Facile construction of a covalent triazine framework as an anode for ultra-long cycle life sodium-ion batteries
Abstract
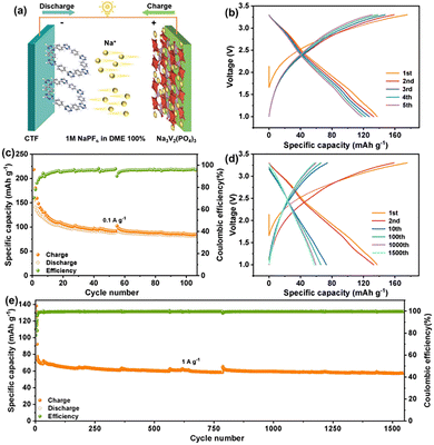
A covalent triazine framework (CTF) was synthesized via a typical solution synthesis route and applied as an anode for sodium-ion batteries (SIBs). The extended conjugate structure of CTF not only endows structural stability and limited solubility, but also improves electronic conductivity and offers numerous active sites. Meanwhile, the CTF displays a Na+ storage capacity of 82.6 mAh g−1 after 9000 cycles at 2.0 A g−1, indicating a superior long-term cycling stability. The Na3V2(PO4)3//CTF full cell demonstrates a capacity of 57.6 mAh g−1 after 1500 cycles at 1.0 A g−1.

Please wait while we load your content...