Diversity oriented synthesis of 6-nitro- and 6-aminoquinolones and their activity as alkaline phosphatase inhibitors

Mariia Miliutinaa, Anton Ivanova, Syeda Abida Ejazb, Jamshed Iqbalb, Alexander Villingera, Viktor O. Iaroshenko*ac and Peter Langer*ad
aInstitut für Chemie, Universität Rostock, Albert Einstein Str. 3a, 18059 Rostock, Germany. E-mail: peter.langer@uni-rostock.de; iva108@googlemail.com
bCentre for Advanced Drug Research, COMSATS Institute of Information Technology, Abbottabad, Pakistan
cNational Taras Shevchenko University, 62 Volodymyrska Str., 01033 Kyiv, Ukraine
dLeibniz Institut für Katalyse an der Universität Rostock e.V., Albert Einstein Str. 29a, 18059 Rostock, Germany

Received 9th June 2015 , Accepted 6th July 2015

First published on 6th July 2015


Abstract

The novel quinolone derivatives synthesized by cyclization of α,β-ynones with primary amines were shown to be promising TNAP and IAP inhibitors. The mechanism of their formation was studied by the isolation of intermediates.


Introduction

Alkaline phosphatases (APs) are ubiquitous ectoenzymes widely distributed in nature from bacteria to humans, suggesting their involvement in important physiological processes. Their main functions consist of catalyzing dephosphorylation and transphosphorylation reactions on a broad spectrum of physiological and non-physiological substrates.1 AP isozymes, encoded by four homologous gene loci, are present in humans and mice. Three of them, known as the placental (PLAP), germ cell (GCAP) and intestinal (IAP) types are tissue-specific with highly restricted expression, while the fourth isozyme, tissue nonspecific AP (TNAP) is present in numerous tissues but particularly abundant in mineralizing tissues, the kidneys and the central nervous system (CNS).2

TNAP is encoded in humans by the AP (alkaline phosphatase, liver/bone/kidney) gene and by the Akp2 (alkaline phosphatase 2) gene in mice, both with 12 exons. In both species, two different transcripts derived from the same coding region have been described. Similar to the rest of the mammalian AP family, TNAP is a homodimeric protein anchored to the cytoplasmic membrane via two GPI moieties.3 Each monomer contains three metallic ions (two zinc molecules and one of magnesium) and one phosphate ion. The central core of each subunit consists of an extended β-sheet flanked by α-helices. Other two identifiable regions are the long N-terminal α-helix and an interfacial flexible loop known as the “crown domain”.4

TNAP hydrolyzes extracellular inorganic pyrophosphate (PPi), a potent mineralization inhibitor, to enable the physiological deposition of hydroxyapatite in bones and teeth. Deficiency of TNAP due to gene mutation is responsible for the severe disorder of bones and elevated levels of extracellular PPi.5 On the other hand unnecessary deposition of hydroxyapatite together with other forms of calcium phosphate in soft tissues results in over expression of TNAP and hipper calcification in smooth muscle cells of kidney and vessels. It provokes the progress of such serious diseases as end-stage renal disease, idiopathic infantile arterial calcification, ankylosis, osteoarthritis and diabetes. Therefore, there is need to develop potent inhibitors of TNAP and IAP which could be useful as therapeutic agents in the treatment of human atherosclerotic lesions.6

By keeping in view the literature findings and our continued interest in the development of potent inhibitors of alkaline phosphatases, we report a short, convenient and efficient method for the catalyst-free one-pot synthesis of 6-nitro-4-quinolones, which could be readily transformed to 6-amino-4-quinolones. The synthesized derivatives were investigated as new a class of inhibitors of alkaline phosphatases: tissue-nonspecific alkaline phosphatase (TNAP) and tissue specific intestinal alkaline phosphatase (IAP). 4-Quinolones are of considerable pharmacological relevance and a number of derivatives are used in the clinic.7–13 A variety of synthetic strategies have been developed for the synthesis of 4-quinolones.14–21 A general and modern method for the quinolone synthesis relies on cyclization reactions of ynones.22–25 Recently we have developed a synthetic concept for the assembly of several fused 4-pyridones, namely, fluorinated 4-quinolones,26 1,8-naphthyridin-4(1H)-ones,27 benzo[b][1,8]naphthyridin-4(1H)-ones,28 pyrido[2,3-b]quinoxalin-4(1H)-ones28 and thieno[3,2-b]pyridin-4(1H)-ones.29 Most of this work relies on transition metal catalysed cyclizations of alkynes with amines. Herein, we report a convenient catalyst-free one-pot synthesis of 6-nitro-4-quinolones which could be readily transformed to 6-amino-4-quinolones. The synthetic strategy has been previously efficiently applied by Shao at all for the synthesis of N-alkyl-substituted quinolone derivatives via tandem C–N bond-forming process.22 Cacchi's group reported a similar methodology for quinolone synthesis, whereas, the intermediates had to be isolated and CuI catalysis was required.23 However, the information about ring substitution is still lacking. Herein we report the synthesis of nitro- and amino-substituted quinolones which have, to the best of our knowledge, not been prepared. Moreover, considering that an aryl substituent can improve lipophilicity and action period of a drug we include N-aryl- as well as N-alkyl-derivatives to the new batch. The mechanism of the approach reported herein was studied based on the isolation of intermediates. The nitro- and aminoquinolones prepared in the current study show a considerable activity as TNAP and IAP inhibitors.

Results and discussion

Chemistry

Ynones 6a–d were prepared using a known procedure by Sonogashira cross-coupling reaction of benzoic acid chloride 5 with the appropriate acetylenes using Pd(PPh3)2Cl2 and CuI as catalysts (Table 1 and Scheme 1).30,31 For the isolation of 6a–d, the use of column chromatography was necessary which resulted in some loss of material, due to partial decomposition on silica. The reaction of ynones 6 with aliphatic and aromatic amines afforded a variety of 6-nitro-4-quinolones 7 (Scheme 1 and Table 2). In general, the cyclization proceeded in lower yields with anilines than with aliphatic amines which are more nucleophilic. The best yields of the desired products were obtained when the reactions were carried out at 120 °C in the presence of potassium carbonate (for aliphatic amines) or potassium phosphate (for aromatic amines) in DMF (reaction time: 6–10 h). The hydrogenation of products 7 under classical conditions (H2, 10% Pd/C, MeOH) readily afforded 6-amino-4-quinolones 8 in generally good to excellent yields. However, brominated quinolone 7aq underwent reduction of the bromine atom to a hydrogen atom to give the dehalogenated product 8ak.
Table 1 Synthesis of α,β-ynones 6
Entry 6 R1 Isolated yield, %
1 a 4-(Me)C6H4 76
2 b C6H5 65
3 c n-C4H9 75
4 d n-C5H11 78



image file: c5ra10948e-s1.tif
Scheme 1 Synthesis of 6-nitro-4-quinolones 7 and 6-amino-4-quinolones 8. Reagents and conditions: (i), Pd(PPh3)2Cl2 (0.01 equiv.), CuI (0.02 equiv.), THF, NEt3 (1.3 equiv.), appropriate alkyne (1.3 equiv.), 20 °C, 6 h; (ii), appropriate amine (1.7 equiv.), K2CO3 (2 equiv.), DMF, 120 °C, 7 h; (iii), H2, 10% Pd/C, MeOH, 20 °C, 4 h.
Table 2 Synthesis of 6-nitro-4-quinolones 7 and 6-amino-4-quinolones 8
Substrate 6 Amine Products 7a, isolated yield Products 8c, isolated yield
a Standard conditions for aliphatic amines: 1.7 equiv. appropriate amine, 2 equiv. K2CO3, DMF, 120 °C, 6–8 h.b Alternative conditions for aromatic amines: 1.7 equiv. primary amine, 2 equiv. K3PO4, DMF, 120 °C, 6–10 h.c Standard conditions: methanol, 0.1 equiv. 10% Pd/C, H2, 20 °C, 4–5 h.d Yield of the product 8ak obtained from substrate 7ak.e Yield of the product 8ak obtained from the substrate 7aq.f Experiment was not performed.g Specific conditions for the isolation of 9a and 9b: 1.7 equiv. of the appropriate amine, 2 equiv. KF, DMF, 120 °C, 10 h.h Specific conditions for isolation of 9c and 10a: 1.7 equiv. appropriate amine, 2 equiv. KF, DMF, 120 °C, 4 h.i Specific conditions for isolation of 9d and 10b: 1.7 equiv. cyclohexylamine, 2 equiv. KF, DMF, 60 °C, 10 h. In this case 7 was not formed.
image file: c5ra10948e-u1.tif image file: c5ra10948e-u2.tif image file: c5ra10948e-u3.tif image file: c5ra10948e-u4.tif
6a image file: c5ra10948e-u5.tif image file: c5ra10948e-u6.tif image file: c5ra10948e-u7.tif
6a image file: c5ra10948e-u8.tif image file: c5ra10948e-u9.tif image file: c5ra10948e-u10.tif
6a image file: c5ra10948e-u11.tif image file: c5ra10948e-u12.tif image file: c5ra10948e-u13.tif
6a image file: c5ra10948e-u14.tif image file: c5ra10948e-u15.tif image file: c5ra10948e-u16.tif
6a image file: c5ra10948e-u17.tif image file: c5ra10948e-u18.tif image file: c5ra10948e-u19.tif
6a image file: c5ra10948e-u20.tif image file: c5ra10948e-u21.tif image file: c5ra10948e-u22.tif
6a image file: c5ra10948e-u23.tif image file: c5ra10948e-u24.tif image file: c5ra10948e-u25.tif
6a image file: c5ra10948e-u26.tif image file: c5ra10948e-u27.tif image file: c5ra10948e-u28.tif
6a image file: c5ra10948e-u29.tif image file: c5ra10948e-u30.tif image file: c5ra10948e-u31.tif
6a image file: c5ra10948e-u32.tif image file: c5ra10948e-u33.tif image file: c5ra10948e-u34.tif
6a image file: c5ra10948e-u35.tif image file: c5ra10948e-u36.tif f
6a image file: c5ra10948e-u37.tif image file: c5ra10948e-u38.tif image file: c5ra10948e-u39.tif
6a image file: c5ra10948e-u40.tif image file: c5ra10948e-u41.tif image file: c5ra10948e-u42.tif
6a image file: c5ra10948e-u43.tif image file: c5ra10948e-u44.tif f
6a image file: c5ra10948e-u45.tif image file: c5ra10948e-u46.tif image file: c5ra10948e-u47.tif
6a image file: c5ra10948e-u48.tif image file: c5ra10948e-u49.tif f
image file: c5ra10948e-u50.tif image file: c5ra10948e-u51.tif image file: c5ra10948e-u52.tif image file: c5ra10948e-u53.tif
6b image file: c5ra10948e-u54.tif image file: c5ra10948e-u55.tif f
6b image file: c5ra10948e-u56.tif image file: c5ra10948e-u57.tif image file: c5ra10948e-u58.tif
6b image file: c5ra10948e-u59.tif image file: c5ra10948e-u60.tif image file: c5ra10948e-u61.tif
6b image file: c5ra10948e-u62.tif image file: c5ra10948e-u63.tif image file: c5ra10948e-u64.tif
6b image file: c5ra10948e-u65.tif image file: c5ra10948e-u66.tif image file: c5ra10948e-u67.tif
6b image file: c5ra10948e-u68.tif image file: c5ra10948e-u69.tif image file: c5ra10948e-u70.tif
6b image file: c5ra10948e-u71.tif image file: c5ra10948e-u72.tif f
image file: c5ra10948e-u73.tif image file: c5ra10948e-u74.tif image file: c5ra10948e-u75.tif image file: c5ra10948e-u76.tif
6c image file: c5ra10948e-u77.tif image file: c5ra10948e-u78.tif f
6c image file: c5ra10948e-u79.tif image file: c5ra10948e-u80.tif f
6c image file: c5ra10948e-u81.tif image file: c5ra10948e-u82.tif f
6c image file: c5ra10948e-u83.tif i f
image file: c5ra10948e-u84.tif image file: c5ra10948e-u85.tif image file: c5ra10948e-u86.tif image file: c5ra10948e-u87.tif
6d image file: c5ra10948e-u88.tif image file: c5ra10948e-u89.tif image file: c5ra10948e-u90.tif


