An efficient approach to bis-benzoquinonylmethanes on water under catalysis of the bio-derived O-carboxymethyl chitosan

Fatereh Asghari-Haji, Kurosh Rad-Moghadam* and Nosrat O. Mahmoodi
Department of Chemistry, Faculty of Sciences, University of Guilan, PO Box 41335-1914, Rasht, Iran. E-mail: radmm@guilan.ac.ir; Fax: +98 133 333 3262; Tel: +98 133 333 3262

Received 12th December 2015 , Accepted 8th March 2016

First published on 10th March 2016


Abstract

Synthesis of the dyes 3,3′-(arylmethylene)bis(2-hydroxynaphthalene-1,4-diones) was achieved efficiently in mild and metal-free conditions from a pseudo three-component reaction between 2-hydroxynaphthalene-1,4-dione and aldehydes under catalysis of O-carboxymethyl chitosan as a green, available, low-cost, and water-soluble bio-derived catalyst. This method combines the advantages of homogeneous catalysis in aqueous medium with convenient recovery and repeated recycling of the polymeric catalyst. The catalytic action of O-carboxymethyl chitosan is reminiscent of soft catalysis of enzymes and seems to be exerted by proton donating and accepting functions of the ammonium and amino groups arranged along the backbone of the polymeric bio-inspired catalyst.


Introduction

Molecules with the quinone core constitute a very interesting class of organic compounds thanks to their diverse biological activities, significant industrial applications, and striking potential utilities as intermediates in the synthesis of heterocycles.1 Of this class, the 1,4-naphthoquinone derivatives were found to be the key structural motifs of numerous natural products2 and synthetic pharmaceuticals.3 Molecular structures made up of 1,4-naphthoquinone moiety display pronounced medicinal properties such as anticancer,4 antibacterial,5 antifungal,6 antimalarial,7 antiviral,8 anti-inflammatory,9 antiplatelet,10 antiallergic11 and antithrombotic activities.12 In addition, many members of these compounds have shown varying colors.13 For example, 2-hydroxy-1,4-naphthoquinone (HNQ), which is commonly extracted from the leaves of henna plant and given the commercial name of Lawson, is a popular red-orange natural dye, a strong UV absorbent, and an excellent antimicrobial agent.14 It has been used as hair and skin dye for more than 5000 years15 and today is utilized widely in manufacturing of semi-permanent hair dyes mainly due to its natural origin and bio-compatibility.16 These features have spurred research on developing the synthetic variants of the present HNQ-containing compounds with the hope to obtain a library of analogues compounds having diverse properties.

In this context, synthesis of 3,3′-(arylmethylene)bis(2-hydroxynaphthalene-1,4-diones) via the reaction of aldehydes with two equivalents of HNQ have received much attention from chemists in recent years. Since this synthesis is based on an inherently slow and catalyst-demanding reaction, several catalysts, mostly acidic, such as [Et3NH]Cl,17,18 LiCl,19 sulfamic acid,20 and ionic liquids21,22 have been introduced to facilitate this reaction. Moreover, non-conventional techniques such as microwave and ultrasound irradiations were shown to have promotional impacts on these reactions.23 Very recently, L. Wang and co-workers have reported an efficient synthesis of 3,3′-(arylmethylene)bis(2-hydroxynaphthalene-1,4-diones) under catalysis of a lipase.24 Lipases are inexpensive lipoproteins which, depending on their different structures resolved from diverse bio-resources, may show uncharacteristic catalytic activities in addition to their typical esterase action. Catalytic activity of enzymes, such as lipases, decrease in presence of some organic inhibitors or by denaturation at above 60 °C. Moreover, their multiple catalytic activities may lead to formation of side-products. Therefore, development of a robust, environmentally benign, and efficient catalytic system that avoids all of the above drawbacks is highly desirable. Upon recent social consciousness about environmental issues, such developments are required to minimize waste disposal and employ renewable materials. In this respect, application of natural products; in particular biopolymers, for designing catalysts is more desirable.25 Cellulose and chitosan have been the most attractive biopolymers which were considered for this purpose. Chitosan, the second most abundant natural polymer after cellulose has prominent properties such as non-toxicity, biocompatibility, bio-degradability to harmless products, physiological inertness, recyclability, and stability to air and moisture.26 It can activate the nucleophilic as well as electrophilic components of reactions by hydrogen bonding and its interacting electron lone pairs positioned at its heteroatoms.27 This bioproduct has been used as a heterogeneous solid base for efficient catalysis of aldol condensation,28 Knoevenagel condensation,29 Michael addition,30 Biginelli reaction,31 Huisgen [3 + 2]-cycloaddition,32 Suzuki cross-coupling,33 Ullmann reaction34 and Heck reaction.35 It has also been utilized for the synthesis of jasminaldehyde,36 pyridones and phthalazines.37 The poor solubility of unmodified chitosan in both water and organic solvents makes its utilization limited. Indeed, chitosan forms a network of strong intra- and inter-molecular hydrogen bonding between its individual chains that is responsible for the rigid crystalline and low-solubility of this bioderived polymer in many solvents. As a result, a majority of the amino, acetamino and hydroxyl groups which involved in the hydrogen bonding get buried within the structural hierarchy of chitosan fibres where they are not accessible to interact with substrates and so can not take part in catalysis actions. Therefore, considerable efforts have been paid to chemical modification of chitosan aiming at producing either nano-sized chitosan composites or to prepare its functional derivatives which are soluble in water over a wider pH range.38 Water is the most economical and environmentally benign solvent in the world. It induces unique reactivity and selectivity to both in-water and on-water39 reactions owing to its prominent characteristics such as large dielectric constant, high polarity, excellent heat capacity, and strong cohesive strength.

