Lipase-catalyzed regioselective domino reaction for the synthesis of chromenone derivatives

Qi Yang, Long-Hua Zhou, Wan-Xia Wu, Wei Zhang, Na Wang* and Xiao-Qi Yu*
Key Laboratory of Green Chemistry and Technology, Ministry of Education, College of Chemistry, Sichuan University, Chengdu, 610064, P. R. China. E-mail: wnchem@scu.edu.cn; xqyu@scu.edu.cn; Fax: +86-28-85415886; Tel: +86-28-85415886

Received 7th July 2015 , Accepted 10th September 2015

First published on 10th September 2015


Abstract

An efficient synthesis of 2H-chromenones and 2-hydroxyl-2H-chromenones derivatives has been developed from 1,3-dicarbonyls and α,β-unsaturated aldehydes by a controllable regioselective domino cyclization reaction under catalysis of different lipases. 2H-Chromenones derivatives were synthesized by bovine pancreatic lipase (BPL) in acetonitrile, while lipase from Pseudomonas fluorescens (PFL) can catalyze the synthesis of the 2-hydroxyl-2H-chromenones derivatives in dichloromethane with moderate to high yields.


Introduction

Chromenone derivatives have attracted great attention from chemical researchers due to their important biological activities and pharmaceutical applications.1 The heterocyclic structural elements are also contained in a wide range of natural products such as (−)-calanolide B,2 ferprenin,3 dehydro-α-lapachone,4 flindersine5 and arisugacin H6 (Fig. 1). Consequently, developing efficient and more “green” methods to construct this heterocycle structure has great significance for pharmaceutical chemistry and material chemistry. Until now, several synthetic approaches have been developed to construct chromenone skeleton through [3 + 3] cycloadditions between α,β-unsaturated aldehydes and 1,3-dicarbonyls using indium(III) chloride,7 EDDA,8 Lewis acids,9 Brønsted acid,10 or EDDA/ZnCl2 co-catalysts11 as catalysts (Scheme 1, eqn (1)). However, there are few reports about biocatalytic methods, especially lipase-catalyzed methods for the synthesis of chromenones.
image file: c5ra13267c-f1.tif
Fig. 1 Biological and medicinal molecules bearing a chromenone structure.

image file: c5ra13267c-s1.tif
Scheme 1 Protocols for the synthesis of pyran derivatives.

Biocatalysis has been highlighted as an elegant synthetic methodology and widely used in modern organic synthesis owing to many advantages such as high reaction activity, good selectivity, and few by-products under mild reaction conditions.12 Moreover, with the development of biocatalytic promiscuity, enzymes have been applied to catalyse alternative reactions differing from its natural reactions. For example, hydrolases have been described to exhibit lyase activity,13 oxidase activity14 and racemase activity.15 Some hydrolase-catalyzed promiscuous reactions such as carbon–carbon bond formation reactions have also been reported in the past decades.16 As part of our ongoing research studies on the biocatalytic promiscuity, lipase-catalyzed asymmetric aldol reaction,17 Mannich reaction,18 vinylogous Michael addition19 and domino oxa-Michael/aldol condensation reaction20 also have been developed in our previous work. Herein, we would like to report on the extension of application of biocatalytic promiscuity for synthesis of two different kinds of chromenone compounds, using cyclic 1,3-dicarbonyls and α,β-unsaturated aldehydes as substrates catalyzed by bovine pancreatic lipase (BPL) and lipase from Pseudomonas fluorescens (PFL), respectively.

In general, α,β-unsaturated aldehydes react with nucleophiles through two types of addition reactions 1,2-addition to the C[double bond, length as m-dash]O bond and 1,4-conjugated addition. The reaction of cyclic 1,3-dicarbonyl compounds with α,β-unsaturated aldehydes always proceeds through 1,2-addition (aldol reaction or Knoevenagel condensation), followed with 6π-electrocyclization to generate chromenones as shown in Scheme 1, eqn (1). The only exception to this trend is the diarylprolinol ether-catalyzed domino reaction21 (Scheme 1, eqn (2)). While catalyzed by diarylprolinol ether, 1,4-conjugate addition occurs, and bicyclic acetals are afforded as the major products. It is owing to that the 1,2-addition pathway is inhibited by the steric interaction of the bulky diarylprolinol ether with the nucleophilic carbonyl oxygen atom.21b Consequently, regioselective addition of cyclic 1,3-dicarbonyl compounds to α,β-unsaturated aldehydes is an interesting but difficult challenge due to the strong tendency of 1,2-addition.

