DOI:
10.1039/C5RA13009C
(Paper)
RSC Adv., 2015,
5, 67652-67657
Thermo-responsive amino acid-based vinyl polymers showing widely tunable LCST/UCST behavior in water†
Received
4th July 2015
, Accepted 3rd August 2015
First published on 3rd August 2015
Abstract
We report a thermo-responsive polymer system showing widely tunable UCST/LCST behaviors based on amino acid-derived vinyl polymers. Four amino acids of Gly, Ala, Phe and Val and their methyl esters were employed for preparation of vinyl polymers, by considering hydrophobicity of the side chain group. The water solubility of these polymers was first examined, and as a result most of the polymers were soluble in water at a neutral pH, except the methylated Phe-based polymer and the Val-based polymers. The COOH-carrying Ala-based polymer displayed an upper critical solution temperature (UCST) behavior in water below pH 2.0 due to thermo-reversible hydrogen bonding of the pendent COOH groups, while the Gly-based polymer did not show any phase separation. The methylation of such COOH groups induced a lower critical solution temperature (LCST) behavior. Widely tunable UCST/LCST behaviors were achieved between 18 °C and 73 °C by using copolymers from different monomer combinations. Cross-linking of methylated Ala-based polymers gave a thermo-reversible hydrogel, which exhibited swelling and deswelling transitions at around the same temperature as the LCST of the corresponding homopolymer.
Introduction
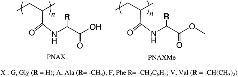
Stimuli-responsive polymers exhibit a drastic change in properties upon only small changes in the environment such as temperature, pH, ionic strength, light irradiation, and mechanical stimuli.1 These changes can result in phase separation from aqueous solutions. One of the representatives of stimuli-responsive polymers is a thermo-responsive polymer, the typical example being poly(N-isopropylacrylamide) (PNIPAM) which shows a lower critical solution temperature (LCST). It undergoes phase separation from dilute aqueous solution at about 33 °C.2 Above this temperature the dissolved polymer changes from coil to the globule conformation.3 PNIPAM and its related polymers have been well characterized and widely used to design smart polymer materials, their current application being drug delivery system, actuators, and switchable surfaces with hydrophilic and hydrophobic properties.1,4–6 To mimic PNIPAM as a smart material, several attempts have been made to achieve thermo-responsive functions from synthetic polypeptides that were basically prepared by α-amino acid N-carboxylic acid anhydride (NCA) polymerization.7 There exists such a thermo-responsive polymer in naturally-occurred biopolymers. Elastin-like peptides (ELP), typical thermo-responsive polypeptides, that consist of unique repeats of the pentapeptide sequence VPGXG (X is any amino acid except Pro) and undergo LCST transition depending on the kind of X.8–10 The LCST of ELPs can be precisely tuned between 0 and 100 °C by the replacement of X with other more than 20 kinds of amino acids.8 The high bio-compatibility of ELPs is also attractive for application to biomaterials such as scaffolds for cellular adhesion and bio-devices.11 In spite of these fascinating properties of ELPs, their utilization seems to be limited because the preparation processes must take much time, compared with such convenient procedures as conventional radical polymerization, due to step-by-step reactions by a solid phase synthesis method and also this method is unsuitable for mass production of polymers. So then it occurred to us to prepare amino acid-based vinyl monomers and their polymers that would be expected to show thermo-responsiveness and good bio-compatibility. Taking account into hydrophobicity of the side group of amino acid that will certainly play an important role for thermal behaviors, we employed four types of amino acids: Gly (G), Ala (A), Phe (F) and Val (V), and also their corresponding methyl esters as shown in Scheme 1. In spite of the high potential of such an amino acid-based vinyl polymer system, research had been limited to a few scattered publications12,13 that had dealt with only a couple of amino acid-based vinyl polymers. The pioneer work on amino acid-based vinyl polymers by Mori et al. have focused on polyacrylamides containing proline and hydroxyproline as a collagen model prepared by reversible addition–fragmentation chain transfer polymerization and elucidated their thermal properties in water.12 Agarwal et al. demonstrated the upper critical solution temperature (UCST) behavior of poly(N-acryloyl glycinamide) based on thermally reversible hydrogen bonding of the side chain amide groups.13 A series of our polymers are also expected to show LCST/UCST transitions on the basis of the same mechanism as previously reported,2,3,13 that is, LCST is derived from thermally reversible coil-to-globule conformational transition of the polymer chains due to hydrophobic dehydration and UCST is due to thermal formation–deformation of hydrogen bonding between the side chain groups.