During the optimization of the conditions of the cyclization, we were able to isolate side-products 9 and 10 (Scheme 2). The quantity of these compounds strongly depends on the conditions (see legend of Table 2). The formation of products 9 can be explained by reaction of 6 with two molecules of the amine, i.e. conjugate addition to the ynone and nucleophilic substitution at the arene. Products 10 are formed by conjugate addition of the amine to the alkynone moiety. Under the standard conditions applied for the synthesis of quinolones 7, side-products 9 and 10 were formed only in very small quantities (1–2%). However, 9a–d could be isolated and spectroscopically characterized when the reaction was carried out at lower temperature. Reduction of the reaction time during the synthesis of nitroquinolone derivatives allowed us to isolate intermediates 10a and 10b. In general, the yields of unwanted side-products 9 and 10 increased when potassium fluoride was employed instead of standard K2CO3 and K3PO4.


image file: c5ra10948e-s2.tif
Scheme 2 Side-products 9 and 10. Yields of isolated compounds obtained in reaction conditions specified in footnotes g, h, and i of Table 2.

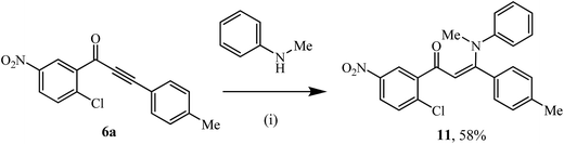
To study the mechanism of the cyclization, we heated compounds 10 under standard conditions (footnote a of Table 2). In fact, products 10a and 10b were converted into quinolones 7. In contrast, heating of compound 9 resulted in no conversion. This result suggests that mono-adducts 10a and 10b can be regarded as intermediates of the cyclization reaction, whereas bis-adducts 9 are by-products and are not involved in the reaction mechanism. Therefore, it can be anticipated that the first step of the formation of 7 proceeds by conjugate addition of the amine to the ynone. In the second step, the cyclization takes place by an intermolecular nucleophilic substitution of the chlorine atom of the benzene moiety. The leaving group is strongly activated by the nitro group located in para position. The suggested mechanism is also confirmed by the following observation: the reaction of N-methylaniline with ynone 6 afforded product 11 in good yield (Scheme 3). This product cannot undergo a further cyclization because of the complete substitution of the nitrogen atom. The high yield of 11 suggests that the first attack of the amine occurs at the ynone and not at the arene moiety of 6. Indeed, related reactions were previously reported.23


image file: c5ra10948e-s3.tif
Scheme 3 Reaction of 6a with a secondary amine. Reagents and conditions: (i) 1.7 equiv. N-methylaniline, 2 equiv. K3PO4, DMF, 120 °C, 8 h.

The cyclization of 6a with aliphatic diamines afforded bis(4-quinolones) 12a and 12b in good yields (Scheme 4). The synthesis of bis(quinolones) containing two quinolone fragments using 6-amino-4-quinolones 8 as starting materials was next studied. The reaction of 8ai and 8aj with ynone 6a afforded the desired bis(quinolones) 13a and 13b, albeit, in rather low yield. The low yields can be explained by the low nucleophilicity of the amino group of 6-aminoquinolones 8.


image file: c5ra10948e-s4.tif
Scheme 4 Bis(quinolones) 12a, b and two-unit chains of 4-quinolones 13a, b.

The structures of 4-nitroquinolones 7ab, 7ac, and 7bd were independently confirmed by X-ray crystallographic analyses (Fig. 1–3).32


image file: c5ra10948e-f1.tif
Fig. 1 Molecular structure of compound 7ab.

image file: c5ra10948e-f2.tif
Fig. 2 Molecular structure of compound 7ac.

image file: c5ra10948e-f3.tif
Fig. 3 Molecular structure of compound 7bd.

The reaction of 6-aminochromone 8ab with CuBr2 and t-butyronitrite afforded dibrominated quinolone 14 in 72% yield. The Suzuki–Miaura reaction of 14 with 4-ethylphenylboronic acid afforded diarylated quinolone 15, albeit, in low yield. Due to the low yield, Pd catalyzed cross-coupling reactions of dibromide 14 were not further studied. In contrast, the Suzuki–Miaura reaction of known 3,6-dibromochromone gave product 16 in 48% yield (Scheme 5). The structures of 15 and 16 were independently confirmed by X-ray crystal structure analyses (Fig. 4 and 5). The measured crystal of 15 contains small amounts (about 3%) of the 6-aryl-3-bromo derivative, which was formed as an intermediate product during the Suzuki–Miaura coupling reaction.


image file: c5ra10948e-s5.tif
Scheme 5 Modification of the C-6 and C-3 positions in 4-quinolone and chromone. Reagents and conditions: (i) t-BuNO2, CuBr2, acetonitrile; (ii) 8ab or 3,6-dibromo-4H-chromen-4-one, 1.2 equiv. of aryl boronic acid, 0.1 equiv. of Pd(PPh3)4, 10 equiv. K2CO3, toluene/H2O/MeOH = 5.5/1/1.5, 90 °C, 4 h.

image file: c5ra10948e-f4.tif
Fig. 4 Molecular structure of compound 15.

image file: c5ra10948e-f5.tif
Fig. 5 Molecular structure of compounds 16.

Alkaline phosphatase inhibition assay

We tested the activity of 6-nitroquinolones 7 and 6-aminoquinolones 8 as inhibitors of bovine kidney alkaline phosphatase enzyme (TNAP) and intestinal alkaline phosphatase enzyme (IAP). A chemiluminescent substrate, CDP-star, was used for the determination of alkaline phosphatase activity. The conditions for the assay were optimized with slight modifications of the previously used spectrophotometric method.33

Synthesized quinoline derivatives were analysed against two isozymes of alkaline phosphatase, i.e. b-TNAP and c-IAP. By varying the substituents located at the heterocyclic core structure, various derivatives were synthesized, including 6-amino quinoline and 6-nitro quinolones. All these derivatives were active against b-TNAP and c-IAP with some exceptions. All nitroquinolones 7 were active against TNAP and the inhibitory values were in the range of IC50 ± SEM = 1.43 ± 0.08 to 134.1 ± 3.66 μM. Besides the inhibition, the selectivity represents an important issue. Among these, 7ba was found to be a very potent and, in addition, a selective inhibitor of b-TNAP having an inhibitory value of IC50 ± SEM = 6.34 ± 0.23 μM. This compound showed a threefold higher potential as compared to the reference standard used in the assay, i.e. Levamisole with a value of IC50 ± SEM = 19.21 ± 0.001 μM. A detailed study of the structure revealed that the selective activity might be due to the presence of the 3,4-(dimethoxyphenyl)ethyl substituent located at the nitrogen and an aryl group located at position 2 of the 6-nitroquinolone ring. Compound having an alkyl group located at position 2 of the quinolone moiety, i.e. derivatives 7cb and 7db, displayed a significant inhibitory activity against b-TNAP, with IC50 ± SEM = 1.43 ± 0.08 and 1.51 ± 0.006 μM, respectively. Compounds having an alkyl substituent located at the nitrogen atom, such as 7ab, 7ad, 7ag and 7aj, are inactive or show a low activity against TNAP. All these derivatives remain active against c-IAP, except two compounds. All 6-nitroquinolones displayed inhibitory activity against C-IAP in the range of IC50 ± SEM = 1.38 ± 0.01 to 132.4 ± 2.45 μM. Derivative 7af, containing a cyclohexyl and a tolyl substituent, shows a high activity against both TNAP and C-IAP with IC50 ± SEM = 1.74 ± 0.002 and 1.75 ± 0.009 μM, respectively. Compounds bearing aryl substituents at position 2 display a significant activity against c-IAP, irrespective of the type of substituent located at position 1.