In this report, BPL-catalyzed reaction between cyclic 1,3-dicarbonyls and α,β-unsaturated aldehydes for the synthesis of chromenones in a preferable way of 1,2-addition is provided (Scheme 1, eqn (3)). Serendipitously, the traditional reactivity profile is reversed by utilizing the alternative PFL to start the cyclization with 1,4-conjugation addition to produce bicyclic acetals in the end (Scheme 1, eqn (3)). These methods enable the reaction between cyclic 1,3-dicarbonyl and α,β-unsaturated aldehyde to proceed in two different styles under catalysis of different types of lipases. There are some reports about the application of controllable regioselective lipase-catalyzed traditional reactions in the past two decades. For example, Lipozyme (immobilized lipase from Mucor miehei) and PPL (lipase from porcine pancreas) were found to catalyze the acylation between 2′-deoxyuridine and divinyl dicarboxylates to produce polymerizable 3′- and 5′-O-acyl-nucleoside derivatives respectively.22 In 2008, selectivity between Markovnikov and anti-Markovnikov carbon–sulfur bond addition was achieved in different organic solvent catalyzed by CAL-B (lipase B from Candida antarctica).23 However, most examples were restricted to conventional reactions such as acylation reactions. To the best of our knowledge, combination of lipase promiscuity and different lipases-controlled regioselective synthesis method has never been described. This research combines lipase promiscuity with regioselective synthesis that two kinds of chromenone derivatives can be synthesized under the catalysis of different lipases from the same substrates for the first time. Bovine pancreatic lipase (BPL) catalyzed the synthesis of 2H-chromenones, while lipase from Pseudomonas fluorescens (PFL) produced 2-hydroxy-2H-chromenones, which is difficult to achieve with chemical methods.

Results and discussion

Based on our previous research,24 preliminary experiments were undertaken choosing the reaction of cyclohexane-1,3-dione and crotonaldehyde as a model reaction catalyzed by different enzymes. A series of commercially available enzymes were used to catalyze the reaction in order to select an appropriate biocatalyst to synthesize 2-methyl-7,8-dihydro-2H-chromen-5(6H)-one (3a). DMSO was chosen as the reaction media based on the previous reports, which is the common solvent in some lipase-catalyzed promiscuous reactions.25 The results are summarized in Table 1. BPL showed the best catalytic activities for the synthesis of 3a with the highest yield of 28% (Table 1, entry 2 and Fig. S1), other lipases such as PFL, MML, CAL-B, CRL, MJL, HPL, and CCL demonstrated very low activity towards 3a (Table 1, entries 3–9). Notably, 2-hydroxy-4-propyl-3,4,7,8-5(6H)-one (4a) was the major product instead of 3a when PFL was used as catalyst, indicating that another domino reaction probably occurred in this situation (Table 1, entry 3 and Fig. S1). When the substrates were incubated with BSA, denatured BPL, denatured PFL or without enzyme, the reactions were equal to the background, implying that the specific catalytic site and spatial conformation of lipases are essential to catalyze the domino reactions. So PFL was selected to catalyze the reaction to produce 4a, while BPL was chosen as the catalyst to form chromenone 3a. This serendipitous success inspired us to go forward, and other reaction conditions of the domino reactions were screened subsequently based on the model reaction.
Table 1 The catalytic activities of different enzymesa

image file: c5ra13267c-u1.tif

Entry Enzyme Yield of 3ab [%] Yield of 4ab [%]
a Reaction conditions: 1a (0.1 mmol), 2a (0.5 mmol), enzyme (10 mg), DMSO (1 mL) were added to a 10 mL Erlenmeyer flask, and shaken at 200 rpm at 30 °C for 24 h.b All yields were determined by HPLC.
1 3 0
2 Lipase from bovine pancreas (BPL) 28 5
3 Lipase from Pseudomonas fluorescens (PFL) 7 25
4 Lipase from Mucor miehei (MML) 8 8
5 Lipase from Candida antarctica B (CAL-B) 3 3
6 Lipase from Candida rugosa (CRL) 10 7
7 Lipase from Mucor javanicus (MJL) 7 4
8 Lipase from hog pancreas (HPL) 9 9
9 Lipase from Candida cylindracea (CCL) 11 6
10 Bovine serum albumin (BSA) 10 3
11 Denatured BPL 2 4
12 Denatured PFL 2 4


