Issue 94, 2015

An efficient [4+3] cycloaddition reaction of aza-o-quinodimethanes with C,N-cyclic azomethine imines: stereoselective synthesis of 1,2,4-triazepines

Abstract

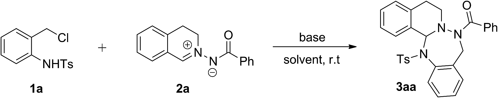
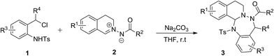
An efficient [4+3] cycloaddition reaction of in situ generated aza-o-quinodimethanes with C,N-cyclic azomethine imines has been developed. A wide range of 1,2,4-triazepine derivatives were synthesized in high yields (81–99%).

Graphical abstract: An efficient [4+3] cycloaddition reaction of aza-o-quinodimethanes with C,N-cyclic azomethine imines: stereoselective synthesis of 1,2,4-triazepines

Supplementary files

Article information

Article type
Communication
Submitted
08 Aug 2015
Accepted
03 Sep 2015
First published
04 Sep 2015

RSC Adv., 2015,5, 76696-76699

Author version available

An efficient [4+3] cycloaddition reaction of aza-o-quinodimethanes with C,N-cyclic azomethine imines: stereoselective synthesis of 1,2,4-triazepines

L. Chen, G. M. Yang, J. Wang, Q. F. Jia, J. Wei and Z. Y. Du, RSC Adv., 2015, 5, 76696 DOI: 10.1039/C5RA15903B

To request permission to reproduce material from this article, please go to the Copyright Clearance Center request page.

If you are an author contributing to an RSC publication, you do not need to request permission provided correct acknowledgement is given.

If you are the author of this article, you do not need to request permission to reproduce figures and diagrams provided correct acknowledgement is given. If you want to reproduce the whole article in a third-party publication (excluding your thesis/dissertation for which permission is not required) please go to the Copyright Clearance Center request page.

Read more about how to correctly acknowledge RSC content.

Social activity

Spotlight

Advertisements