Here we explain a clean and efficient protocol for synthesis of bis-benzoquinonylmethanes via the pseudo three-component reaction between HNQ and aldehydes on-water under catalysis of O-carboxymethyl chitosan.

Experimental section

Reagents and materials

Chitosan with 90% degree of deacetylation and average molecular weight of 2 × 105 was purchased from Acros Organics. Other chemicals were purchased from Merck and Aldrich chemical companies. The 1H NMR (400 MHz) spectra were recorded on a Bruker DRX-400 spectrometer using DMSO-d6 as solvent and the chemical shifts were measured in ppm relative to internal TMS or the deuterated solvent. FT-IR spectra were obtained on a Shimadzu FT-IR 8300 spectrophotometer in KBr wafers. Thermogravimetric analysis (TGA) and differential scanning calorimetry (DSC) studies were carried out under He atmosphere on a SETARAM (SETSYS-1760) thermal analyzer at a heating rate of 20 °C min−1 from 25 to 600 °C. X-ray diffraction (XRD) analysis was done on a Panalytical X'Pert Pro X-ray diffractometer using Cu-Kα radiation of wavelength 1.54 Å. Surface morphologies were examined by VEGA3 SEM. Melting points were determined in open capillary tubes in a Barnstead Electrothermal 9100 BZ circulating oil melting point apparatus. The reaction monitoring was accomplished by TLC on silica gel PolyGram SILG/UV254 plates.

Typical procedure for synthesis of 3,3′-(phenylmethylene)bis(2-hydroxynaphthalene-1,4-dione) (3a)

In a typical procedure for the synthesis of 3,3′-(phenylmethylene)bis(2-hydroxynaphthalene-1,4-dione), a mixture of HNQ (2 mmol), an aromatic aldehyde (1 mmol), and O-carboxymethyl chitosan (O-cm-chitosan) (0.060 g) in H2O/methanol (4[thin space (1/6-em)]:[thin space (1/6-em)]1, 5 mL) was stirred at 70 °C for appropriate time until disappearance of the reactants (as monitored by TLC, Table 5). H2O (3 mL) was added to the slurry of the solid product in H2O/methanol solution. The solids were filtered and the collected filter-cake was washed with hot ethanol to afford the pure product. O-cm-chitosan was simply separated as gel from the filtrate by addition of ethanol (95%, 6 mL). The precipitated gel was filtered and then converted into a powdery solid upon treatment with cold absolute ethanol, filtration and drying at 50 °C. Details concerning the spectroscopic characterization of the products are given in the ESI. The characteristic data for the isolated products were found to be the same as those reported in literature.19,20,24