To optimize the conditions of the BPL-catalyzed and PFL-catalyzed domino reactions, such as reaction medium, temperature, enzyme loading and reaction time, some further experiments were performed. The date followed indicated that these factors had very significant impacts on the yield of 3a and 4a. Firstly, reaction media not only can affect the activities of enzymes, but also means different solubility of substrates in different solvents, so reaction medium is one of the most important factors that make great significance to these enzyme-catalyzed reactions. A series of organic solvents were used as reaction media to select an appropriate medium for the reaction. Based on our previous research results, a small amount of water is benefit for interaction between enzymes and substrates, so we chose organic solvents containing 5% water to optimize reaction medium for the reactions. As shown in Table 2, the yields of both reactions were improved greatly in optimal reaction media that the reactions between 1,3-cyclohexanedione 1a and crotonaldehyde 2a could get the best yield of 3a in acetonitrile/water catalyzed by BPL and in dichloromethane the yield of 4a is the highest (Table 2, entries 5 and 9). When the reaction catalyzed by BPL was performed in other organic solvents, the product 3a also could generate with moderate yield between 58–80%. The reaction promoted by PFL also showed a little lower yield in other reaction medium. However, there are low yields if the reactions occurred in water for these two reactions which might be the poor solubility of substrates in pure water (Table 2, entry 3). When crotonaldehyde simultaneously acted as solvent and one of the reactants, both reactions also exhibited poor effect may due to the decrease of the activity of lipases induced by the excess of crotonaldehyde (Table 2, entry 8). All in all, maybe the activities of both lipases are not concerned with the polarity of reaction medium that there was no regular change in the yields of 3a and 4a with the increase of log[thin space (1/6-em)]P of solvents. Thus, acetonitrile was chosen as the best solvent for the domino reaction catalyzed by BPL to produce 3a, and dichloromethane was chosen as the optimal solvent for the PFL-catalyzed domino reaction.

Table 2 Effects of solvents on the BPL- and PFL-catalyzed domino reactions
Entry Solvent Log[thin space (1/6-em)]P Yield of 3aa [%] Yield of 4ab [%]
a Reaction conditions: 1a (0.1 mmol), 2a (0.5 mmol), BPL (10 mg), organic solvent (950 μL), H2O (50 μL), 200 rpm, 30 °C, 24 h. All yields were determined by HPLC.b Reaction conditions: 1a (0.1 mmol), 2a (0.5 mmol), PFL (10 mg), organic solvent (950 μL), H2O (50 μL), 200 rpm, 30 °C, 24 h. All yields were determined by HPLC.
1 DMF −0.6 58 33
2 1,4-Dioxane −0.31 81 50
3 H2O 37 32
4 Ethanol 0.07 64 42
5 Acetonitrile 0.17 82 45
6 Isopropanol 0.38 71 39
7 THF 0.40 76 51
8 Crotonaldehyde 0.48 38 26
9 Dichloromethane 1.01 68 60
10 Chloroform 1.67 72 48
11 Toluene 2.52 59 42