All aminoquinolones displayed a remarkable activity against b-TNAP in the range of IC50 ± SEM = 1.14 ± 0.65 to 78.1 ± 1.56 μM. Most of these compounds were found to be selective inhibitors of b-TNAP, however, some compounds were also active against c-IAP. A detailed study of the structure suggested that all compounds showing a potent activity against TNAP contain an aromatic ring located at position 2 of the quinolone. The presence of an alkyl group reduced the bioactivity. The activity against c-IAP were in the range of IC50 ± SEM = 0.443 ± 0.002 to 176.4 ± 2.34 μM. The structure–activity relationship elucidated that the presence of a bulky group or of a hydrophobic group located at the nitrogen atom results in a significant increase of the inhibitory effect against c-IAP. Compound 8an has been found to be the most potent derivative showing a IC50 value of IC50 ± SEM = 0.443 ± 0.002.

Two compounds of the series, i.e. 8ah and 16, contain a chromene substructure. These compounds were found to be more active against c-IAP than against b-TNAP. The inhibitory values against c-IAP were IC50 ± SEM = 0.797 ± 0.01 and 1.41 ± 0.08 μM, respectively. In contrast, against b-TNAP, these compound showed IC50 ± SEM = 5.84 ± 0.99 to 40.9 ± 1.23 μM.

Conclusions

A diversity orientated synthesis of biologically relevant novel 6-nitro- and 6-amino-4-quinolones was reported. The products were obtained in good to excellent yields. The operational simplicity of the methodology is remarkable. The methodology has a broad applicability with regard to the scope. A variety of products show a high and selective inhibition of enzyme alkaline phosphatase.

Experimental section

General information

NMR spectra were recorded on Bruker Avance 250 (250 MHz), Brucker Avance 300 (300 MHz) and Brucker Avance 500 (500 MHz). Chemical shifts (ppm) are given relative to solvent: references for CDCl3 were 7.26 ppm (1H NMR) and 77.16 ppm (13C NMR); references for DMSO-d6 were 2.54 ppm (1H NMR) and 39.50 ppm (13C NMR). Multiplets were assigned as s (singlet), d (doublet), t (triplet), q (quartet), p (pentet), m (multiplet), br s (broad singlet). All measurements were carried out at room temperature unless otherwise stated. IR spectra were recorded on a Nicolet 6700 FT-IR spectrometer (ATR). A wavelength is given in cm−1. Abbreviations: s = strong; m = middle; w = weak. Melting points were measured on Stanford Research Systems oder Micro-Hot-Stage GalenTM III Cambridge Instruments. Abbreviation: Mp. The melting points were not corrected. Mass spectra were obtained on a Hewlett-Packard HP GC/MS 5890/5972 instrument (EI, 70 eV) by GC inlet, on a MX-1321 and Finnigan MAT 95 XP instruments (EI, 70 eV) by direct inlet. The data are given as mass units per charge (m/z). Column chromatography was performed on silica gel (63–200 mesh, Merck). Chemical yields refer to pure isolated substances. The CDP-Star chemiluminescent substrate was obtained from Sigma Aldrich while other chemicals used in the assay were of analytical grade.

Alkaline phosphatase inhibition assay

The diethanolamine (8 M DEA (pH 9.8), 2.5 mM MgCl2 and 0.05 mM ZnCl2) was used as assay buffer. All the compounds were tested at the final concentration of 0.2 mM with the final DMSO 1% (v/v). The total volume of 50 μL contained 10 μL of a tested compound, followed by the addition of 20 μL of TNAP (1[thin space (1/6-em)]:[thin space (1/6-em)]800 times diluted (0.8 units per mL) enzyme in assay buffer). The mixture was pre-incubated for 3–5 minutes at 37 °C and luminescence was observed as pre-read using microplate reader (BioTek FLx800, Instruments, Inc. USA). Then, 20 μL of CDP-star (final concentration of 110 μM) was added to initiate the reaction and the assay mixture was incubated again for 15 min at 37 °C. The change in the luminescence was observed as after-read. The activity of each compound was compared with total activity control (without any inhibitor). Levamisole (2 mM per well) was used as a positive control. For potentially active compounds, exhibited over 50% inhibition, full concentration inhibition curves were produced. For this purpose 6 to 8 serial dilutions of each compound (200 μM to 20 nM) were prepared in assay buffer and their dose response curves were obtained by assaying each inhibitor concentration against TALP using the above mentioned reaction conditions. All experiments were repeated three times. The Cheng Prusoff equation was used to calculate the IC50 values (Table 3), determined by the non-linear curve fitting program PRISM 5.0 (GraphPad, San Diego, California, USA).
Table 3 Tissue non-specific alkaline phosphatase (b-TNAP) and intestinal alkaline phosphatase (c-IAP) inhibition data for the synthesized compounds
Codes b-TNAP c-IAP Codes b-TNAP c-IAP
IC50a (μM) ± SEM or (% inhibition)b IC50a (μM)± SEM or (% inhibition)b IC50a (μM) ± SEM or (% inhibition)b IC50a (μM)± SEM or (% inhibition)b
a The IC50 is the concentration at which 50% of the enzyme activity is inhibited.b The % inhibition of the enzyme activity caused by 0.2 mM of the tested compounds.
7aa 11.2 ± 1.11a 19.1 ± 0.76a 8aa 31.9 ± 1.23a 2.63 ± 0.99a
7ab 132.6 ± 1.78a 48.65%b 8ab 9.25 ± 0.88a 23.3 ± 1.54a
7ac 17.9 ± 2.45a 4.75 ± 0.45a 8ac 2.87 ± 0.04a 45.21%b
7ad 59.6 ± 2.67a 31.2 ± 2.11a 8ad 1.77 ± 0.001a 34.5 ± 1.23a
7ae 12.5 ± 1.06a 23.1 ± 1.09a 8ae 78.1 ± 1.56a 45.67%b
7af 1.74 ± 0.002a 1.75 ± 0.009a 8af 37.4 ± 2.33a 35.98%b
7ag 43.2 ± 3.55a 10.9 ± 0.33a 8ag 9.74 ± 1.07a 4.36 ± 0.21a
7ah 4.56 ± 0.33a 5.88 ± 0.13a 8ah 5.84 ± 0.99a 0.797 ± 0.01a
7ai 22.9 ± 3.11a 4.96 ± 0.98a 8ai 30.4 ± 1.34a 11.4 ± 1.21a
7aj 11.6 ± 0.22a 132.4 ± 2.45a 8ak 4.33 ± 0.66a 39.8 ± 1.34a
7ak 21.9 ± 2.11a 1.51 ± 0.002a 8am 7.59 ± 0.56a 34.56%b
7al 4.71 ± 0.34a 10.3 ± 1.56a 8an 1.98 ± 0.01a 0.443 ± 0.002a
7am 20.4 ± 1.98a 54.7 ± 2.15a, 34.56%b 8ap 49.1 ± 2.15a 16.6 ± 0.76a
7an 3.13 ± 0.22a 3.32 ± 0.08a 8ba 6.61 ± 0.89a 21.34%b
7ao 2.91 ± 0.11a 11.3 ± 0.65a 8bc 4.45 ± 0.03a 4.71 ± 0.43a
7ap 12.8 ± 1.21a 4.26 ± 0.33a 8bd 3.24 ± 0.02a 13.2 ± 0.97a
7aq 11.8 ± 0.98a 73.3 ± 1.76a 8be 10.2 ± 1.76a 48.98%b
7ba 6.34 ± 0.23a 12.33b 8bf 17.4 ± 1.09a 154.2 ± 1.34a
7bc 4.17 ± 0.21a 54.3 ± 0.43a 8bg 2.13 ± 0.03a 48.65%b
7bd 11.8 ± 0.11a 10.7 ± 0.44a 8ca 4.16 ± 0.23a 18.1 ± 1.21a
7be 9.72 ± 0.99a 23.6 ± 1.33a 8da 29.7 ± 2.11a 176.4 ± 2.34a
7bf 7.62 ± 0.22a 15.4 ± 0.11a 12a 1.14 ± 0.65a 1.24 ± 0.04a
7bg 3.98 ± 0.06a 2.87 ± 0.02a 12b 4.17 ± 0.99a 5.91 ± 0.66a
7bh 3.39 ± 0.001a 1.59 ± 0.91a 13a 2.55 ± 0.03a 10.7 ± 0.98a
7ca 134.1 ± 3.66a 6.44 ± 0.99a 13b 9.46 ± 1.23a 0.531 ± 0.01a
7cb 1.43 ± 0.08a 21.9 ± 0.87a 14 6.06 ± 1.01a 4.75 ± 0.09a
7cd 11.2 ± 1.23a 8.32 ± 1.22a 16 40.9 ± 1.23a 1.41 ± 0.08a
7db 1.51 ± 0.006a 1.38 ± 0.01a 17a 10.1 ± 1.12a 8.26 ± 1.45a
Levamisole 19.21 ± 0.001a      
L-Phenyl alanine 80.21 ± 0.001a      