 |
| | Scheme 1 Chemical structures for amino acid-based vinyl polymers employed in this study. | |
In the present study, we report on thermal (LCST/UCST) behavior of aqueous solutions of PNAX and PNAXMe homopolymers prepared from the corresponding monomers, N-acryloyl amino acids (NAX) and N-acryloyl amino acid methyl esters (NAXMe), respectively and their copolymers. Network polymers (hydrogels) from these amino acid-based polymers have been prepared by polymerization in the presence of a cross-linker, and their thermo-responsive swelling behavior is additionally demonstrated.
Experimental section
Materials and methods
Solvents of analytical grade were used unless otherwise stated. Amino acids (Gly, L-Ala, L-Phe, and L-Val) and their corresponding methyl esters were purchased from Peptide Institute Inc., (Osaka, Japan, >99%) and from Watanabe Chemical Industries, Ltd (Hiroshima, Japan, >99%), respectively. Acryloyl chloride (EP grade), N,N-dimethyl-formamide (DMF), DMSO-d6, MeOH-d4, 2,2′-azobisisobutylonitrile (AIBN, 98%), diethyl ether, and tetrahydrofuran (THF) were purchased from Nacalai tesque Inc. (Kyoto, Japan). Ethylacetate, dichlorometane, triethylamine, and N,N-methylene-bisacrylamine (MBA, 99%) were purchased from Wako Pure Chemical Industries, Ltd (Osaka, Japan). Ammonium persulfate (APS, >99%) and N,N,N′,N′-tetra-ethylmethylenediamine (TEMED, >98%) were purchased from Tokyo Chemical Industry (Tokyo, Japan). DMF was used after purification with distillation. 1H NMR spectra were acquired using a JEOL JNM-AL400 (JEOL Resonance, Tokyo, Japan) spectrometer (400 MHz). The number-average molecular weight (Mn) and the polydispersity index (Mw/Mn) of each polymer were determined by size exclusion chromatography (SEC) using a JASCO LC-net II/AD (JASCO Ltd, Tokyo, Japan) equipped with a refractive index (RI) detector (eluent, DMF or THF; flow rate, 1 mL min−1; temperature, 40 °C). Poly(methylmethacrylate)s were purchased from GL Sciences Inc. (Tokyo, Japan) and used as the calibration standard. Transmittance of aqueous polymer solutions was recorded at 600 nm on a V-650 spectrophotometer (JASCO Ltd, Tokyo, Japan) equipped with a Peltier type thermostatic cell holder coupled with a controller PTC-423L (JASCO Ltd, Tokyo, Japan).