According to our previous reports on enzymatic promiscuity, water content has very important influence on lipase-catalyzed reactions, for example, lipase-catalyzed aldol reaction and Mannich reaction always need quantitative water in organic solvents to maintain the optimal activity of lipases.26 While the most appropriate water contents for different enzymatic reactions are distinct, further experiments were performed to optimize the water content for the two domino reactions. The results were shown in Fig. 2 respectively. From Fig. 2, we can see that in the absence of water, the desired product 3a achieved the highest yield of nearly 90%. With the addition of water, the yield of 3a decreased obviously in the mixture of acetonitrile/water. In pure water, the yield of 3a reduced to nearly 50%. Maybe it was because that low solubility of substrates in acetonitrile containing high percent water could lead to poor effect between substrates and BPL. As is shown in Fig. 2, when the water/dichloromethane ratio was 5%, the PFL-catalyzed domino reaction produced the desired product 4a with the highest yield of 64%. Once the water content surpassed 5%, the yield of 4a declined with the water concentration obviously. It was due to that the domino reaction catalyzed by PFL produces none of any water, the addition of 5% water would enhance the activity of PFL obviously, while the BPL-catalyzed domino reaction would generate water during the process. In summary, slight water in dichloromethane is indispensable for the PFL-catalyzed domino reaction. For both reactions, excess water would decrease the yield of the main product for the poor solubility of substrates in more polar solution. As a result, acetonitrile and dichloromethane with a water content of 5% (water/[water + dichloromethane], v/v) were separately chosen as optimized solvents for the BPL- and PFL-catalyzed domino reactions.


image file: c5ra13267c-f2.tif
Fig. 2 The effect of water content on the BPL-catalyzed domino reaction (in black)a and PFL-catalyzed domino reaction (in red)b. Reaction conditions: (a) 1a (0.1 mmol), 2a (0.5 mmol), BPL (10 mg), acetonitrile/H2O (1 mL), 200 rpm, 30 °C, 24 h; (b) 1a (0.1 mmol), 2a (0.5 mmol), PFL (10 mg), dichloromethane/H2O (1 mL), 200 rpm, 30 °C, 24 h. All yields were determined by HPLC.

Encouraged by the above results, other influencing factors were investigated such as molar ratio, enzyme loading and temperature. The influence of the molar ratio of 1,3-cyclohexanedione to crotonaldehyde on the BPL-catalyzed domino reaction and the PFL-catalyzed reaction was studied. From Tables S1 and S2 (see ESI), the ratio of 1,3-cyclohexanedione to crotonaldehyde 1/5 was chosen as the optimized molar ratio to perform the following experiments for both the BPL- and PFL-catalyzed domino reactions. Afterwards, the effects of enzyme loading on the two reactions were investigated successfully. The results were shown in Fig. 3 and S2. For the BPL-catalyzed domino reaction, when enzyme loading was between 0–20 mg, the yield of 3a increased with enzyme loading obviously. The yield of 3a maintained at nearly 100% after incubating for 24 hours when enzyme loading was between 20–30 mg. There was a slight decline in yield when more BPL was loaded. The possible reason might be that more enzyme loading was unfavorable to the diffusion of substrates in the system. For the PFL-catalyzed domino reaction, the yield of 4a increased with enzyme loading violently when the enzyme loading was less than 20 mg, and achieved the maximum 73% when the enzyme loading was 20 mg. While the enzyme loading surpassed 20 mg, the yield of 4a showed little change with the increase of enzyme loading. Consequently, 20 mg was chosen as the best enzyme loading for both reactions to perform the following experiments.


image file: c5ra13267c-f3.tif
Fig. 3 The effect of enzyme loading on the BPL-catalyzed domino reaction (in black)a and PFL-catalyzed domino reaction (in red)b. Reaction conditions: (a) 1a (0.1 mmol), 2a (0.5 mmol), BPL (0–50 mg), acetonitrile (1 mL), 200 rpm, 30 °C, 24 h; (b) 1a (0.1 mmol), 2a (0.5 mmol), PFL (0–50 mg), dichloromethane (950 μL), and H2O (50 μL), 200 rpm, 30 °C, 24 h. All yields were determined by HPLC.