General procedure for the synthesis of 6

A predried Schlenk tube was purged with inert gas, furnished with a mixture of 2-chloro-5-nitrobenzoyl chloride 5 (1.00 g, 1 equiv.), Pd(PPh3)2Cl2 (32 mg, 0.01 equiv.), CuI (18 mg, 0.02 equiv.) and closed with a septum stopper. Then extra dry THF (20 mL) and Et3N (0.82 mL, 1.3 equiv.) were added to the mixture. The Schlenk tube was threefold refilled with inert gas. Then the acetylene (1.3 equiv.) was added dropwise within 10 min with stirring. The reaction mixture was stirred for 6 h at room temperature. After the consumption of the starting material (TLC control) the solvent was evaporated under reduced pressure. In the case of solid character of the residue, the latter was washed with water, filtered and recrystallized from a mixture of n-heptane and ethanol (2[thin space (1/6-em)]:[thin space (1/6-em)]1). In case of an oily character of the residue, the crude reaction mixture was diluted with dichloromethane and washed with water. The organic layer was separated and dried over Na2SO4, filtered and purified by column chromatography (silica gel, chloroform/heptane, 3[thin space (1/6-em)]:[thin space (1/6-em)]1).
1-(2-Chloro-5-nitrophenyl)-3-p-tolylprop-2-yn-1-one (6a). Brown crystals, yield 76%. Mp 141–143 °C. 1H NMR (300.13 MHz, CDCl3): δ = 2.44 (s, 3H, –CH3), 7.27 (d, 2H, 3J = 8.0 Hz, –Tol), 7.59 (d, 2H, 3J = 8.0 Hz, –Tol), 7.70 (d, 1H, 3J = 8.7 Hz, Ar), 8.33 (dd, 1H, 3J = 8.7 Hz, 4J = 2.7 Hz, Ar), 8.95 (d, 1H, 4J = 2.7 Hz, Ar). 13C NMR (300.13 MHz, CDCl3): δ = 21.80 (–CH3, –Tol) 87.64 (C, –CC–Tol), 96.91 (C, –CC–Tol), 116.11 (C, Tol), 127.08 (CH, Ar), 127.18 (CH, Ar), 129.62 (2CH, Tol), 132.68 (CH, Ar), 133.40 (2CH, Tol), 136.67 (C-1, Ar), 140.00 (–CO–), 142.55 (C, Tol), 146.25 (C-2, Ar), 174.20 (C-5, Ar). IR (ATR, cm−1): [small nu, Greek, tilde] = 3108 (w), 2919 (w), 2202 (s), 1602 (s), 1519 (s), 1396 (m), 1342 (s), 1297 (s), 1248 (m), 1176 (m), 1074 (s), 1037 (m), 924 (m), 819 (s), 736 (s), 631 (m), 570 (m), 539 (m). MS (GC, 70 eV): m/z (%) = 301 (M1+, 14), 299 (M2+, 41), 271 (25), 189 (18), 143 (100), 115 (10), 89 (9). HRMS (ESI): calcd for C16H1035ClNO3: 299.0338, found: 299.0344; calcd for C16H1037ClNO3: 301.0314, found: 301.0312.
1-(2-Chloro-5-nitrophenyl)-3-phenylprop-2-yn-1-one (6b). Brown crystals, yield 65%. Mp 110–112 °C. 1H NMR (300.13 MHz, CDCl3): δ = 7.34–7.48 (m, 2H, Ph), 7.49–7.57 (m, 1H, Ph), 7.64–7.70 (m, 2H, Ph + 1H, Ar), 8.32 (dd, 1H, 3J = 8.8 Hz, 4J = 2.7 Hz, Ar), 8.93 (d, 1H, 4J = 2.7 Hz, Ar). 13C NMR (250.13 MHz, CDCl3): δ = 87.62 (C, –CC–Ph), 96.12 (C, –CC–Ph), 119.28 (C, Ph), 127.23, 127.27 (2CH, Ar), 128.85 (2CH, Ph), 131.60 (CH, Ph), 132.77 (CH, Ar), 133.38 (2CH, Ph), 136.58 (C-1, Ar), 140.11 (–CO–), 146.32 (C-2, Ar), 174.24 (C-5, Ar). IR (ATR, cm−1): [small nu, Greek, tilde] = 3107 (s), 2189 (m), 1651 (w), 1604 (m), 1573 (m), 1521 (m), 1486 (m), 1440 (m), 1349 (w), 1309 (w), 1270 (m), 1251 (m), 1198 (m), 1107 (m), 1077 (w), 997 (w), 897 (w), 839 (w), 810 (m), 761 (w), 735 (w), 688 (w), 627 (w), 594 (w), 537 (w). MS (GC, 70 eV): m/z (%) = 286 (M+, 29), 257 (26), 176 (21), 129 (100), 75 (21). HRMS (ESI): calcd for C15H8ClNO3: 286.0266, found: 286.0267.
1-(2-Chloro-5-nitrophenyl)hept-2-yn-1-one (6c). Yellow oil, yield 75%. 1H NMR (300.13 MHz, CDCl3): δ = 0.95 (t, 3H, 3J = 7.3 Hz, –C3H6CH3), 1.42–1.56 (m, 2H, –CH2CH2CH2CH3), 1.59–1.72 (m, 2H, –CH2CH2–CH2CH3), 2.51 (t, 2H, 3J = 7.0 Hz, –CH2C3H7), 7.64 (d, 1H, 3J = 8.8 Hz, Ar), 8.27 (dd, 1H, 3J = 8.8 Hz, 4J = 2.7 Hz, Ar), 8.84 (d, 1H, 4J = 2.7 Hz, Ar). 13C NMR (300.13 MHz, CDCl3): δ = 13.40 (–CH3, –n-But), 19.00, 22.01, 29.42 (3CH2), 80.33 (C, –CCn-Bu), 100.16 (C, –CC–n-Bu), 126.99, 127.33, 132.65 (3CH, Ar), 136.51 (C-1, Ar), 139.94 (–CO–), 146.14 (C-2, Ar), 174.35 (C-5, Ar). IR (ATR, cm−1): [small nu, Greek, tilde] = 2958 (m), 2871 (w), 2209 (m), 1660 (m), 1606 (m), 1524 (s), 1460 (m), 1344 (s), 1231 (s), 1053 (m), 914 (m), 835 (m), 738 (s), 533 (m). MS (GC, 70 eV): m/z (%) = 265 (M+, 1), 225 (23), 224 (11), 223 (71), 186 (33), 185 (12), 184 (100), 178 (11), 148 (15), 140 (10), 138 (28), 113 (21), 110 (29), 109 (70), 81 (32), 79 (47), 75 (26), 74 (16), 66 (22), 63 (14), 53 (30), 43 (33), 41 (42), 39 (19). HRMS (ESI): calcd for C13H12ClNO3: 265.0500, found: 265.0506.
1-(2-Chloro-5-nitrophenyl)oct-2-yn-1-one (6d). Yellow oil, yield 78%. 1H NMR (300.13 MHz, CDCl3): δ = 0.94 (t, 3H, 3J = 7.2 Hz, –(CH2)4CH3), 1.34–1.50 (m, 4H, –(CH2)2(CH2)2CH3), 1.70 (p, 2H, 3J = 7.2 Hz, –CH2CH2C3H7), 2.54 (t, 2H, 3J = 7.1 Hz, –CH2C4H9), 7.67 (d, 1H, 3J = 8.8 Hz, Ar), 8.30 (dd, 1H, 3J = 8.8 Hz, 4J = 2.7 Hz, Ar), 8.87 (d, 1H, 4J = 2.7 Hz, Ar). 13C NMR (250.13 MHz, CDCl3): δ = 13.79 (–C4H8CH3), 19.29, 22.04, 27.12, 31.03 (4CH2), 80.34 (C, –COCC–), 100.22 (C, –COCC–), 127.00, 127.33, 132.65 (3CH), 136.52 (C-1, Ar), 139.95 (–CO–), 146.14 (C-2, Ar), 174.36 (C-5, Ar). IR (ATR, cm−1): [small nu, Greek, tilde] = 2930 (m), 2209 (s), 1660 (s), 1605 (s), 1525 (s), 1459 (m), 1344 (s), 1230 (s), 1130 (m), 1051 (s), 839 (m), 738 (s), 534 (m). MS (GC, 70 eV): m/z (%) = 279 (M+, 2), 264 (12), 262 (11), 244 (16), 236 (10), 223 (16), 198 (12), 186 (36), 184 (100), 178 (10), 148 (13), 140 (12), 138 (31), 123 (14), 113 (19), 110 (21), 95 (55), 80 (19), 79 (16), 75 (19), 74 (12), 67 (34), 66 (18), 63 (10), 55 (40), 53 (14), 41 (36), 39 (15), 29 (28). HRMS (ESI-TOF): calcd for C14H14ClNO3: 279.0656, found: 279.0662.