Preparation of O-cm-chitosan

O-cm-chitosan was prepared according to a previously reported method40 by suspending 1.5 g of chitosan in 100 mL aqueous NaOH solution (33% w/v) at room temperature for 24 h to make it swelled and alkalized. To this suspended mixture was added, while stirring, 20 mL solution of monochloroacetic acid 20% (w/v) in 2-propanol drop-wise within 30 min and the resulting mixture stirred for 6 h at 55 °C. After cooling at room temperature and discarding the 2-propanol phase, an excess of 70% ethanol was added to stop the reaction and the crude solid product was filtered, rinsed sequentially with 70% and absolute ethanol to desalt and dewater the product. The solid product was dried under reduced pressure at 50 °C to give the sodium salt form of O-cm-chitosan. The salt (1 g) was dissolved in 50 mL of dual distilled water and homogenized for 2 h. The solution was centrifuged at 5000 rpm for 15 min to remove the insoluble chitosan. The supernatant solution was collected and purified cm-chitosan sodium salt was precipitated off by adding chilled absolute ethanol to this solution. The precipitated salt of cm-chitosan was separated by centrifugation, dissolved in 100 mL of dilute (0.02 M) hydrochloric acid and stirred for 30 min. The solution was centrifuged at 1000 rpm for 10 min to remove insoluble compounds and then treated with chilled absolute ethanol to precipitate its neutralized cm-chitosan solute. The precipitates were filtered, rinsed with absolute ethanol, and dried under reduced pressure at 40 °C.

1H NMR, FT-IR, XRD and TGA-DSC of the solid are consistent with the structure of cm-chitosan and confirm its formation. Details of the characteristic spectral data are given in the “ESI”. The degree of carboxymethylation of O-cm-chitosan was determined by pH-titration method41 and found to be 0.75.

Preparation of carboxymethyl cellulose

Cellulose was carboxymethylated according to the method of Chen and Park.42 First, 3 g of cellulose and 15 g of sodium hydroxide were added to 100 mL of 2-propanol/water 80/20 (v/v) solution and heated at 60 °C for 1 h, in order to swell and alkalize cellulose. After this step, 20 mL of monochloroacetic acid solution (0.75 g mL−1 in 2-propanol) was added to the reaction mixture during 30 min. The mixture was stirred for 4 h at the same temperature and then 200 mL of ethanol (70%) was added with cooling to room temperature to stop the reaction. The solid was filtered and rinsed sequentially with 70% and absolute ethanol to desalt and dewater the product. Finally, the product was dried in an oven at 50 °C.

Preparation of N-(3-sulfonylbutyl)chitosan

N-(3-Sulfonylbutyl)chitosan, a water soluble derivative of chitosan, was prepared according to the method of Tsai and co-workers.43 Chitosan solution was prepared by adding 0.5 g of chitosan powder to 40 mL of 2% (w/w) acetic acid, stirring for 60 min, and then adding 1,4-butanesultone (7.5 mL) to the solution. The mixture was allowed to react at 60 °C for 6 h and then the reacted solution was poured into acetone to make the product precipitate. The precipitated product was washed sequentially with acetone and methanol, and dried at 50 °C for 24 h.

Results and discussion

We commenced our investigation by optimizing the reaction conditions. In this regard, the synthesis of 3,3′-(phenylmethylene)bis(2-hydroxynaphthalene-1,4-dione) via the reaction of benzaldehyde and HNQ was taken as the model to be performed in the presence of varying catalysts (Scheme 1).
image file: c5ra26580k-s1.tif
Scheme 1 Synthesis of the model product 3,3′-(phenylmethylene)bis(2-hydroxynaphthalene-1,4-dione) (3a).