Temperature can affect catalytic activity and stability of enzyme, meanwhile determine the solubility of substrates and the rate of reaction. Therefore, temperature is also an essential factor which influences the enzyme-catalyzed domino reactions. The BPL-catalyzed domino reaction and PFL-catalyzed domino reactions were performed at different temperatures between 20–60 °C, and the yields of the two reactions exhibited different trends with the different temperatures (Fig. S3). The yield of 3a is 89% at 20 °C. When the temperature was 30 °C, the yield of the BPL-catalyzed domino reaction achieved the maximum 99%. To further enhance the temperature, the yield of 3a declined obviously to 74% at 50 °C and 69% at 60 °C. It might be on account of the inactivation of BPL and the side-reactions induced by high temperature. For the PFL-catalyzed domino reaction, the yield of 4a is similar at different temperature between 20–60 °C. So it showed that PFL have a better temperature tolerance than BPL. Consequently, the optimal temperature for the BPL-catalyzed domino reaction is 30 °C, and the optimum temperature of PFL-catalyzed domino reaction is 37 °C. Thus 30 °C and 37 °C were chosen as optimized temperatures for these different lipase-catalyzed reactions respectively in the following experiments.

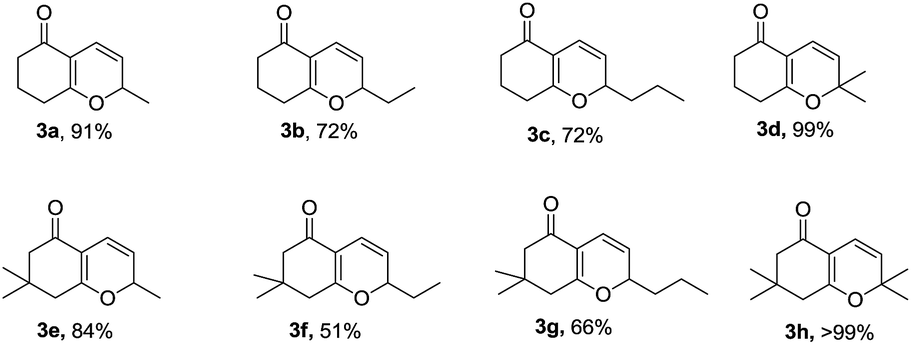
Next, the substrate scopes of the BPL- and PFL-catalyzed domino reactions were explored based on the previously optimized reaction conditions with different cyclic 1,3-diones and α,β-unsaturated aldehydes as substrates. Various substrates could react with each other and gave moderate to high products through the domino reaction catalyzed by BPL. Typical results are summarized in Table 3. We can see that 5,5-dimethyl-1,3-cyclohexanedione or 1,3-cyclohexanedione as substrates made no distinction for that R1 is far away from the 6π-electron center, hardly influence the 6π-electrocyclization process. Both methyl substituted and dimethyl substituted olefin aldehydes at C3 could react with 1a to generate chromenones in high yields, while ethyl substituted and propyl substituted olefin aldehydes at C3 showed a little bit lower yield. Maybe it is owing to the fact that longer substituent groups as R3 would hinder the 6π-electrocyclization process and reduce the generation of chromenones.

Table 3 Substrate scope of the BPL-catalyzed domino reactiona

image file: c5ra13267c-u2.tif

a Reaction conditions: 1 (1 mmol), 2 (5 mmol), BPL (200 mg), acetonitrile (5 mL) were added to a 25 mL round-bottom flask, and shaken at 200 rpm at 30 °C for 24 h. All yields were isolated yields.
image file: c5ra13267c-u3.tif


As for the PFL-catalyzed domino reaction between cyclic 1,3-diones and α,β-unsaturated aldehydes, these substrates underwent the domino reaction smoothly under the catalysis of PFL to afford the corresponding adducts in acceptable to high yields. From Table 4, the same as the BPL-catalyzed domino reaction, 1,3-cyclohexanedione and 5,5-dimethyl-1,3-cyclohexanedione showed similar reactivity with each other for the long distance from R1 group to the π-electron center. Furthermore, the longer the substituted group in R2 was, the lower the yield of the bicyclic acetal was. Unlike the BPL-catalyzed reaction, 3-methyl-2-butenal is inert to either 5,5-dimethyl-1,3-cyclohexanedione or 1,3-cyclohexanedione for obvious steric effect that may prevent the substrates from combining with the active pocket of PFL efficiently (not shown in the paper). As the fact that the PFL-catalyzed domino reaction started with 1,4-conjugation addition, disubstituting at C3 of olefin aldehyde and bulky group as R3 would induce severe steric effect inhibiting the addition process. So the substrate scope of the PFL-catalyzed was limited in mono-substituted olefine aldehydes.