General procedure for the synthesis of 7

Under a constant flow of an inert gas a pressure tube was charged with a magnetic stirrer, appropriate α,β-ynone 6 (450 mg, 1 equiv.), K2CO3 (for aliphatic amines) or K3PO4 (for aromatic amines) (2 equiv.), extra dry dimethylformamide (6 mL) and appropriate amine (1.7 equiv.). After the consumption of the starting material (6–10 h; TLC control) at 120 °C the reaction mixture was cooled to room temperature. The solvent was evaporated and the residue was recrystallized from an i-PrOH or purified by a column chromatography (silica gel, heptane/ethyl acetate (5[thin space (1/6-em)]:[thin space (1/6-em)]1 to 1[thin space (1/6-em)]:[thin space (1/6-em)]1); Rf ≈ 0.30–0.45).
1-(3,4-Dimethoxyphenethyl)-6-nitro-2-p-tolylquinolin-4(1H)-one (7aa). Brown crystals. 51%. Mp 163–165 °C. 1H NMR (300.13 MHz DMSO-d6): δ = 2.43 (s, 3H, –CH3, –Tol), 2.84 (t, 2H, 3J = 7.2 Hz, –CH2–CH2–Ar′), 3.59 (s, 3H, –OCH3), 3.73 (s, 3H, –OCH3), 4.37 (t, 2H, 3J = 7.2 Hz, –CH2–CH2Ar′), 6.07 (s, 1H, COCH[double bond, length as m-dash]), 6.27 (d, 1H, 4J = 1.9 Hz, Ar′), 6.39 (dd, 1H, 3J = 8.1 Hz, 4J = 1.9 Hz, Ar′), 6.79 (d, 1H, 3J = 8.1 Hz, Ar′), 7.28 (d, 2H, 3J = 7.9 Hz, –Tol), 7.34 (d, 2H, 3J = 7.9 Hz, –Tol), 8.28 (d, 1H, 3J = 9.5 Hz, Ar), 8.56 (dd, 1H, 3J = 9.5 Hz, 4J = 2.9 Hz, Ar), 9.00 (d, 1H, 4J = 2.9 Hz, Ar). 13C NMR (250.13 MHz, DMSO-d6): δ = 20.83 (CH3, –Tol), 33.43, 49.84 (2CH2), 55.07, 55.56 (2-OCH3), 111.77, 112.06, 113.08 (3CH), 120.07 (C), 120.66, 121.70 (2CH), 126.01 (C), 126.16 (CH), 128.24, 129.12 (4CH, –Tol), 129.34, 132.10, 139.28, 142.65 (4C), 144.11 (CH), 147.65, 148.64, 156.05, 174.93 (4C). IR (ATR, cm−1): [small nu, Greek, tilde] = 3087 (w), 2952 (w), 1637 (s), 1519 (s), 1470 (s), 1334 (s), 1265 (m), 1148 (m), 1033 (m), 832 (m), 746 (m), 626 (w). MS (GC, 70 eV): m/z (%) = 444 (M+, 17), 443 (13), 427 (91), 414 (39), 398 (12), 293 (32), 263 (23), 247 (36), 177 (21), 165 (11), 151 (100), 131 (27), 107 (14). HRMS (ESI): calcd for C26H24N2O5: 444.1679, found: 444.1685.
1-(4-Methoxybenzyl)-6-nitro-2-p-tolylquinolin-4(1H)-one (7ab). Yellow crystals, yield 83%. Mp 245–247 °C. 1H NMR (300.13 MHz, CDCl3): δ = 2.39 (s, 3H, CH3, –Tol), 3.77 (s, 3H, –OCH3), 5.27 (s, 2H, –CH2–), 6.36 (s, 1H, –COCH–), 6.83 (d, 2H, 3J = 8.8 Hz, Ar′), 6.91 (d, 2H, 3J = 8.8 Hz, Ar′), 7.21 (d, 2H, 3J = 8.3 Hz, –Tol), 7.25 (d, 2H, 3J = 8.3 Hz, –Tol + CDCl3), 7.45 (d, 1H, 3J = 9.4 Hz, Ar), 8.27 (dd, 1H, 3J = 9.4 Hz, 4J = 2.8 Hz, Ar), 9.28 (d, 1H, 4J = 2.8 Hz, Ar). 13C NMR (250.13 MHz, DMSO-d6): δ = 21.29 (–CH3, –Tol), 52.22 (–CH2–), 55.26 (–OCH3), 114.43 (CH), 114.64 (2CH), 118.89, 123.28, 126.13 (3CH), 126.56 (2CH), 126.84, 127.06 (2C), 127.89, 129.53 (4CH), 131.81, 140.38, 143.27, 144.59, 156.35, 159.25, 176.55 (7C). IR (ATR, cm−1): [small nu, Greek, tilde] = 2951 (w), 1634 (s), 1515 (s), 1472 (s), 1332 (s), 1253 (s), 1171 (m), 1114 (m), 1027 (m), 911 (m), 801 (s), 744 (m), 634 (m). MS (GC, 70 eV): m/z (%) = 400 (M+, 5), 122 (40), 121 (100), 77 (11). HRMS (ESI): calcd for C24H20N2O4: 400.1417, found: 400.1423.
(R)-6-Nitro-1-(1-phenylethyl)-2-p-tolylquinolin-4(1H)-one (7ac). Beige crystals, yield 87%. Decompose near to 365 °C. 1H NMR (500.13 MHz DMSO-d6): δ = 2.01 (d, 3H, 3J = 7.0 Hz, –CHCH3Ph), 2.39 (s, 3H, CH3, –Tol), 5.74 (q, 1H, 3J = 7.0 Hz, –CHCH3Ph), 6.19 (s, 1H, –COCH[double bond, length as m-dash]), 7.31–7.41 (m, 3H, Ar′ + 4H, –Tol), 7.47 (d, 1H, 3J = 9.6 Hz, Ar), 7.57 (d, 2H, 3J = 5.8 Hz, Ar′), 8.20 (dd, 1H, 3J = 9.6 Hz, 4J = 2.9 Hz, Ar), 8.95 (d, 1H, 4J = 2.9 Hz, Ar). 13C NMR (500.13 MHz, DMSO-d6): δ = 16.89, 20.81 (2CH3), 58.77 (CH, –CHMePh), 113.38 (CH, –COCH–), 121.65, 121.73, 124.96 (3CH), 125.34 (2CH), 127.18 (C), 127.45 (2CH), 129.07 (3CH), 129.60 (2CH), 132.64, 139.22, 139.61, 142.31, 142.85, 156.79, 174.96 (7C). IR (ATR, cm−1): [small nu, Greek, tilde] = 3084 (w), 1633 (s), 1513 (m), 1471 (s), 1331 (s), 1238 (m), 1085 (m), 911 (m), 864 (s), 835 (s), 749 (s), 695 (s), 652 (m). MS (GC, 70 eV): m/z (%) = 384 (M+, 2), 280 (15), 105 (100). HRMS (ESI): calcd for C24H20N2O3: 384.1468, found: 384.1461.
1-Heptyl-6-nitro-2-p-tolylquinolin-4(1H)-one (7ad). Brown crystals. 72%. Mp 133–135 °C. 1H NMR (300.13 MHz, DMSO-d6): δ = 0.83 (t, 3H, 3J = 7.0 Hz, –(CH2)6CH3), 1.12 (m, 8H, –(CH2)2(CH2)4CH3), 1.60 (p, 2H, 3J = 6.5 Hz, –CH2CH2C5H11), 2.45 (s, 3H, –CH3, –Tol), 4.15 (t, 2H, 3J = 7.9 Hz, –CH2C6H13), 6.12 (s, 1H, –COCH[double bond, length as m-dash]), 7.42 (d, 2H, 3J = 7.45 Hz, –Tol), 7.49 (d, 2H, 3J = 7.45 Hz, –Tol), 8.13 (d, 1H, 3J = 9.5 Hz, Ar), 8.53 (dd, 1H, 3J = 9.5 Hz, 4J = 2.9 Hz, Ar), 8.98 (d, 1H, 4J = 2.9 Hz, Ar). 13C NMR (250.13 MHz, DMSO-d6): δ = 13.73, 20.84 (2CH3), 21.86, 25.42 (2CH2), 27.62 (2CH2), 30.75, 48.04 (2CH2), 113.10, 119.78, 121.70 (3CH), 125.97 (C), 126.14 (CH), 128.21, 129.23 (4CH, Tol), 132.14, 139.33, 142.58, 144.08, 155.90, 174.88 (6C). IR (ATR, cm−1): [small nu, Greek, tilde] = 3058 (w), 2917 (w), 1640 (s), 1509 (m), 1465 (s), 1329 (s), 1192 (m), 1111 (m), 1057 (m), 909 (m), 835 (m), 797 (m), 745 (m), 653 (m). MS (GC, 70 eV): m/z (%) = 378 (M+, 57), 377 (55), 363 (12), 349 (15), 293 (100), 287 (20), 280 (73), 247 (57), 204 (15), 177 (24), 131 (26), 57 (14), 43 (20), 41 (23), 29 (16). HRMS (ESI): calcd for C23H26N2O3: 378.1937, found: 378.1943.