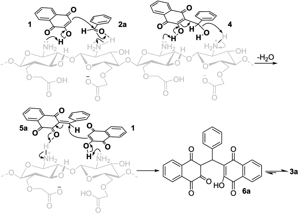
As is shown in Table 1 (entry 1), initial tests of the trial reaction on water in the presence of suspended chitosan gave a fairly high yield of the desired product. This result delineates a surface catalysis mechanism for chitosan in which the substrates get adsorbed on surface of the biopolymer where they become exposed to the catalytic reactions of the functional groups positioned at the surface. Addition of 1% acetic acid to the reaction medium led to dissolution of chitosan and an increase in yield of the product (Table 1, entry 2). To answer the question if acetic acid is the main catalyst responsible for the yield increment, the trial reaction was tested in 1% acetic acid and absence of chitosan. No product was formed in 1% acetic acid at 70 °C within comparable time periods (Table 1, entry 3). This experiment shows that acetic acid at 1% concentration in water, regardless of serving as cosolvent for dissolution of chitosan, has no virtual effect by itself on the rate and yield of the reaction. Notably, neither cellulose, with similar structure to chitosan, nor its acidic water-soluble carboxymethyl derivative appeared effective in the catalyst screening tests (Table 1, entry 4 and 5). Based on these observations, the catalytic function is assayed to the α-amino groups of chitosan which differentiate it from cellulose. Moreover, chitosan do not play merely as a simple base in this catalytic process. As detected by TLC, a mixture of products was obtained when ammonium acetate or triethylamine were used as simple amines to simulate the catalytic role of chitosan (Table 1, entries 6 and 7). Evidently, chitosan involves as a set of binary catalyst sites in this surface catalysis rather than playing as a simple primary amine. At this end, we turned our attention toward using water-soluble derivatives of chitosan, in order to avoid the addition of acetic acid as cosolvent. Of the two water-soluble chitosan derivatives which we selected for catalyst screening, N-(3-sulfonylbutyl)chitosan showed no obvious catalytic activity for the model reaction (Table 1, entry 8). Very likely, the catalytic activity of this compound is blocked by steric constraints of the sulfonylbutyl substituents positioned at the amino groups. However, O-cm-chitosan by possessing both the primary amino groups and the hydrophilic carboxymethyl substituents efficiently catalyzed the model reaction. Efficiency of this zwitter-ionic amino acid in terms of increasing the yield and rate of the model reaction is similar to that of chitosan in 1% acetic acid solution. This finding lends some credit to suggesting a central catalytic role for the amino groups of chitosan. It is likely that the substrates come into close vicinity to each other by stacking on chitosan mainly through hydrogen bonding with its pendant hydroxyl and amino groups. The hydrogen bondings are associated with significant proton transfers between the substrates and chitosan, making the substrates activated toward nucleophilic addition. The dense array of amino and ammonium groups located along the chitosan chain seems to create the main catalytic system for mediating proton transfer from HNQ to the reacting aldehydes. Upon losing a proton to an amino group of chitosan, HNQ gains an enhanced nucleophilic character to quickly add onto the aldehydes which in turn are activated by hydrogen bonding with ammonium groups of chitosan. The resulting adduct of the two substrates undergo dehydration with the aid of chitosan to give the intermediate 3-arylidenenaphthalene-1,2,4-trione 5a. This intermediate reacts in a Michael manner with the second nucleophilic molecule of HNQ 1 to give the adduct 6a which subsequently tautomerizes into the desired product 3a (Scheme 2).

Table 1 Effect of chitosan, cellulose and their modified derivatives on the synthesis of 3,3′-(phenylmethylene)bis(2-hydroxynaphthalene-1,4-dione) at 70 °C (3a)a
Entry Catalyst Yieldb (%) Time
a Reaction condition: HNQ (2 mmol), benzaldehyde (1 mmol), solvent (water/methanol: 4/1 mL), catalyst (60 mg, otherwise stated), 70 °C.b Isolated yields.
1 Chitosan 110 mg 84 50 min
2 Chitosan dissolved in acetic acid 1% 88 45 min
3 Acetic acid 1%, 5 mL 19 24 h
4 Cellulose 35 24 h
5 Carboxymethylcellulose 39 24 h
6 Ammonium acetate, 30 mol% 22 24 h
7 Diethylamine, 30 mol% 26 24 h
8 N-(3-Sulfonylbutyl)chitosan 21 24 h
9 O-Carboxymethyl chitosan 89 45 min
10 No catalyst 19 24 h



image file: c5ra26580k-s2.tif
Scheme 2 A proposed mechanism for the synthesis of 3,3′-(arylmethylene)bis(2-hydroxynaphthalene-1,4-dione) (3a–i) under catalysis of cm-chitosan.

In order to determine the optimized amount of the catalyst, the model reaction was carried out with varying loads of O-cm-chitosan. It is clear from the results, summarized in Fig. 1, that 60 mg of cm-chitosan per mmol of aldehyde in 5 mL reaction mixture is sufficient to achieve the optimum yield of the product within a short reaction time. The trial reactions carried out by using less than 60 mg of cm-chitosan (15, 20, 30, 40, 50, 55 mg) resulted in moderate yields of the product (41–84%) even after longer reaction times. In the same time, the yield was not promoted further when an excess amount of catalyst (65 mg) was loaded.


image file: c5ra26580k-f1.tif
Fig. 1 Effect of cm-chitosan loading on the synthesis of 3,3′-(phenylmethylene)bis(2-hydroxynaphthalene-1,4-dione) 3a using water/methanol (4/1 mL) as solvent at 70 °C.