Table 4 Substrate scope of the domino PFL-catalyzed reactiona

image file: c5ra13267c-u4.tif

a Reaction conditions: 1 (1 mmol), 2 (5 mmol), PFL (200 mg), dichloromethane (4.75 mL), H2O (0.25 mL) were added to a 25 mL round-bottom flask, and shaken at 200 rpm at 30 °C for 24 h. All yields were isolated yields.
image file: c5ra13267c-u5.tif


Finally, we attempt to deduce mechanisms for the BPL/PFL controlled regioselective domino reactions rationally. A mechanistic rationale portraying the probable sequence of events is given in Scheme 2. As for the BPL-catalyzed domino reaction, crotonaldehyde is activated by the oxyanion of BPL through hydrogen bonding. Then, BPL removes one of the α-protons of cyclohexane-1,3-dione to form an enolate stabilized by amino acids in the active pocket of BPL. The enolate attacks the activated aldehyde to yield intermediate 6, which is dehydrated to give intermediate 7. Finally, the intermediate 7 underwent intra-molecular 6π-electrocyclization spontaneously to afford the 2H-chromenone compound. As for the PFL-catalyzed domino reaction, the reaction started with a 1,4-addition between cyclohexane-1,3-dione and crotonaldehyde to generate the intermediate 8. After the intermediate 8 was deprotonated by PFL, oxa-aldol condensation was followed to produce 2-hydroxy-chromenone finally. However, it is still a major challenge to figure out the mechanism of lipase-catalyzed promiscuous reaction. As further mechanistic study is still in progress, it is certain for us to have a more explicit acquaintance with the mechanism about the reactions in the future.


image file: c5ra13267c-s2.tif
Scheme 2 Probable mechanism for the lipase-controlled regioselective domino reaction.

Conclusions

In conclusion, a series of 2H-chromenones and 2-hydroxy-2H-chromenones were synthesized using cyclo-1,3-dihexanone and α,β-unsaturated aldehyde as starting materials via BPL- or PFL-catalyzed domino reaction respectively. In the present work, lipase promoted regioselectivity for domino reaction is reported for the first time. It is meaningful to find that lipases show such powerful regioselectivity in domino reaction. After optimization, several substrates participated in the reactions smoothly and provided the target products in acceptable to excellent yield through the lipase-catalyzed domino reactions. As a new example of enzyme promiscuity, it expands the applications of lipases in organic synthesis. However, further study on the mechanism of the reaction is currently being conducted in our laboratory.

Acknowledgements

We gratefully acknowledge the financial support of the National Program on Key Basic Research Project of China (973 Program, 2013CB328900) and the National Natural Science Foundation of China (No. 21321061 and J1310008). We also thank Comprehensive training platform of specialized laboratory, College of Chemistry, Sichuan University for NMR and HRMS analysis.