Preparation of amino acid-based monomer NAX
NAG was prepared as follows. Glycine (2.0 g, 27 mmol) was dissolved in 3 M NaOH aqueous solution (20 mL) at 4 °C, to which acryloyl chloride (2.9 g, 32 mmol) was added dropwise. After stirring the solution for 3 h with ice cooling, 1 M HCl aqueous solution was added so as to acidify the solution to pH 2.0. To extract the objective, the aqueous solution was washed with ethylacetate several times. The collected organic phase was dried with anhydrous MgSO4, and after evaporation of the solvent the objective was obtained as a white solid in 61% (2.1 g) yield. 1H NMR (DMSO-d6, δ in ppm): 3.9 (2H, –COC
2NH–), 5.6–5.7 (1H, C
2CH–: vinyl (cis)), 6.1–6.2 (1H, C
2CH–: vinyl (trans)), 6.3–6.4 (1H, CH2C
–: vinyl), 8.4–8.5 (1H, –CH2N
CO–: amide), 12.5–12.8 (1H, –COO
, carboxy). NAA, NAF and NAV were also prepared with the same procedure as that of NAG, and were obtained in 72, 54 and 58% yield, respectively. The chemical structures were confirmed by 1H NMR spectroscopy.†
Preparation of amino acid-based monomer NAXMe
NAGMe was prepared by condensation reaction of glycine methyl ester (Gly-OMe) with acryloyl chloride. Gly-OMe–HCl (2.0 g, 16 mmol) was dissolved in dichloromethane (100 mL) together with triethylamine (5 mL, 50 mmol) at 4 °C. To this solution, dichloromethane solution (20 mL) of acryloyl chloride (1.7 g, 19 mmol) was added dropwise and then stirred under ice-cooling over night. After removal of the solvent, ethylacetate (100 mL) was added to the residue and the precipitated triethylamine hydrochloride was filtered off. The filtrate was washed with 1 M NaHCO3 aq. (100 mL) several times to remove excess acrylic acid in the presence of 1 M MgSO4 aq. due to salting-out effect and then the organic phase was dried. Finally, the residue after removal of the solvent was purified by using silica-gel column chromatography with diethyl ether as an eluent. Yield 48%, TLC (diethyl ether) Rf = 0.35 single spot. 1H NMR (DMSO-d6, δ in ppm): 3.6–3.7 (3H, –COOC
3), 3.9–4.0 (2H, –COC
2NH–), 5.6–5.7 (1H, C
2CH–: vinyl (cis)), 6.1–6.2 (1H, C
2CH–: vinyl (trans)), 6.3–6.4 (1H, CH2CH–: vinyl), 8.5–8.6 (1H, –CH2N
CO–: amide). NAAMe, NAFMe and NAVMe were synthesized with the same procedure as that of NAGMe, and were obtained in 48, 58 and 61% yields, respectively. The chemical structures were confirmed by 1H NMR spectroscopy.†
Polymerization of monomers
All polymers from the corresponding monomers, NAX and NAXMe, were prepared in almost the same manner, and thus only a typical example of NAGMe is described below. The polymerization of NAGMe (1.0 g, 8.7 mmol) was carried out in the presence of AIBN (0.01 g, 0.07 mmol) as an initiator in distilled DMF (3.5 mL) at 70 °C under nitrogen atmosphere. After 12 h, the content was condensed by evaporation of the solvent and the residue was then washed with diethyl ether several times and dried to give a white powder. Copolymerizations were performed for two different combination of monomers, NAG–NAA and NAGMe–NAAMe. The mixtures of such monomer combination (total monomer concentration = 2.0 M) having various compositions were copolymerized initiated with AIBN (1.0 wt% to monomers) in DMF at 70 °C for 12 h under nitrogen atmosphere. The copolymers thus obtained were purified in the same manner as described above. Molecular weight and PDI were measured by SEC, and the copolymer compositions were evaluated by 1H NMR spectroscopy.
Preparation of hydrogels and their swelling properties
The PNAAMe-derived network polymer was prepared by using a redox polymerization system (TEMED/APS) as follows. NAAMe (10 mg) as monomer, MBA (1 mg) as cross-linker, and APS (5 mg) were dissolved in water (2 mL), and to this solution 3 μL of TEMED was added and stirred gently at 5 °C. This aqueous solution was poured into the silicon sheet (as a spacer with 0.5 mm thickness)-attached glass plate, and then sandwiched with the another hydrophobized glass plate and was kept at a constant temperature of 5 °C for 12 h. The crude product was purified by immersing it in pure water that was replaced with fresh water several times for three days so as to remove unreacted monomers and initiators. Swelling ratio of the gel thus obtained was evaluated as follows. The gel with about 0.5 mm thickness was swelled over night at 5 °C to reach an equilibrium in swelling, and then was weighed (Ws). From the weight of the polymer before swelling (Wd) and Ws, the swelling ratio (SR) can be calculated according to the following equation,
| SR (%) = {(Ws − Wd)/Wd} × 100 |
The SRs were evaluated after 30 min-incubation at each temperature for swelling and deswelling cycling experiment.
