 Open Access Article
 Open Access Article
      
        
          
            S. I. 
            Sadovnikov
          
        
      a, 
      
        
          
            A. I. 
            Gusev
          
        
      *a, 
      
        
          
            A. V. 
            Chukin
          
        
      b and 
      
        
          
            A. A. 
            Rempel
          
        
      a
      
aInstitute of Solid State Chemistry, Ural Branch of the Russian Academy of Sciences, Ekaterinburg 620990, Russia. E-mail: gusev@ihim.uran.ru
      
bUral Federal University named after the First President of Russia B.N. Yeltsin, Ekaterinburg, 620002, Russia
    
First published on 24th January 2018
Correction for ‘High-temperature X-ray diffraction and thermal expansion of nanocrystalline and coarse-crystalline acanthite α-Ag2S and argentite β-Ag2S’ by S. I. Sadovnikov et al., Phys. Chem. Chem. Phys., 2016, 18, 4617–4626.
The study published in this Physical Chemistry Chemical Physics paper contains new experimental X-ray diffraction data, differential thermal and thermogravimetric analysis (DTA-DTG) results and data on the acanthite–argentite phase transformation enthalpy. This Physical Chemistry Chemical Physics paper was accepted before the publication of ref. 1 but published after ref. 1. Therefore ref. 1 should have been cited in this Physical Chemistry Chemical Physics paper.
The authors regret not giving the correct attribution for Fig. 4, 6, 7, 8 and 9 in the paper, which were reproduced for the readers' information. The figures are reproduced below with the correct copyright permission text.
|  | ||
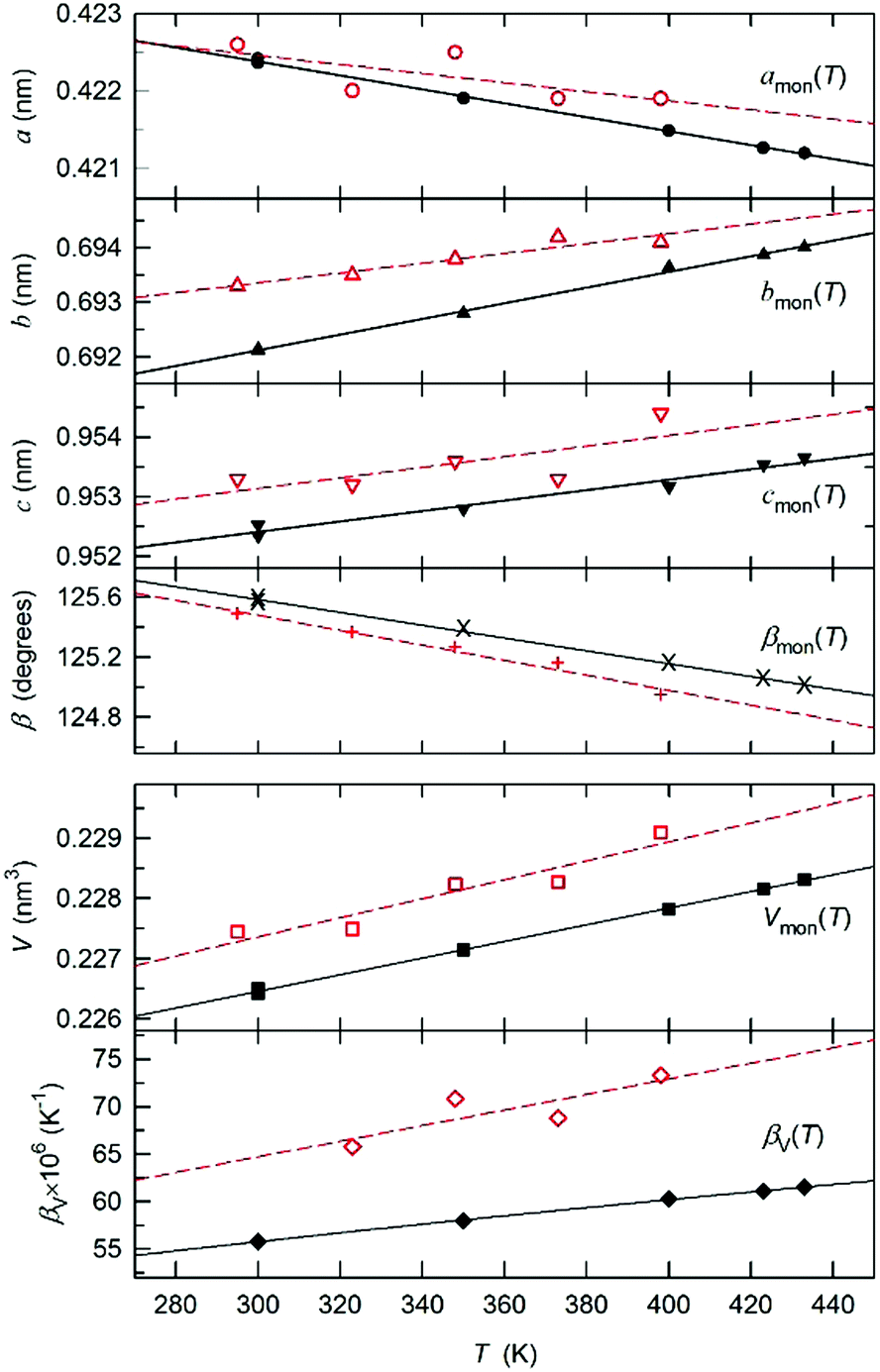
| Fig. 4  The effect of temperature T on the unit cell parameters a, b, c, β, and volume V, and on the volumetric thermal expansion coefficient βV of coarse- and nanocrystalline acanthite. The approximation of the experimental data by the solid line and the closed symbols (●), (▲), (▼), (×), (■), and (♦) corresponds to coarse-crystalline acanthite and the approximation by the dotted line and the open symbols (  ), (  ), (  ), (  ), (  ), and (  ) corresponds to nanocrystalline acanthite. Reproduced from ref. 1 with permission from Springer. | ||