Certainly, polar solvents can intercept the hydrogen bonding of substrates with cm-chitosan and so dramatically influence its catalytic performance. Therefore, the impact of different solvents on progress of the model reaction was explored. As Table 2 (entries 1 and 2) shows, moderate yields of the product are obtained when the reaction is performed in MeOH or EtOH. Both the yield and rate of the model reaction were improved by performing the reaction on water (Table 2, entries 3 and 4). Water forms reactive interfaces with the hydrophobic droplets and micelles of the substrates, at which cm-chitosan and water are present as unmet hydrogen bonded and so reactive molecules. Owing to its polar and organic nature, cm-chitosan would tend to migrate toward the interface and enter its hydrophobic part into the micelles. Probably, a fraction of cm-chitosan chains gets entirely into the micelles and does its catalysis actions there. Yet, water is not the superior solvent of Table 2, perhaps due to its inability to remove the products from cm-chitosan, its strong cohesion that prevents the formation of fine micelles, and negligible organic mass transfer in this solvent.

Table 2 Effects of solvents on the synthesis of 3,3′-(phenylmethylene)bis(2-hydroxynaphthalene-1,4-dione) (3a)a
Entry Solvent Yieldb (%)
a Reaction condition: HNQ (2 mmol), benzaldehyde (1 mmol), cm-chitosan (60 mg), 70 °C, 45 min.b Isolated yields.
1 Methanol 100% 75
2 Ethanol 95% 64
3 Acetic acid 1% in water 84
4 H2O 84
5 H2O/methanol (1[thin space (1/6-em)]:[thin space (1/6-em)]1) 79
6 H2O/methanol (4[thin space (1/6-em)]:[thin space (1/6-em)]1) 89
7 H2O/ethanol (4[thin space (1/6-em)]:[thin space (1/6-em)]1) 81
8 H2O/ethanol (1[thin space (1/6-em)]:[thin space (1/6-em)]1) 66
9 Dichloromethane 45
10 Acetonitrile 52


A slightly higher yield of the model reaction was obtained by using 4[thin space (1/6-em)]:[thin space (1/6-em)]1 mixture of water and methanol as solvent (Table 2, entry 6). Efficiency of this solvent may be referred to its high polarity and partially organic nature that enables it to displace the binding equilibria of products and cm-chitosan in favour of solution side and therefore to disrobe more catalytic sites for the reaction of HNQ and aldehydes. In addition, products are insoluble in this optimal solvent, so were separated easily by filtration. The model reaction in dichloromethane and acetonitrile resulted in inferior yields even within longer reaction times (Table 2, entries 9 and 10).

As is expected, temperature has a remarkable effect on both the rate and yield of the model reaction. The results shown in Table 3 indicate that the yield and rate of the reaction are greatly improved by increasing the temperature and reach the maximum value of 89% yield at 70 °C after 45 min. Further increase of temperature (above 70 °C) has no additional improvement on efficiency of the reaction.

Table 3 The effect of temperature on the synthesis of 3,3′-(phenylmethylene)bis(2-hydroxynaphthalene-1,4-dione) (3a)a
Entry Temperature (°C) Yieldb (%) Time
a Reaction conditions: HNQ (2 mmol), benzaldehyde (1 mmol), cm-chitosan (60 mg).b Isolated yields.
1 r.t. 38 12 h
2 40 43 12 h
3 50 56 5 h
4 60 72 2 h
5 70 89 45 min
6 80 89 45 min


At the end of the reaction, cm-chitosan was recovered through a sequence of aqueous-extraction from the reaction mixture, precipitation by addition of ethanol, filtration, and drying at 50 °C. The catalytic efficiency of the recovered cm-chitosan was evaluated by several recycling in the same reaction. As shown in Fig. 2, the yield of the model reaction is almost the same even after six cycles. The chemical structure of recovered O-cm-chitosan was verified by using FT-IR spectroscopy. There was no significant difference between the FT-IR of fresh O-cm-chitosan and recovered O-cm-chitosan (see ESI).


image file: c5ra26580k-f2.tif
Fig. 2 Comparative catalytic efficiencies of the recycled chitosan and O-cm-chitosan in terms of yield of the model reaction within 45 min.

