45. L. Trombach, S. Ehlert, S. Grimme, P. Schwerdtfeger and J.-M. Mewes, Phys. Chem. Chem. Phys., 2019, 21, 18048–18058 Search PubMed.
  46. A. Robles-Navarro, S. Cooper, A. W. Hauser, F. Zehetmair, O. R. Smits and P. Schwerdtfeger, Phys. Rev. B, 2026, 113, 024116 Search PubMed.
  47. A. Robles-Navarro, S. Cooper, A. A. Buchheit, J. K. Busse, A. Burrows, O. Smits and P. Schwerdtfeger, J. Chem. Phys., 2025, 163, 094104 CrossRef CAS PubMed.
  48. B. Shahriari, K. Swersky, Z. Wang, R. P. Adams and N. De Freitas, Proc. IEEE, 2015, 104, 148–175 Search PubMed.
  49. R. Garnett, Bayesian optimization, Cambridge University Press, 2023 Search PubMed.
  50. J. Nocedal and S. J. Wright, Numerical optimization, Springer, 2006 Search PubMed.
  51. P. A. M. Dirac, Math. Proc. Cambridge Phil. Soc., 1930, 26, 376–385 CrossRef CAS.
  52. S. H. Vosko, L. Wilk and M. Nusair, Can. J. Phys., 1980, 58, 1200–1211 Search PubMed.
  53. J. P. Perdew, K. Burke and M. Ernzerhof, Phys. Rev. Lett., 1996, 77, 3865–3868 CrossRef CAS PubMed.
  54. J. P. Perdew, A. Ruzsinszky, G. I. Csonka, O. A. Vydrov, G. E. Scuseria, L. A. Constantin, X. Zhou and K. Burke, Phys. Rev. Lett., 2008, 100, 136406 CrossRef PubMed.
  55. G. Kresse and J. Hafner, Phys. Rev. B:Condens. Matter Mater. Phys., 1993, 47, 558–561 Search PubMed.
  56. G. Kresse and J. Hafner, Phys. Rev. B:Condens. Matter Mater. Phys., 1994, 49, 14251–14269 CrossRef CAS PubMed.
  57. G. Kresse and J. Furthmuller, Comput. Mat. Sci., 1996, 6, 15–50 CrossRef CAS.
  58. G. Kresse and J. Furthmüller, Phys. Rev. B:Condens. Matter Mater. Phys., 1996, 54, 11169–11186 Search PubMed.
  59. P. E. Blöchl, Phys. Rev. B:Condens. Matter Mater. Phys., 1994, 50, 17953–17979 CrossRef PubMed.
  60. G. Kresse and D. Joubert, Phys. Rev. B:Condens. Matter Mater. Phys., 1999, 59, 1758–1775 CrossRef CAS.
  61. P. E. Blöchl, O. Jepsen and O. K. Andersen, Phys. Rev. B:Condens. Matter Mater. Phys., 1994, 49, 16223–16233 CrossRef PubMed.
  62. C. K. Williams and C. E. Rasmussen, Gaussian processes for machine learning, MIT press, Cambridge, MA, 2006, vol. 2 Search PubMed.
  63. F. Pedregosa, G. Varoquaux, A. Gramfort, V. Michel, B. Thirion, O. Grisel, M. Blondel, P. Prettenhofer, R. Weiss and V. Dubourg, et al. , J. Mach. Learning Res., 2011, 12, 2825–2830 Search PubMed.
  64. J. Mockus, Towards Global Opt., 1998, 2, 117 Search PubMed.
  65. D. R. Jones, M. Schonlau and W. J. Welch, J. Global Opt., 1998, 13, 455–492 Search PubMed.
  66. J. Wilson, F. Hutter and M. Deisenroth, Adv. Neural Inf. Processing Syst., 2018, 31, 1–12 Search PubMed.
  67. R. M. Badger, J. Chem. Phys., 1934, 2, 128–131 Search PubMed.
  68. A. Togo and I. Tanaka, Scr. Mater., 2015, 108, 1–5 Search PubMed.
  69. F. Birch, Phys. Rev., 1947, 71, 809 CrossRef CAS.
  70. F. Birch, J. Geophys. Res.: Solid Earth, 1978, 83, 1257–1268 Search PubMed.
  71. J. Hama and K. Suito, J. Phys.: Cond. Matter, 1996, 8, 67 CrossRef CAS.
  72. V. L. Moruzzi, J. F. Janak and K. Schwarz, Phys. Rev. B:Condens. Matter Mater. Phys., 1988, 37, 790–799 Search PubMed.