1-Hexyl-6-nitro-2-p-tolylquinolin-4(1H)-one (7ae). Brown crystals, yield 55%. Mp 160–162 °C. 1H NMR (300.13 MHz, CDCl3[thin space (1/6-em)]:[thin space (1/6-em)]DMSO-d6 6[thin space (1/6-em)]:[thin space (1/6-em)]1): δ = 0.76 (s, 3H, –C5H10–CH3), 1.01–1.17 (m, 6H, –(CH2)2–(CH2)3–CH3), 1.62 (p, 3J = 7.0 Hz, 2H, –CH2–CH2–C4H9), 2.42 (s, 3H, –CH3, –Tol), 4.08 (t, 3J = 7.9 Hz, 2H, –CH2–C5H11), 6.14 (s, 1H, –COCH[double bond, length as m-dash]), 7.31 (d, 3J = 1.7 Hz, 4H, –Tol), 7.80 (d, 1H, 3J = 9.5 Hz, Ar), 8.45 (dd, 1H, 3J = 9.5 Hz, 4J = 2.8 Hz, Ar), 9.11 (s, 1H, 4J = 2.8 Hz, Ar). 13C NMR (250.13 MHz, DMSO-d6): δ = 13.69, 20.86 (2CH3), 21.69, 25.18, 27.66, 30.22, 48.08 (5CH2), 113.12, 119.76, 121.70 (3CH), 125.96 (C), 126.12 (CH), 128.21, 129.25 (4CH, –Tol), 132.15, 139.36, 142.56, 144.07, 155.89, 174.87 (6C). IR (ATR, cm−1): [small nu, Greek, tilde] = 3077, 2918, 2855, 1640, 1508, 1466, 1240, 854, 833, 798, 745. MS (GC, 70 eV): m/z (%) = 364 (M+, 89), 293 (100), 280 (28), 248 (13), 247 (58), 234 (10), 204 (14), 177 (24), 131 (20), 43 (29), 41 (18), 29 (10). HRMS (ESI): calcd for C22H25N2O3: 364.1782, found: 364.1787.
6-Nitro-1-cyclohexyl-2-p-tolyl-4-quinolone (7af). Yellow crystals, yield 60%. Mp 260–262 °C. 1H NMR (300 MHz, CDCl3) δ = 0.9–1.29 (m, 4H, cyclohexyl), 1.81 (t, J = 12.6 Hz, 4H, cyclohexyl), 2.28 (qd, J = 12.7, 3.7 Hz, 2H, cyclohexyl), 2.39 (s, 3H, –CH3, –Tol), 4.17 (tt, J = 12.7, 3.7 Hz, 1H, cyclohexyl), 6.17 (s, 1H, –COCH[double bond, length as m-dash]), 7.2–7.26 (m, 4H, tolyl + CDCl3), 7.98 (d, 3J = 9.6 Hz, 1H), 8.3 (dd, 3,4J = 9.6, 2.9 Hz, Ar), 9.2 (d, 1H, 4J = 2.9 Hz, Ar). 13C NMR (300 MHz, CDCl3) δ = 21.43 (CH3), 24.98, 25.65, 26.35, 30.97, 33.96 (5CH2), 63.93, 114.87, 120.02, 123.58, 124.84 (5CH), 127.40 (C), 127.80, 129.70 (4CH), 133.42, 140.04, 142.80, 144.60, 157.09, 176.29 (6C). IR (ATR, cm−1): [small nu, Greek, tilde] = 2927 (m), 2853 (m), 1607 (m), 1557 (s), 1519 (m), 1499 (m), 1446 (w), 1309 (s), 1254 (s), 1207 (m), 1182 (m), 1141 (m), 1106 (s), 1034 (m), 821 (m), 792 (m), 748 (m), 678 (m), 653 (m). MS (GC, 70 eV): m/z (%) = 362 (M+, 31), 281 (31), 280 (100), 234 (911), 204 (12), 190 (10), 83 (18), 55 (50), 41 (26). HRMS (EI): calcd for C22H22N2O3: 362.1624, found: 362.1630.
6-Nitro-1-pentyl-2-p-tolylquinolin-4(1H)-one (7ag). Pale yellow crystals, yield 71%. Mp 164–166 °C. 1H NMR (250.13 MHz, DMSO-d6): δ = 0.74 (s, 3H, –C4H8–CH3), 1.07 (s, 4H, –C2H4–(CH2)2–CH3), 1.61 (s, 2H, –CH2–CH2–C3H7), 2.44 (s, 3H, –Tol), 4.12 (s, 2H, –CH2–C4H9), 6.08 (s, 1H, –COCH[double bond, length as m-dash]), 7.41 (d, 2H, 3J = 7.2 Hz, –Tol), 7.47 (d, 2H, 3J = 7.2 Hz, –Tol), 8.09 (d, 1H, 3J = 8.4 Hz, Ar), 8.49 (d, 1H, 3J = 8.4 Hz, Ar), 8.91 (s, 1H, Ar). 13C NMR (250.13 MHz, DMSO-d6): δ = 13.54, 20.86 (2CH3), 21.26, 27.51, 27.72, 48.17 (4CH2), 113.14, 119.75, 121.69 (3CH), 125.96 (C), 126.12 (CH), 128.18, 129.25 (4CH, –Tol), 132.16, 139.37, 142.56, 144.06, 155.90, 174.86 (6C). IR (ATR, cm−1): [small nu, Greek, tilde] = 2912 (w), 1634 (s), 1464 (s), 1329 (s), 1109 (m), 1056 (m), 911 (m), 832 (s), 745 (s), 652 (m). MS (GC, 70 eV): m/z (%) = 351 (M+1, 21), 350 (M+, 100), 349 (M−1, 14), 295 (10), 294 (19), 293 (98), 248 (10), 247 (45), 204 (14), 177 (22), 131 (21), 43 (20), 41 (11). HRMS (EI): calcd for C21H22N2O3: 350.1625, found: 350.1625.
1-n-Butyl-6-nitro-2-p-tolyl-4-quinolone (7ah). Light brown powder, yield 79%. Mp 192–194 °C. 1H NMR (250.13 MHz, DMSO): δ = 0.69 (t, 3H, 3J = 7.0 Hz, –C3H6–CH3), 1.11 (m, 2H, CH3CH2CH2CH2–), 1.6 (s, 2H, CH3CH2CH2CH2–), 2.44 (s, 3H, –CH3, –Tol), 4.14 (s, 2H, CH3CH2CH2CH2–), 6.09 (s, 1H, –COCH[double bond, length as m-dash]), 7.45 (dd, 4H, –Tol, 3J = 7.3 Hz), 8.1 (d, 1H, 3J = 8.5 Hz, Ar), 8.5 (d, 1H, 3J = 8.5 Hz, Ar), 8.93 (s, 1H, Ar). 13C NMR (75.47 MHz, DMSO): δ = 13.11, 18.92 (2CH3), 20.86, 29.95, 47.96 (3CH2), 113.13, 119.74, 121.67 (3CH), 125.94 (C) 126.01 (CH), 128.20, 129.25 (4CHAr), 132.15, 139.36, 142.52, 144.05, 155.89, 174.85 (6C). IR (ATR): [small nu, Greek, tilde] = 1638 (m), 1625 (m), 1606 (s), 1582 (m), 1508 (w), 1472 (s), 1394 (w), 1329 (s), 1251 (w), 1206 (m), 1172 (m), 1147 (w), 1135 (m), 1107 (w), 1014 (w), 975 (w), 931 (w), 911 (w), 838 (s), 825 (s), 798 (s), 767 (w), 747 (s), 730 (w), 701 (w). 672 (w), 654 (m), 628 (w), 579 (w), 537 (w). MS (GS): m/z (%) = 336 (M−1, 100), 294 (19), 293 (98), 247 (44), 204 (15), 190 (10), 177 (20), 131 (20), 76 (10), 41 (13), 29 (14). HRMS (ESI): calcd for C20H21N2O3: 337.15467, found: 337.15457.
6-Nitro-1-n-propyl-2-p-tolyl-4-quinolone (7ai). Light brown powder, yield 87%. Mp 117–118 °C. 1H NMR (250.13 MHz, DMSO): δ = 0.69 (t, 3H, Ar–CH3, 3J = 7.1 Hz), 1.65 (d, 2H, CH3CH2CH2–, 3J = 7.1 Hz), 2.45 (s, 3H, CH3CH2CH2–), 4.08–4.13 (m, 2H, CH3CH2CH2–), 6.11 (s, 1H, –COCH[double bond, length as m-dash]), 7.45 (dd, 4H, –Tol, 3J = 7.6 Hz), 8.13 (d, 1H, 8-H, 3J = 8.4 Hz), 8.52 (d, 1H, 7-H, 3J = 8.4 Hz), 8.97 (d, 1H, 5-H, 4J = 2.0 Hz). 13C NMR (75.47 MHz, DMSO): δ = 10.51, 20.89 (2CH3), 21.42, 49.69 (2CH2), 113.11, 119.86, 121.70 (3CH), 125.97 (C), 126.10 (CH), 128.18, 129.31 (4CH), 132.23, 139.39, 142.60, 144.09, 156.03, 174.88 (C). IR (ATR): [small nu, Greek, tilde] = 2972 (w), 1626 (s), 1605 (s), 1575 (m), 1509 (m), 1470 (s), 1390 (m), 1332 (s), 1293 (s), 1222 (w), 1179 (m), 1138 (m), 1106 (m), 1056 (m), 1014 (w), 964 (w), 924 (m), 914 (w), 847 (m), 824 (s), 798 (s), 746 (s), 700 (w), 672 (w), 653 (m), 576 (w), 542 (m). MS (GS): m/z (%) = 322 (M−1, 100), 294 (22), 293 (97), 248 (10), 247 (50), 204 (16), 190 (12), 177 (22), 131 (20), 76 (10), 41 (10). HRMS (ESI): calcd for C19H19N2O3: 323.13902, found: 323.13931.