Notes and references

  1. (a) I. Larrosa, P. Romea and F. Urpί, Tetrahedron, 2008, 64, 2683 CrossRef CAS PubMed; (b) Y. Tang, J. Oppenheimer, Z. Song, L. You, X. Zhang and R. P. Husng, Tetrahedron, 2006, 62, 10785 CrossRef CAS PubMed; (c) R. Patrizia, M. Maura, R. Giovanna, B. Mauro, C. Phillippe, F. S. Fleury, L. V. Jean and B. Carlo, J. Agric. Food Chem., 2006, 54, 7556 CrossRef PubMed; (d) F. Diaz and J. D. Medina, J. Nat. Prod., 1996, 59, 423 CrossRef CAS; (e) D. Staerka, J. R. Kesting, M. Sairafianpour, M. Witt, J. Asili, S. A. Emami and J. W. Jaroszewski, Phytochemistry, 2009, 70, 1055 CrossRef PubMed; (f) S. J. Wu and I. S. Chen, Phytochemistry, 1993, 34, 1659 CrossRef CAS.
  2. C. M. Tawnya, D. C. Conni, W. F. Richard, R. B. Heid, Y. Sherry, H. C. John, R. K. Marian, S. Doel, F. S. Peter, M. C. Gordon and R. B. Michael, J. Nat. Prod., 1998, 61, 1252 CrossRef PubMed.
  3. G. Appendino, S. Tagliapietra, G. M. Nano and V. Picci, Phytochemistry, 1988, 27, 944 CrossRef CAS.
  4. J. Y. Cho, H. Y. Kim, G. J. Choi, K. S. Janq, K. H. Lim, C. H. Lim, K. Y. Cho and J. C. Kim, Pest Manage. Sci., 2006, 62, 414 CrossRef CAS PubMed.
  5. S. Ahmad, J. Nat. Prod., 1984, 47, 391 CrossRef CAS.
  6. S. Ōmura, F. Kuno, K. Otoguro, T. Sunazuka, K. Shiomi, R. Masuma and Y. Iwai, J. Antibiot., 1995, 48, 745 CrossRef.
  7. Y. R. Lee, D. H. Kim, J.-J. Shim, S. K. Kim, J. H. Park, J. S. Cha and C.-S. Lee, Bull. Korean Chem. Soc., 2002, 23, 998 CrossRef CAS.
  8. (a) Y. R. Lee, J. H. Choi, D. T. L. Trinh and N. W. Kim, Synthesis, 2005, 18, 3026 CrossRef; (b) Y. R. Lee and D. H. Kim, Synthesis, 2006, 4, 603 CrossRef.
  9. A. V. Kurdyumov, N. Lin, R. P. Hsung, G. C. Gullickson, K. P. Cole, N. Sydorenko and J. J. Swidorski, Org. Lett., 2006, 8, 191 CrossRef CAS PubMed.
  10. (a) C. Huber, J. Mpreau, J. Batany, A. Duboc, J.-P. Hurvois and J.-L. Renaud, Adv. Synth. Catal., 2008, 350, 40 CrossRef PubMed; (b) J. Moreau, C. Hubert, J. Batany, L. Toupet, T. Roisnel, J.-P. Hurvois and J.-L. Renaud, J. Org. Chem., 2009, 74, 8963 CrossRef CAS PubMed.
  11. A. Garcia, D. Borchardt, C.-E. A. Chang and M. J. Marsella, J. Am. Chem. Soc., 2009, 131, 16640 CrossRef CAS PubMed.
  12. (a) A. Schmid, J. S. Dordick, B. Hauer, A. Kiener and M. Wubbolts, Nature, 2001, 409, 258 CrossRef CAS PubMed; (b) S. Wenda, S. Illner, A. Mell and U. Kragl, Green Chem., 2011, 13, 3007 RSC; (c) D. J. Pollard and J. M. Woodlley, Trends Biotechnol., 2007, 25, 66 CrossRef CAS PubMed.
  13. (a) M. Sverdendahl, K. Hult and P. Berglund, J. Am. Chem. Soc., 2005, 127, 17988 CrossRef PubMed; (b) O. Torre, I. Alfonso and V. Gotor, Chem. Commun., 2004, 15, 1724 RSC; (c) W.-B. Wu, J.-M. Xu, Q. Wu, D.-S. Lv and X.-F. Lin, Adv. Synth. Catal., 2006, 348, 487 CrossRef CAS PubMed.
  14. (a) C. C. Oerlemans, P. D. María, B. Tuin, G. Bargeman, A. Meer and R. Gemert, J. Biotechnol., 2006, 126, 140 CrossRef PubMed; (b) M. Sverdendahl, P. Carlqvist, C. Branneby, O. Allnér, A. Frise, K. Hult, P. Berglund and T. Brinck, ChemBioChem, 2008, 9, 2443 CrossRef PubMed.
