A computational protocol for 15N NMR parameter prediction in aqueous peptide ensembles using optimized DFT methods
Abstract
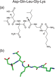
Accurate prediction of 15N NMR chemical shifts in flexible peptide systems remains challenging. We present an ensemble-based computation protocol combining density functional theory with replica-exchange molecular dynamics. This approach outperformed single-structure predictions with deviations of 2.5–5.6 ppm for most residues and 1.1 ppm for leucine in a model peptide.

Please wait while we load your content...