|  | ||
| Fig. 6 Evolution of XRD patterns of coarse-crystalline argentite β-Ag2S in the temperature range of 446–623 K. The inset shows a systematic displacement of the (200) diffraction reflection of bcc argentite with increase of measuring temperature. Reproduced from ref. 1 with permission from Springer. | ||
|  | ||
| Fig. 7 Dependence of the lattice constant aarg of argentite β-Ag2S on the temperature T: (1) data of present work; (2), (3), and (4) data,22,24,27 respectively. The approximations of measured lattice constant aarg by the function (10) in the temperature range of 440–660 K is shown by solid lines. Reproduced with some changes from ref. 1 with permission from Springer. | ||
|  | ||
| Fig. 8 Temperature dependence of linear thermal expansion coefficient αarg of argentite β-Ag2S and its approximation by the function (12). Reproduced from ref. 1 with permission from Springer. | ||
|  | ||
| Fig. 9  The temperature dependencies of reduced volume Vun.cell/z (a) and isotropic linear thermal expansion coefficient α (b) of silver sulfide in the of range 300–623 K. At ∼440 K, there take place jumps of the reduced volume and the thermal expansion coefficient α attributed to the first-order acanthite–argentite phase transformation. Isotropic linear thermal expansion coefficient αac-nano ![[thin space (1/6-em)]](https://www.rsc.org/images/entities/char_2009.gif) isotr of nanocrystalline acanthite α-Ag2S is larger than αac ![[thin space (1/6-em)]](https://www.rsc.org/images/entities/char_2009.gif) isotr of coarse-crystalline acanthite. Reproduced with changes from ref. 1 with permission from Springer. | ||
The Royal Society of Chemistry apologises for these errors and any consequent inconvenience to authors and readers.
| This journal is © the Owner Societies 2018 |