Results and discussion
Preparation of amino acid-based monomers and polymers
Four amino acids of Gly, Ala, Phe and Val were employed for preparation of their vinyl monomers and polymers, by considering hydrophobicity of the side chain groups. The vinyl monomers of NAX and NAXMe were first synthesized by condensation reaction of acryloyl chloride with the corresponding amino acids and their methyl esters, respectively, with rather good yields of 60–80%. Polymers and copolymers of these amino acid-based vinyl monomers were then prepared by conventional radical polymerization initiated with AIBN in DMF ([monomer] = 2.0 M) at 60 °C for 12 h. The homopolymers thus obtained were characterized by means of SEC. The results of evaluated molecular weight (Mn) and polydispersity index (PDI) were summarized in Table 1, together with the conversion. The polymerization of all six monomers was found to proceed smoothly and reach above 90% conversion after 12 h.
Table 1 Results of polymerization of NAX and NAMe in DMF at 70 °C for 12 ha
| Polymer |
Conversion (%) |
Mnb × 10−4 |
Mw/Mnb |
Water solubilityc |
| [Monomer] = 2.0 M; [AIBN] = 1.0 wt% to monomer. Determined by SEC measurements in THF relative to poly(methylmethacrylate). Polymer concentration: 0.5 wt%. At neutral pH. At lower temperature (4 °C). + Good solubility. − Poor solubility. |
| PNAG |
91 |
6.5 |
2.1 |
+d |
| PNAA |
96 |
5.4 |
2.3 |
+d |
| PNAF |
91 |
3.8 |
1.4 |
+d |
| PNAV |
92 |
1.6 |
3.2 |
− |
| PNAGMe |
95 |
3.9 |
1.6 |
+e |
| PNAAMe |
94 |
1.5 |
1.5 |
+e |
| PNAFMe |
95 |
4.0 |
1.3 |
− |
| PNAVMe |
95 |
5.6 |
1.4 |
− |
First of all, water solubility of these polymers was examined at a polymer concentration of 0.5 wt% between 4 and 80 °C. For the polymers of a series of PNAX, pH dependence was also checked because of the existence of COOH group at the side chains that would be ionizable upon pH change. As a result, PNAG, PNAA and PNAF were soluble in water at neutral pH, and their methyl esters, except PNAFMe, were also soluble in water at lower temperatures. However, Val-based polymers (PNAV, PNAVMe) did not show any solubility to water under the prescribed conditions probably due to higher hydrophobicity of their side chain group (i-propyl group) than others.14
Thermal phase transition in aqueous solutions
Thermo-responsive behaviors of COOH-containing PNAG, PNAA and PNAF were studied by measuring turbidity at 600 nm of their aqueous solutions. Gly-based PNAG provided transparent solutions from 4 to 80 °C even when the solution pH and the polymer concentration were varied from pH 2.0 to 12.0 and from 0.5 to 3.0 wt%, respectively. To the contrary, Ala-based PNAA showed UCST-type transition. Fig. 1(a) displays turbidity curves of PNAA solutions with various polymer concentrations at pH 2.0, at which the pendent COOH groups are protonated. The transmittance of each polymer solution was measured continuously from 80 °C to 35 °C with a constant cooling rate of 1.0 °C min−1. It is obvious from the figure that the transmittance decreases upon cooling the solution and the steepness in transmittance decrement is enhanced with the polymer concentration. The observed temperature-dependence of turbidity means clearly the UCST behavior with transition temperature of 54 °C since above 1.0 wt% concentration the same turbidity curves were obtained. Furthermore, a reversible UCST behavior was observed for PNAA when returning the sample to 80 °C. Difference in the molecular structure between PNAG and PNAA exists only in the side chain group (–H and –CH3, respectively) and so their hydrophobicity seemed to be important factor to cause such a UCST behavior. The UCST behavior thus observed for PNAA solutions can be considered as follows. At pH 2.0 (below pKa value of the side chain COOH group) the side chain carboxylic acid group are protonated and the PNAA molecules allow to aggregate due to hydrogen bonding among COOH groups and/or between COOH and amide bond, induced with hydrophobic interaction of the side chain methyl groups. Upon elevating temperature, such polymer aggregates were dissolved because of weakening such hydrogen bonds. To clarify the importance of hydrogen bonding that triggered off such polymer aggregation, the same turbidity experiments were performed for PNAA solutions at higher pH (>3.0), at which the COOH groups are deprotonated and behave as anions, and in the