On the other hand, recovery of chitosan from the acidic reaction mixture is a little more complicated than that of cm-chitosan. After completion of the reaction and filtration of the crude product, the acidic aqueous-filtrate was alkalized up to pH ≈ 8 by addition of 0.2 mol L−1 NaOH solution to make chitosan precipitate. The precipitates were filtered and dried at 50 °C before recycling. A slight amount of chitosan is lost in each recovery cycle and a decrease in catalytic activity of chitosan is seen after several recycling (Fig. 2).

A comparison between cm-chitosan and some familiar catalysts, previously reported for synthesis of 3,3′-(phenylmethylene)bis(2-hydroxynaphthalene-1,4-dione), 3a, was made in Table 4. This table represents cm-chitosan as an alternative effective catalyst for this reaction.

Table 4 Comparison of O-cm-chitosan with other catalysts in the synthesis of 3,3′-(phenylmethylene)bis(2-hydroxynaphthalene-1,4-dione) (3a)
Entry Catalyst/conditions Time Yield (%)
1 Et3N & HCl 2.5 h 89 (ref. 18)
2 LiCl/H2O/reflux 12 h 83 (ref. 19)
3 [bmim][BF4]/90 °C 4 h 90 (ref. 22)
4 H2SO4/reflux 15 min 90 (ref. 21)
5 LiCl/H2O/microwave 15 min 92 (ref. 23)
6 LiCl/H2O/ultrasound irradiation 15 min 91 (ref. 23)
7 Lipase/60 °C 2 h 88 (ref. 24)
8 Sulfamic acid/r.t. 19 h 92 (ref. 20)
9 Carboxymethyl chitosan/70 °C 45 min 89 (This study)
10 Chitosan/70 °C 50 min 84 (This study)
11 Chitosan in acetic acid 1%/70 °C 45 min 88 (This study)


In order to explore the substrate scope and generality of this method, a variety of aromatic aldehydes were selected to react with HNQ under the optimal conditions. As is evident from Table 5, the reaction is applicable to various aromatic aldehydes containing either electron-donating or electron-accepting groups to give good to fairly high yields of the corresponding products (82–94%).

Table 5 Synthesis of 3,3′-(arylmethylene)bis(2-hydroxynaphthalene-1,4-dione) (3a–h) from different aromatic aldehydes under catalysis of O-cm-chitosana
Entry Aldehyde Product Yieldb (%) Time (min) mprep mplit
a Reaction condition: HNQ (2 mmol), benzaldehyde (1 mmol), O-cm-chitosan (60 mg), at 70 °C.b Isolated yields.
1 image file: c5ra26580k-u1.tif 3a 89 50 200–202 198–200 (ref. 20)
202–204 (ref. 19)
2 image file: c5ra26580k-u2.tif 3b 94 45 198–200 195–196 (ref. 20)
180–182 (ref. 19)
3 image file: c5ra26580k-u3.tif 3c 85 60 212–214 213–215 (ref. 20)
175–177 (ref. 19)
4 image file: c5ra26580k-u4.tif 3d 86 55 184–185 185–187 (ref. 19)
5 image file: c5ra26580k-u5.tif 3e 93 42 180–181 177–179 (ref. 19)
6 image file: c5ra26580k-u6.tif 3f 89 50 170–171 170–172 (ref. 19)
7 image file: c5ra26580k-u7.tif 3g 82 55 220–222 219–220 (ref. 20)
221–223 (ref. 19)
8 image file: c5ra26580k-u8.tif 3h 85 55 222–224 220–222 (ref. 19)


The physical and spectral data of these products are well consistent with those reported in other studies.19,20 The structures of products were deduced from their 1H NMR.

Conclusion

In conclusion, O-cm-chitosan was used as a green, water-soluble bio-derived catalyst for efficient synthesis of chemically and biologically important bis-benzoquinonylmethane derivatives on water. The remarkable efficacy of this metal-free catalyst was ascribed to its ability in bringing the substrates in close vicinity by hydrogen bonding with them. The hydrogen bondings through ammonium and amino groups proved to be central in the catalytic activity of cm-chitosan and seem to facilitate the reaction by mediating proton transfers from the nucleophilic HNQ to the electrophilic reacting components. The influence of reaction conditions such as solvents, temperature, and dose of catalyst were investigated. The present method offers several advantages, including fairly high yields of products in short reaction time periods, clean reaction profile, and simple experimental procedure. Moreover, it can be applied in large scale and industrial sector, because the catalyst can be simply recovered and reused several times without significant decrease in catalytic activity.