  73. C. Kittel, Introduction to Solid State Physics, John Wiley & Sons, Inc, Hoboken, NJ, 2005, vol. 3 Search PubMed.
  74. R. A. Felice, J. Trivisonno and D. E. Schuele, Phys. Rev. B, 1977, 16, 5173–5184 CrossRef CAS.
  75. M. S. Anderson and C. A. Swenson, Phys. Rev. B:Condens. Matter Mater. Phys., 1985, 31, 668–680 Search PubMed.
  76. C. M. McCarthy, C. W. Tompson and S. A. Werner, Phys. Rev. B:Condens. Matter Mater. Phys., 1980, 22, 574–580 Search PubMed.
  77. S. Cooper, A. Robles-Navarro, O. R. Smits and P. Schwerdtfeger, J. Chem. Phys., 2025, 162, 014105 CrossRef CAS PubMed.
  78. W. Barlow, Nature, 1883, 29, 205–207 CrossRef.
  79. S. Cooper, A. Robles-Navarro, O. R. Smits and P. Schwerdtfeger, J. Phys. Chem. Lett., 2024, 15, 8387–8392 CrossRef CAS PubMed.
  80. R. Berliner, O. Fajen, H. G. Smith and R. L. Hitterman, Phys. Rev. B:Condens. Matter Mater. Phys., 1989, 40, 12086–12097 CrossRef CAS PubMed.
  81. K. J. Dunn and A. L. Ruoff, Phys. Rev. B, 1974, 10, 2271–2274 CrossRef CAS.
  82. G. I. Csonka, J. P. Perdew, A. Ruzsinszky, P. H. T. Philipsen, S. Lebègue, J. Paier, O. A. Vydrov and J. G. Ángyán, Phys. Rev. B:Condens. Matter Mater. Phys., 2009, 79, 155107 CrossRef.
  83. S. Jana, K. Sharma and P. Samal, J. Chem. Phys., 2018, 149, 164703 Search PubMed.
  84. K. P. Huber and G. Herzberg, Molecular Spectra and Molecular Structure IV. Constants of Diatomic Molecules, Van Nostrand Reinhold Company, New York, 1979 Search PubMed.
  85. W. Weickenmeier, U. Diemer, M. Wahl, M. Raab, W. Demtröder and W. Muller, J. Chem. Phys., 1985, 82, 5354–5363 Search PubMed.
  86. S. Alexander and J. McTague, Phys. Rev. Lett., 1978, 41, 702–705 Search PubMed.
  87. P. Schwerdtfeger, Relativistic Effects in Molecular Structure of S-and P-Block Elements, ed. A. Domenicano and I. Hargittai, Springer, Netherlands, Dordrecht, 2002, pp. 169–190 Search PubMed.
  88. C. Thierfelder, P. Schwerdtfeger, A. Koers, A. Borschevsky and B. Fricke, Phys. Rev. A:At., Mol., Opt. Phys., 2009, 80, 022501 Search PubMed.
  89. V. Pershina, A. Borschevsky and J. Anton, Chem. Phys., 2012, 395, 87–94 CrossRef CAS.
  90. T. Hangele, M. Dolg and P. Schwerdtfeger, J. Chem. Phys., 2013, 138, 174113 Search PubMed.
  91. A. R. Saetgaraev, L. V. Skripnikov, I. I. Tupitsyn, D. P. Usov, A. V. Oleynichenko, I. M. Savelyev, N. K. Dulaev and V. M. Shabaev, Phys. Rev. A, 2025, 112, 052805 Search PubMed.
  92. J. W. Arblaster, Selected values of the crystallographic properties of elements, ASM International, Ohio, 2018 Search PubMed.

This journal is © the Owner Societies 2026
Click here to see how this site uses Cookies. View our privacy policy here.