presence of urea that is a well-known hydrogen bonding inhibitor. In such higher pH region, the polymer solutions showed no turbidity probably because hydrogen bonding became weak and hydrophilicity of the whole polymer chain was enhanced due to deprotonation of COOH groups (Fig. S1a†). No phase transition was also observed when the same experiment was performed in the presence of urea (8 M) (Fig. S1b†). These results strongly suggest that hydrogen bonding of the side chain COOH groups was of critical importance to cause the UCST behavior. Agarwal and coworkers have also suggested the importance of hydrogen bonding of the pendent group to cause UCST-type thermo-responsiveness.13 Phe-based PNAF provided transparent solutions from 4 °C to 80 °C at pH > 4, and lowering pH to 3.1 did not lead such a clear phase transition (UCST) as was observed for PNAA but a turbid suspension and a precipitate with huge aggregates, probably due to more hydrophobic phenyl group compared to methyl group of PNAA. Effects of the methylation of COOH groups on thermal behaviors were subsequently examined. The turbidity measurements for methylated PNAGMe and PNAAMe were performed in the same manner described above and their temperature dependences were displayed in Fig. 2. The aqueous solution of PNAGMe provides a typical LCST profile while that of PNAG before methylation showed no transition even at pH < 2.0 where the pendent COOH group was protonated completely. This clearly means that methylation of PNAG would increase significantly hydrophobicity of the polymer molecule and as a result induced such an LCST-type phase separation. PNAAMe is of interest to show a reverse trend (LCST) to that of COOH-carrying PNAA (UCST) due to lack of hydrogen bonding of the COOH group. The phase transition temperatures (LCST) for PNAGMe and PNAAMe are evaluated at high polymer concentrations in Fig. 2 to be 73 °C and 18 °C, respectively, and the observed difference in transition temperature can be assigned to the presence and the absence of methyl group on α-carbon of the amino acid residue. More hydrophobic PNAAMe would enhance aggregation of polymer molecules at a lower temperature, compared to PNAGMe.
 |
| | Fig. 1 Temperature dependence of the transmittance at 600 nm of aqueous solutions of PNAA with various concentration at pH 2.0. | |
 |
| | Fig. 2 Comparison of turbidity curves between PNAAMe (a) and PNAGMe (b) aqueous solutions (1.0 wt%). | |
In order to tune LCST and UCST in wide range, the copolymers with various compositions were prepared for combinations of NAAMe–NAGMe and NAA–NAG. Jones reported that the LCST of PNIPAM shifted to higher temperatures by copolymerization with more hydrophilic acrylic acid.15 Agarwal et al. demonstrated the lower temperature shift of UCST by copolymerization of N-acryloyl glycinamide with hydrophobic styrene.13 Copolymerizations for the combination of NAAMe–NAGMe and NAA–NAG were carried out through conventional radical polymerization initiated with AIBN. Polymerization conditions and characterization of the resultant copolymers were summarized in Table S1.† Fig. 3 shows temperature dependent turbidity change and relationship between LCST or UCST and the copolymer composition for the copolymers of poly(NAGMe-co-NAAMe) and poly(NAG-co-NAA). In UCST-type phase transition (Fig. 3(b)), the incorporation of NAG unit into the NAA copolymer gradually lowers the phase separation temperature from 54 °C to 43 °C and above 15% of NAG unit there appears no UCST behavior due to critical increment in hydrophilicity of the copolymer. On the other hand, for the copolymers (poly(NAGMe-co-NAAMe)) that appear LCST-type phase separation (Fig. 3(c)), they are found to show LCST behavior over whole copolymer composition (0–100% of NAAMe), as was expected since each homopolymer provided an intrinsic phase transition temperature. In Fig. 3(d), the LCST is found to increase systematically with increasing the content of relatively hydrophilic NAGMe unit. It should be noted that the copolymers prepared from combination of only two kinds of amino acids (Gly and Ala) and their minor derivatives can lead to both UCST- and LCST-type phase separation and also make it possible to manipulate the phase transition temperature widely. These results must provide important insights into designing thermo-responsive polymers for objective purposes in aqueous media.