Acknowledgements

Authors are grateful to the Research Council of University of Guilan for the partial support of this work.

Notes and references

  1. R. H. Thomson, Naturally occurring quinones, Chapman & Hall, London, 4th edn, 1997 Search PubMed.
  2. V. P. Papageorgiou, A. N. Assimoponlou, E. A. Couladouros, D. Hepworth and K. C. Nicolaou, Angew. Chem., 1999, 38, 270 CrossRef.
  3. S. R. Keyes, R. Loomis, M. P. Di Giovanna, C. A. Pritsos, S. Rockwell and A. C. Sartorelli, Cancer Commun., 1991, 3, 351 CAS.
  4. (a) M. K. Hadden, S. A. Hill, J. Davenport, R. L. Matts and B. S. Blagg, Bioorg. Med. Chem., 2009, 17, 634 CrossRef CAS PubMed; (b) G. Bringmann, G. Zhang, A. Hager, M. Moos, A. Irmer, R. Bargou and M. Chatterjee, Eur. J. Med. Chem., 2011, 46, 5778 CrossRef CAS PubMed.
  5. V. K. Tandon, D. B. Yadav, A. K. Chaturvedi and P. K. Shukla, Bioorg. Med. Chem. Lett., 2005, 15, 3288 CrossRef CAS PubMed.
  6. V. K. Tandon, H. K. Maurya, N. N. Mishra and P. K. Shukla, Bioorg. Med. Chem. Lett., 2011, 21, 6398 CrossRef CAS PubMed.
  7. E. V. M. dos Santos, J. W. D. M. Carneiro and V. F. Ferreira, Bioorg. Med. Chem., 2004, 12, 87 CrossRef CAS PubMed.
  8. I. T. Crosby, D. G. Bourke, E. D. Jones, T. P. Jeynes, S. Cox, J. A. V. Coates and A. D. Robertson, Bioorg. Med. Chem. Lett., 2011, 21, 1644 CrossRef CAS PubMed.
  9. K. Sasaki, H. Abe and F. Yoshizaki, Biol. Pharm. Bull., 2002, 25, 669 CAS.
  10. J. C. Lien, C. R. Wu, M. J. Hour, L. J. Huang, T. F. Huang and S. C. Kuo, Arch. Pharm., 2008, 341, 639 CrossRef CAS PubMed.
  11. J. C. Lien, L. J. Huang, C. M. Teng, J. P. Wang and S. C. Kuo, Chem. Pharm. Bull., 2002, 50, 672 CrossRef CAS PubMed.
  12. D. Y. Yuk, C. K. Ryu, J. T. Hong, K. H. Chung, W. S. Kang, Y. Kim, H. S. Yoo, M. K. Lee, C. K. Lee and Y. P. Yun, Biochem. Pharmacol., 2000, 60, 1001 CrossRef CAS PubMed.
  13. M. Dabiri, Z. N. Tisseh and A. Bazgir, Dyes Pigm., 2011, 89, 63 CrossRef CAS.
  14. (a) Y. M. Hijji, B. Barare and Y. Zhang, Sens. Actuators, B, 2012, 169, 106 CrossRef CAS; (b) J. Mastanaiah, N. B. Prabhavathi and B. Varaprasad, Int. J. PharmTech Res., 2011, 3, 1045 Search PubMed.
  15. J. Y. Heo, C. H. Cho, H. S. Jeon, B. S. Cheong and H. G. Cho, Spectrochim. Acta, Part A, 2011, 83, 425 CrossRef CAS PubMed.
  16. B. S. Siddiqui, M. N. Kardar, T. Ali and S. Khan, Helv. Chim. Acta, 2003, 86, 2164 CrossRef CAS.
  17. C. E. Dalgliesh, J. Am. Chem. Soc., 1949, 71, 1697 CrossRef CAS.
  18. K. Bock, N. Jacobsen and B. Terem, J. Chem. Soc., Perkin Trans. 1, 1986, 1, 659 RSC.
  19. Z. N. Tisseh and A. Bazgir, Dyes Pigm., 2009, 83, 258 CrossRef CAS.
  20. G. Brahmachari, ACS Sustainable Chem. Eng., 2015, 3, 2058 CrossRef CAS.