1-Iso-propyl-6-nitro-2-p-tolyl-4-quinolone (7aj). Yellow powder, yield 82%. Mp 280–282 °C. 1H NMR (250.13 MHz, CDCl3): δ = 1.61 (s, 3H, CH3), 1.63 (s, 3H, CH3), 2.44 (s, 3H, Ar–CH3), 4.69–4.84 (m, 1H, Alk-CH), 6.23 (s, 1H, –COCH[double bond, length as m-dash]), 7.27–7.34 (m, 4H, –Tol), 7.91 (d, 3J = 9.6 Hz, 1H, 8-H), 8.37 (dd, 3,4J = 9.6, 2.8 Hz, 1H, 7-H), 9.25 (d, 4J = 2.8 Hz, 1H, 5-H). 13C NMR (75.47 MHz, CDCl3): δ = 21.30 (2CH3, -Alk), 21.36 (CH3, –Tol), 54.21 (CH, Alk), 114.55, 119.68, 123.70, 125.07 (4CH), 127.50 (2CH), 127.76 (C), 129.80 (2CH), 133.17, 140.14, 142.93, 143.76, 156.92, 176.12 (6C). IR (ATR): [small nu, Greek, tilde] = 3146 (w), 1633 (m), 1603 (s), 1506 (w), 1455 (m), 1405 (w), 1375 (w), 1332 (s), 1288 (s), 1247 (w), 1161 (m), 1136 (m), 1093 (w), 1055 (m), 1022 (w), 997 (w), 928 (w), 911 (w), 847 (s), 820 (s), 793 (m), 776 (w), 747 (s), 726 (w), 695 (w), 644 (m), 544 (w). MS (GS): m/z (%) = 322 (M−1, 72), 323 (16), 281 (19), 280 (100), 252 (14), 234 (38), 206 (12), 205 (13), 204 (17), 191 (18), 190 (17), 115 (10), 43 (30), 41 (16). HRMS (ESI): calcd for C19H19N2O3: 323.1390, found: 323.1396.
6-Nitro-1-phenyl-2-p-tolyl-4-quinolone (7ak). Brown powder, yield 64%. Mp 337–338 °C. 1H NMR (300.13 MHz, CF3COOD, DMSO): δ = 1.95 (s, 3H, CH3), 6.84 (dd, 3J = 8.4 Hz, 4H, Ar), 6.91–7.07 (m, 2H, Ar), 7.09–7.36 (m, 5H, Ar), 8.30 (dd, 3,4J = 9.7 Hz, 2.5 Hz, 1H, Ar), 9.12 (d, 4J = 2.5 Hz, 1H, Ar). 13C NMR (75.47 MHz, CF3COOD, DMSO-d6): δ = 23.25 (–CH3, –Tol) 113.00 (CH), 123.55 (C), 124.30, 125.56 (2CH), 131.51 (2CH), 131.85 (CH), 132.21, 132.60 (4CH), 132.79 (C), 133.70 (2CH), 134.57 (CH), 140.40, 145.77, 147.88, 149.47, 167.42, 173.74 (6C). IR (ATR): [small nu, Greek, tilde] = 3058 (w), 2334 (w), 2139 (w), 1639 (s), 1608 (s), 1508 (s), 1492 (s), 1462 (s), 1379 (s), 1332 (s), 1252 (m), 1194 (m), 1157 (w), 1146 (m), 1114 (m), 1061 (m), 1026 (m), 970 (w), 929 (w), 908 (m), 859 (s), 829 (s), 794 (s), 781 (s), 744 (s), 725 (s), 702 (s), 662 (m), 634 (m), 585 (w), 540 (s). MS (GS): m/z (%) = 356 (M+, 41), 328 (13), 278 (46), 277 (100), 201 (14), 199 (15), 183 (12), 119 (10), 93 (10), 77 (19), 43 (11). HRMS (ESI): m/z [M + H]+ calcd for C22H16O3N2: 356.1155, found: 356.1154.
6-Nitro-2-p-tolyl-2,4,6-trimethylphenyl-4-quinolone (7al). Brown powder, yield 65%. Mp 234–236 °C. 1H NMR (250.13 MHz, CDCl3): δ = 1.90 (s, 6H, CH3–Ar), 2.28 (s, 3H, o-CH3–Ar), 2.30 (s, 3H, o-CH3–Ar), 6.53 (s, 1H, –COCH[double bond, length as m-dash]), 6.81 (d, 3J = 9.4 Hz, 1H, 8-H), 6.89 (s, 2H, Ar), 7.07–6.97 (m, 4H, Ar), 8.23 (dd, 3,4J = 9.4, 2.7 Hz, 1H, 7-H), 9.34 (d, J = 2.7 Hz, 1H, 5-H). 13C NMR (75.47 MHz, CDCl3): δ = 17.84 (2CH3), 21.09, 21.27 (2CH3), 114.46, 118.48, 123.41 (3CH), 125.72 (C), 126.47 (CH), 128.12, 128.71, 130.03 (6CH), 131.39, 133.91 (2C), 135.79 (2C), 139.78, 139.98, 143.74, 144.64, 155.34, 176.95 (6C). IR (ATR): [small nu, Greek, tilde] = 2921 (w), 1634 (s), 1608 (s), 1556 (w), 1505 (m), 1455 (w), 1372 (m), 1330 (s), 1294 (m), 1261 (m), 1245 (m), 1210 (m), 1184 (m), 1146 (w), 1129 (w), 1116 (w), 1060 (w), 1034 (w), 1017 (w), 971 (w), 938 (m), 906 (w), 852 (m), 831 (m), 817 (s), 793 (m), 747 (s), 723 (m), 671 (w), 648 (m), 632 (w), 563 (m). MS (GS): m/z (%) = 398 (M+, 100), 399 (27), 370 (24), 352 (11). HRMS (ESI): calcd for C25H22O3N2: 398.1625, found: 398.1625.
1-(3,5-Dimethylphenyl)-6-nitro-2-p-tolylquinolin-4(1H)-one (7am). Yellow crystals, yield 61%. Mp 303–307 °C. 1H NMR (300.13 MHz DMSO-d6): δ = 2.27 (s, 9H, 3CH3), 6.44 (s, 1H, –COCH[double bond, length as m-dash]), 6.77 (s, 2H, Ar′), 6.96–7.09 (m, 1H, Ar + 1H, Ar′ + 4H, –Tol), 8.21 (dd, 1H, 3J = 9.4 Hz, 4J = 2.7 Hz, Ar), 9.30 (d, 1H, 4J = 2.7 Hz, Ar). 13C NMR (250.13 MHz, DMSO-d6): δ = 21.08 (2CH3, Ar′), 21.21 (CH3, –Tol), 113.81, 119.74, 122.98 (3CH), 125.51 (C), 125.71 (CH), 127.04, 128.62, 128.86 (6CH), 131.06 (CH, –Tol), 131.96, 138.27, 139.10 (3C), 139.87 (2C), 143.37, 145.88, 155.35, 176.85 (4C). IR (ATR, cm−1): [small nu, Greek, tilde] = 3080 (w), 2918 (w), 1640 (s), 1608 (s), 1510 (s), 1511 (m), 1462 (s), 1332 (s), 1188 (m), 1188 (m), 1118 (m), 1063 (m), 928 (m), 826 (s), 745 (s), 709 (m), 667 (m), 602 (m), 532 (s). MS (GC, 70 eV): m/z (%) = 385 (M+1, 27), 384 (M+, 100), 356 (29), 338 (16), 295 (13). HRMS (ESI): calcd for C24H20N2O3: 384.1468, found: 384.1476.
1-(2,3-Dihydro-1H-inden-5-yl)-6-nitro-2-p-tolylquinolin-4(1H)-one (7an). Yellow crystals, yield 62%. Mp 261–263 °C. 1H NMR (500.13 MHz CDCl3[thin space (1/6-em)]:[thin space (1/6-em)]DMSO-d6 9[thin space (1/6-em)]:[thin space (1/6-em)]1): δ = 1.96–2.08 (m, 2H, –CH2CH2CH2–), 2.24 (s, 3H, –CH3, –Tol), 2.74–2.90 (m, 4H, –CH2CH2CH2–), 6.32 (s, 1H, –COCH[double bond, length as m-dash]), 6.91 (d, 1H, 3J = 7.8 Hz, Ar′), 6.98–7.07 (m, 1H, Ar′ + 4H, –Tol + 1H, Ar + CDCl3), 7.20 (d, 1H, 3J = 7.8 Hz, Ar′), 8.17 (dd, 1H, 3J = 9.5 Hz, 4J = 2.7 Hz, Ar), 9.15 (d, 1H, 4J = 2.7 Hz, Ar). 13C NMR (500.13 MHz CDCl3[thin space (1/6-em)]:[thin space (1/6-em)]DMSO-d6 9[thin space (1/6-em)]:[thin space (1/6-em)]1): δ = 20.63 (CH3), 24.75, 31.87, 32.05 (3CH2), 112.94, 119.58, 121.90 (3CH), 124.64 (C), 124.84, 124.89, 125.08, 126.61 (4CH), 128.11 (2CH, –Tol), 128.31 (2CH, –Tol), 131.44, 135.78, 138.40, 142.62, 145.24, 145.63, 145.77, 155.16, 175.97 (9C). IR (ATR, cm−1): [small nu, Greek, tilde] = 3044 (w), 2917 (w), 1608 (s), 1456 (s), 1333 (s), 1129 (m), 1060 (m), 911 (m), 825 (s), 745 (m), 568 (m). MS (GC, 70 eV): m/z (%) = 397 (M+1, 27), 396 (M+, 100), 368 (24), 350 (13), 115 (13). HRMS (ESI): calcd for C25H20N2O3: 396.1468, found: 396.1474.
