Mediating the carbon black–natural rubber interface with thioamide-functionalized polysulfide for energy-saving composites†
Abstract
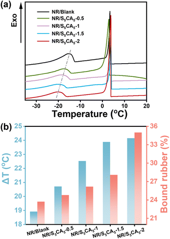
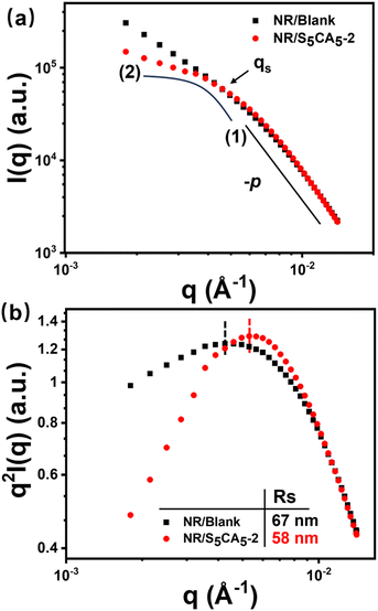
Interfacial modification of carbon black (CB)-filled natural rubber (NR) composites is crucial for achieving uniform CB dispersion and robust interfacial interaction, with the goals of improving mechanical properties and reducing hysteresis loss. In this study, we reported a one-step synthesis of thioamide-functionalized polysulfide (SCA) via inverse vulcanization of sulfur with cyclohexylamine and the simultaneous conversion of amine to thioamide groups. SCA could serve as a novel interfacial modifier for NR/CB composites, in which thioamide groups form robust hydrogen bonds with the oxygen-containing groups on the CB surface, and the polysulfide fragments cleave and covalently couple with NR, enabling the establishment of SCA-mediated bridges between NR and CB. Consequently, the incorporation of SCA remarkably suppresses CB aggregation and enhances interfacial interaction, resulting in a substantial decrease in the hysteresis loss of the composites. More importantly, the effects of SCA molecular structure on the composite structure and properties are systematically investigated. The thioamide content is found to be critical for improving CB dispersion within the composites, while the reactivity between NR and polysulfide fragments in SCA is the dominant factor governing interfacial interaction.
- This article is part of the themed collections: Journal of Materials Chemistry A HOT Papers and Celebrating 30 years of materials science and engineering at South China University of Technology

Please wait while we load your content...