  15. K. E. Jaeger and M. T. Reetz, Trends Biotechnol., 1998, 16, 396 CrossRef CAS.
  16. (a) C. Branneby, P. Carlqvist, A. Magnusson, K. Hult, T. Brinck and P. Berglund, J. Am. Chem. Soc., 2003, 125, 874 CrossRef CAS PubMed; (b) Y.-F. Lai, H. Zheng, S.-J. Chai, P.-F. Zhang and X.-Z. Chen, Green Chem., 2010, 12, 1917 RSC; (c) Y.-H. He, H.-H. Li, Y.-L. Chen, Y. Xue and Z. Guan, Adv. Synth. Catal., 2012, 354, 712 CrossRef CAS PubMed; (d) J. L. Wang, X. Li, H.-Y. Xie, B.-K. Liu and X.-F. Lin, J. Biotechnol., 2010, 145, 240 CrossRef CAS PubMed.
  17. (a) C. Li, X.-W. Feng, N. Wang, Y.-J. Zhou and X.-Q. Yu, Green Chem., 2008, 10, 616 RSC; (b) Z.-B. Xie, N. Wang, G.-F. Jiang and X.-Q. Yu, Tetrahedron Lett., 2013, 54, 945 CrossRef CAS PubMed; (c) Y. Zhang, N. Wang, Z.-B. Xie, L.-H. Zhou and X.-Q. Yu, J. Mol. Catal. B: Enzym., 2014, 110, 100 CrossRef CAS PubMed.
  18. (a) K. Li, T. He, C. Li, X.-W. Feng, N. Wang and X.-Q. Yu, Green Chem., 2009, 11, 777 RSC; (b) T. He, K. Li, M.-Y. Wu, X.-W. Feng, N. Wang, H.-Y. Wang, C. Li and X.-Q. Yu, J. Mol. Catal. B: Enzym., 2010, 67, 189 CrossRef CAS PubMed.
  19. L.-H. Zhou, N. Wang, G.-N. Chen, Q. Yang, S.-Y. Yang, W. Zhang, Y. Zhang and X.-Q. Yu, J. Mol. Catal. B: Enzym., 2014, 109, 170 CrossRef CAS PubMed.
  20. L.-H. Zhou, N. Wang, W. Zhang, Z.-B. Xie and X.-Q. Yu, J. Mol. Catal. B: Enzym., 2013, 91, 37 CrossRef CAS PubMed.
  21. (a) M. Rueping, E. Merino and E. Sugiono, ChemCatChem, 2012, 4, 987 CrossRef CAS PubMed; (b) M. Rueping, E. Sugiono and E. Merino, Chem.–Eur. J., 2008, 14, 6329 CrossRef CAS PubMed; (c) M. Rueping, E. Sugiono and E. Merino, Angew. Chem., Int. Ed., 2008, 47, 3046 CrossRef CAS PubMed.
  22. X.-F. Sun, N. Wang, Q. Wu and X.-F. Lin, Biotechnol. Lett., 2004, 26, 1019 CrossRef CAS.
  23. F.-W. Lou, B.-K. Liu, Q. Wu, D.-S. Lv and X.-F. Lin, Adv. Synth. Catal., 2008, 350, 1959 CrossRef CAS PubMed.
  24. L.-H. Zhou, N. Wang, W. Zhang, Z.-B. Xie and X.-Q. Yu, J. Mol. Catal. B: Enzym., 2013, 91, 37 CrossRef CAS PubMed.
  25. (a) C.-H. Wang, Z. Guan and Y.-H. He, Green Chem., 2011, 13, 2048 RSC; (b) B.-H. Xie, Z. Guan and Y.-H. He, J. Chem. Technol. Biotechnol., 2012, 87, 1709 CrossRef CAS PubMed; (c) M. Kapoor, A. B. Majumder and M. N. Gupta, Catal. Lett., 2015, 45, 527 CrossRef.
  26. (a) Z.-B. Xie, N. Wang, L.-H. Zhou, F. Wan, T. He, Z.-G. Le and X.-Q. Yu, ChemCatChem, 2013, 5, 1935 CrossRef CAS PubMed; (b) T. He, K. Li, M.-Y. Wu, X.-W. Feng, N. Wang, H.-Y. Wang, C. Li and X.-Q. Yu, J. Mol. Catal. B: Enzym., 2010, 67, 189 CrossRef CAS PubMed.

Footnote

Electronic supplementary information (ESI) available. See DOI: 10.1039/c5ra13267c

This journal is © The Royal Society of Chemistry 2015
Click here to see how this site uses Cookies. View our privacy policy here.