  21. J. M. Khurana, A. Lumb, A. Chaudhary and B. Nand, J. Heterocycl. Chem., 2014, 51, 1747 CrossRef CAS.
  22. L. I. Yuling, D. U. Baixiang, X. U. Xiaoping, S. H. I. Daqing and J. I. Shunjun, Chin. J. Chem., 2009, 27, 1563 CrossRef.
  23. A. S. de Oliveira, L. C. Lianes, R. J. Nunes, R. A. Yunes and I. M. C. Brighente, Green Sustainable Chem., 2014, 4, 177 CrossRef.
  24. H. Wang, Z. Wang, C. Wang, F. Yang, H. Zhang, H. Yuea and L. Wang, RSC Adv., 2014, 4, 35686 RSC.
  25. A. Khalafi-Nezhadand and S. Mohammadi, RSC Adv., 2014, 4, 13782 RSC.
  26. E. Denkbas and M. J. Odabasi, J. Polym. Sci., 2000, 76, 1637 CAS.
  27. Z. N. Siddiqui and K. Khan, New J. Chem., 2013, 37, 1595 RSC.
  28. (a) A. Ricci, L. Bernardi, C. Gioia, S. Vierucci, M. Robitzer and F. Quignard, Chem. Commun., 2010, 46, 6288 RSC; (b) K. R. Reddy, K. Rajgopal, C. M. Maheswari and M. L. Kantam, New J. Chem., 2006, 30, 1549 RSC.
  29. D. Kuhbeck, G. Saidulu, K. R. Reddy and D. D. Dıaz, Green Chem., 2012, 14, 378 RSC.
  30. K. Khalil, H. Al-Matar and M. Elnagdi, Eur. J. Chem., 2010, 1, 252 CrossRef CAS.
  31. J. Lal, S. K. Gupta and D. D. Agarwal, Catal. Commun., 2012, 27, 38 CrossRef CAS.
  32. M. Chtchigrovsky, A. Primo, P. Gonzalez, K. Molvinger and M. Robitzer, Angew. Chem., Int. Ed., 2009, 48, 5916 CrossRef CAS PubMed.
  33. K. Martina, S. E. S. Leonhardt, B. Ondruschka, M. Curini, A. Binello and G. Cravotto, J. Mol. Catal. A: Chem., 2011, 334, 60 CrossRef CAS.
  34. M. Zeng, X. Zhang, L. Shao, C. Qi and X. M. Zhang, J. Organomet. Chem., 2012, 704, 29 CrossRef CAS.
  35. (a) M. Zeng, C. Qi, J. Yang, B. Wang and X. Zhang, Ind. Eng. Chem. Res., 2014, 53, 10041 CrossRef CAS; (b) P. Liu, L. Wang and X. Y. Wang, Chin. Chem. Lett., 2004, 15, 475 CAS.
  36. N. Sudheesh, S. K. Sharma and R. S. Shukla, J. Mol. Catal. A: Chem., 2010, 321, 77 CrossRef CAS.
  37. K. Khalila, H. Al-Matarb and M. Elnagdib, Eur. J. Chem., 2010, 1, 252 CrossRef.
  38. S. Hirano, Y. Yamaguchi and M. Kamiya, Carbohydr. Polym., 2002, 48, 203 CrossRef CAS.
  39. A. Chanda and V. V. Fokin, Chem. Rev., 2009, 109, 725 CrossRef CAS PubMed.
  40. C. M. Valmikinathan, V. J. Mukhatyar, A. Jain, L. Karumbaiah, M. Dasari and R. V. Bellamkonda, Soft Matter, 2012, 8, 1964 RSC.
  41. R. W. Eyler, E. D. Klug and F. Diephuis, Anal. Chem., 1947, 79, 24 CrossRef.
  42. X. G. Chen and H. J. Park, Carbohydr. Polym., 2003, 53, 355 CrossRef CAS.
  43. H. S. Tsai, Y. Z. Wang, J. J. Lin and W. F. Lien, J. Appl. Polym. Sci., 2010, 116, 1686 CrossRef CAS.

Footnote

Electronic supplementary information (ESI) available. See DOI: 10.1039/c5ra26580k

This journal is © The Royal Society of Chemistry 2016
Click here to see how this site uses Cookies. View our privacy policy here.