 |
| | Fig. 3 Turbidity curves (a and c) and relationships between phase transition temperature (UCST or LCST) and copolymer composition (b and d) for poly(NAG-co-NAA) aqueous solution (pH 2.0) (a and b) and poly(NAGMe-co-NAAMe) aqueous solution (c and d). The copolymer concentration is 1.0 wt% for each solution. | |
Hydrogels from PNAAMe and its thermo-responsive properties
Finally we prepared a hydrogel from the LCST-type PNAAMe and examined its thermo-responsive property on swelling.
A redox polymerization was utilized for preparing the network polymer of NAAMe because it is available under a lower temperature inhibiting LCST-type phase separation of the produced polymer chains. The polymerization of NAAMe was carried out in the presence of MBA as a cross-linker initiated with a redox system of TEMED/APS in water at 5 °C that is enough below the LCST of PNAAMe. After removal of unreacted monomers and initiators by washing with water several times, a water-swollen network polymer was obtained, in which the cross-kinking ratio was adjusted to be 1.0 wt%.
Thermo-responsiveness in swelling of the PNAAMe hydrogel thus obtained was examined. Fig. 4(a) shows temperature-dependent change of swelling ratio. It is found to steeply decrease from ca. 2500–500% in a narrow temperature range between 14 and 15 °C, meaning transition of the hydrogel from swelling to deswelling. Such transition was also observed visually (see photos in Fig. 4(a)). It should be noted that the temperature range of transition is close to the LCST of PNAAMe homopolymer (18 °C). Therefore the observed transition from swelling to deswelling must be correlated to hydration state of the PNAAMe homopolymer in water. Fig. 4(b) displays the thermo-responsive change in swelling ratio when the PNAAMe hydrogel was alternately immersed in water at 10 °C and 40 °C, at which the hydrogel was incubated for 30 min. Cooling from 40 °C to 10 °C leads to the increment in swelling ratio and heating returns it to the original one. These changes in swelling ratio were almost reversible although the values of swelling ratio had a tendency to somewhat decrease in whole repeating process.
 |
| | Fig. 4 Temperature dependence of the swelling ratio (SR, %) for PNAAMe hydrogel (a). Reversible changes between swelling (10 °C) and deswelling (40 °C) for PNAAMe hydrogel (b). Measurements of the swelling ratio were performed after 30 min-incubation at the prescribed temperatures. Each point is the mean of three independent measurements, and bars represent standard deviation of means. | |
Conclusions
In this study, we demonstrated the tunable UCST/LCST behavior by using amino acid-based vinyl polymers, which were prepared through conventional radical polymerization of the corresponding monomers. In particular, we focused mainly on Gly- and Ala-based vinyl polymers, PNAG and PNAA, and PNAGMe and PNAAMe, which contain COOH group and COOMe group, at the side chain, respectively. The COOH-carrying PNAA showed UCST behavior in water below pH 2 due to thermo-reversible hydrogen bonding of the pendent COOH groups while PNAG did not show any aggregation. The methylation of such COOH groups (PNAGMe and PNAAMe) brought about LCST behavior because the side chains became more hydrophobic although transition temperatures were quite different between PNAGMe (73 °C) and PNAAMe (18 °C) depending on hydrophobicity of the whole polymer molecule. The widely tunable UCST and LCST were achieved via copolymerization of different monomer combination of NAG–NAA and NAAMe–NAGMe at varied ratio. The cross-linking of PNAAMe in water provided a thermo-reversible hydrogel that exhibited swelling and deswelling transition at around the same temperature as the LCST of PNAAMe homopolymer. These thermo-responsive amino acid-based polymers and hydrogels with tunable UCST and LCST will have great promising to construct new intelligent materials and in particular biomaterials for biomedical applications. We are currently extending this procedure to the design and synthesis of amino acid-based polymers having various architectures such as block and graft copolymers, whose segments have different thermal properties, that would show thermally-controllable self-organization behaviors.
Acknowledgements
This work was partly supported by a Grant-in-Aid for Scientific Research (KAKENHI) (No. 25410132 and No. 26390022) from Japan Society for the Promotion of Science (JSPS) and a MEXT-Supported Program for the Strategic Research Foundation at Private Universities.
References
- A. Cameron and K. M. Shakesheff, Adv. Mater., 2006, 18, 3321–3328 CrossRef PubMed.
- H. G. Schild, Prog. Polym. Sci., 2007, 208, 245–253 Search PubMed.
- Y. Maeda, T. Higuchi and I. Ikeda, Langmuir, 2000, 16, 7503–7509 CrossRef CAS.
- L. Jun, W. Bochu and W. Yazhou, Int. J. Pharm., 2006, 2, 513–519 Search PubMed.
- J. Hoffmann, M. Plotner, D. Kuckling and W. J. Fischer, Sens. Actuators, 1999, 77, 139–144 CrossRef CAS.
- T. Okano, N. Yamada and H. Sakai, Biomaterials, 1995, 16, 297–303 CrossRef CAS.
-
(a) C. Chen, Z. Wang and Z. Li, Biomacromolecules, 2011, 12, 2859–2863 CrossRef CAS PubMed;
(b) J. Shen, C. Chen, W. Fu, L. Shi and Z. Li, Langmuir, 2013, 29, 6271–6278 CrossRef CAS PubMed.
- H. Liu, Y. Xiao, Y. Guan, J. Zhang and M. Lang, Chem. Commun., 2015, 51, 10174–10177 RSC.
- D. W. Urry, Angew. Chem., Int. Ed., 1993, 32, 819–841 CrossRef PubMed.
- D. W. Urry, Prog. Biophys. Mol. Biol., 1992, 57, 23–57 CrossRef CAS.
- D. E. Meyer and A. Chilkoti, Biomacromolecules, 2004, 5, 846–851 CrossRef CAS PubMed.
- T. Koga, K. Nakamoto, K. Odawara, T. Matsuoka and N. Higashi, Polymers, 2015, 7, 134–146 CrossRef CAS PubMed.
-
(a) H. Mori, K. Sutoh and T. Endo, Macromolecules, 2005, 38, 9055–9065 CrossRef CAS;
(b) H. Mori, H. Iwaya, A. Nagai and T. Endo, Chem. Commun., 2005, 4872–4874 RSC;
(c) H. Mori, I. Kato, M. Matsuyama and T. Endo, Macromolecules, 2008, 41, 5604–5615 CrossRef CAS.
-
(a) J. Seuring and S. Agarwal, Macromol. Chem. Phys., 2010, 211, 2109–2117 CrossRef CAS PubMed;
(b) J. Seuring, F. M. Bayer, K. Huber and S. Agarwal, Macromolecules, 2012, 45, 374–384 CrossRef CAS.
- G. D. Rose, A. R. Geselowitz, G. J. Lesser, R. H. Lee and M. H. Zehfus, Science, 1985, 229, 834–838 CAS.
- M. S. Jones, Eur. Polym. J., 1999, 35, 795–801 CrossRef CAS.
Footnote |
| † Electronic supplementary information (ESI) available: 1H NMR analyses, Table S1 and Fig. S1. See DOI: 10.1039/c5ra13009c |
|
| This journal is © The Royal Society of Chemistry 2015 |
Click here to see how this site uses Cookies. View our privacy policy here.