1-(3-Methoxyphenyl)-6-nitro-2-p-tolylquinolin-4(1H)-one (7ao). Brown crystals, yield 55%. Mp 272–274 °C. 1H NMR (300.13 MHz CDCl3[thin space (1/6-em)]:[thin space (1/6-em)]DMSO-d6 6[thin space (1/6-em)]:[thin space (1/6-em)]1): δ = 2.25 (s, 3H, –CH3, –Tol), 3.70 (s, 3H, –OCH3), 6.32 (s, 1H, –COCH[double bond, length as m-dash]), 6.74 (s, 1H, Ar′), 6.81 (d, 1H, 3J = 8.1 Hz, Ar′), 6.90 (dd, 1H, 3J = 8.1 Hz, 4J = 1.7 Hz, Ar′), 6.98–7.03 (m, 2H, –Tol), 7.09 (d, 2H, 3J = 7.9 Hz, –Tol + 1H, Ar), 7.30 (t, 1H, 3J = 8.1 Hz, Ar′), 8.23 (dd, 1H, 3J = 9.4 Hz, 4J = 2.6 Hz, Ar), 9.13 (d, 1H, 4J = 2.6 Hz, Ar). 13C NMR (300.13 MHz CDCl3[thin space (1/6-em)]:[thin space (1/6-em)]DMSO-d6 6[thin space (1/6-em)]:[thin space (1/6-em)]1): δ = 20.64 (–CH3, –Tol), 55.02 (–OCH3), 112.88, 114.72, 114.81, 119.47, 121.14, 121.81 (6CH), 124.80 (C), 125.31 (CH), 128.15, 128.25 (4CH, –Tol), 130.08 (CH), 131.29, 138.48, 138.70, 142.71, 145.26, 154.80, 160.03, 175.85 (8C). IR (ATR, cm−1): [small nu, Greek, tilde] = 3055 (w), 1600 (s), 1470 (s), 1333 (s), 1177 (m), 1050 (m), 914 (w), 829 (s), 790 (s), 745 (m), 691 (s), 584 (w), 535 (m). MS (GC, 70 eV): m/z (%) = 387 (M+1, 49), 386 (M+, 100), 385 (M−1, 10), 358 (44), 356 (28), 340 (23), 312 (12). HRMS (EIHR): calcd for C23H18N2O4: 386.1261, found: 386.1261.
1-(4-Methoxyphenyl)-6-nitro-2-p-tolylquinolin-4(1H)-one (7ap). Brown crystals. 71%. Mp 252–254 °C. 1H NMR (300.13 MHz, CDCl3/DMSO-d6 8[thin space (1/6-em)]:[thin space (1/6-em)]1): δ = 2.01 (s, 3H, –CH3, –Tol), 3.55 (s, 3H, –OCH3), 6.11 (s, 1H, –COCH[double bond, length as m-dash]), 6.78 (m, 9H, Ar), 7.95 (dd, 1H, 3J = 9.5 Hz, 4J = 2.8 Hz, Ar), 8.93 (d, 1H, 4J = 2.7 Hz, Ar). 13C NMR (300.13 MHz, CDCl3/DMSO-d6 8[thin space (1/6-em)]:[thin space (1/6-em)]1): δ = 20.54, 54.86 (2CH3), 112.91 (CH), 114.38 (2CH), 119.20, 121.94 (2CH), 124.38 (C), 125.06 (CH), 128.11, 128.21, 129.88 (6CH), 130.24, 131.29, 138.38, 142.58, 145.64, 155.19, 159.14, 175.96. IR (ATR, cm−1): [small nu, Greek, tilde] = 2917 (w), 1633 (s), 1506 (s), 1462 (s), 1326 (s), 1246 (s), 1182 (m), 1025 (m), 825 (s), 746 (m), 532 (m). MS (GC, 70 eV): m/z (%) = 387 (M+1, 55), 386 (M+, 100), 358 (39), 356 (23), 340 (24), 312 (11). HRMS (EIHR): calcd for C23H18N2O4: 386.1261, found: 386.1263.
6-Nitro-1-(3-bromphenyl)-2-p-tolyl-4-quinolone (7aq). Pale brown crystals, yield 48%. Mp 320–322 °C. 1H NMR (300.13 MHz, CDCl3/DMSO (8[thin space (1/6-em)]:[thin space (1/6-em)]1)) δ = 1.86 (s, 3H, CH3), 5.95 (s, 1H, Ar), 6.62–6.65 (m, 5H, Ar), 6.81 (d, 3J = 7.0 Hz, 1H, Ar), 6.91 (t, 3J = 7.9 Hz, 1H, Ar), 7.02 (s, 1H, Ar), 7.12 (d, 3J = 7.6 Hz, 1H, Ar), 7.86 (dd, 3J = 9.3 Hz, 4J = 2.7 Hz, 1H, Ar), 8.75 (d, 4J = 2.7 Hz, 1H, Ar). 13C NMR (75 MHz, CDCl3) δ = 20.19 (CH3), 112.59, 118.64, 121.54 (3CH), 122.02, 124.42 (2C), 125.11, 127.62 (2CH), 127.83, 127.86 (4CH), 130.30 (CH), 130.39 (C), 131.66, 131.81 (2CH), 138.32, 138.51, 142.40, 144.61, 154.11, 175.41 (6C). IR (ATR, cm−1): [small nu, Greek, tilde] = 3075 (w), 1644 (m), 1609 (m), 1586 (m), 1506 (m), 1471 (s), 1377 (m), 1334 (s), 1191 (w), 1060 (w), 909 (w), 859 (M), 828 (s), 794 (s), 745 (m), 702 (m), 656 (m), 533 (m). MS (GC, 70 eV): m/z (%) = 437 (M+1, 28), 436 (M+, C22H15N2O380Br, 99), 435 (M+1, 34), 434 (M+, C22H15N2O381Br, 100), 408 (26), 390 (12), 388 (15), 281 (12), 280 (26), 278 (13), 266 (10), 265 (14), 164 (14), 139 (15), 115 (16), 75 (12). HRMS (EI): calcd for C22H15N2O380Br: 434.0261, found: 434.0265; calcd for C22H15N2O381Br: 436.0240, found: 436.0246.
1-(3,4-Dimethoxyphenethyl)-6-nitro-2-phenylquinolin-4(1H)-one (7ba). Dark gray crystals, yield 89%. Mp 156–158 °C. 1H NMR (300.13 MHz DMSO-d6): δ = 2.84 (t, 2H, 3J = 7.1 Hz, –CH2CH2Ar), 3.60 (s, 3H, –OCH3), 3.72 (s, 3H, –OCH3), 4.34 (br s, 2H, –CH2CH2Ar), 6.09 (s, 1H, –COCH[double bond, length as m-dash]), 6.25–6.40 (m, 2H, Ar′), 6.77 (d, 1H, 3J = 8.1 Hz, Ar′), 7.34–7.64 (m, 5H, Ph), 8.28 (d, 1H, 3J = 9.4 Hz, Ar), 8.56 (dd, 1H, 3J = 9.4 Hz, 4J = 2.7 Hz, Ar), 8.99 (d, 1H, 4J = 2.7 Hz, Ar). 13C NMR (250.13 MHz, DMSO-d6): δ = 33.40, 49.87 (2-CH2–), 55.24, 55.52 (2-OCH3), 111.83, 112.16, 113.01, 119.99, 120.56, 121.68 (6CH, Ar), 125.96 (C), 126.18 (CH), 128.28, 128.59 (4CH, Ph), 129.29 (C), 129.62 (CH, Ph), 134.85, 142.64, 144.03, 147.64, 148.63, 155.83, 174.92 (7C). IR (ATR, cm−1): [small nu, Greek, tilde] = 2936 (w), 1634 (s), 1609 (m), 1515 (s), 1471 (s), 1421 (w), 1392 (w), 1332 (s), 1296 (m), 1264 (s), 1237 (s), 1189 (m), 1171 (m), 1144 (s), 1112 (m), 1065 (w), 1030 (m), 934 (w), 910 (w), 840 (m), 806 (s), 762 (m), 745 (s), 703 (m), 675 (m), 626 (w), 542 (w). MS (GC, 70 eV): m/z (%) = 430 (M+, 15), 413 (48), 400 (33), 277 (57), 249 (45), 233 (20), 206 (12), 199 (18), 183 (16), 178 (32), 1643 (89), 151 (86), 141 (21), 131 (11), 78 (40), 65 (26), 63 (100), 57 (15), 44 (57). HRMS (ESI): calcd for C25H22N2O3: 430.1523, found: 430.1529.
1-(4-Methoxybenzyl)-6-nitro-2-phenylquinolin-4(1H)-one (7bb). Brown crystals, yield 61%. Mp 227–229 °C. 1H NMR (300.13 MHz; DMSO-d6): δ = 3.67 (s, 3H, –OCH3), 5.33 (s, 2H, –CH2–), 6.20 (s, 1H, –COCH[double bond, length as m-dash]), 6.83 (d, 2H, 3J = 8.5 Hz, Ar′), 6.98 (d, 2H, 3J = 8.5 Hz, Ar′), 7.50 (s, 5H, –Ph), 7.80 (d, 1H, 3J = 9.5 Hz, Ar), 8.37 (dd, 1H, 3J = 9.5 Hz, 4J = 2.7 Hz, Ar), 8.92 (d, 1H, 4J = 2.7 Hz, Ar). 13C NMR (250.13 MHz, DMSO-d6): δ = 51.229 (CH2), 54.96 (CH3), 113.27 (CH), 114.22 (2CH), 120.34, 121.53 (2CH), 126.11 (C), 126.13 (CH), 126.94 (2CH), 127.50 (C), 128.10, 128.74 (4CH), 129.90 (CH), 134.69, 142.75, 144.36, 156.09, 158.49, 175.12 (6C). IR (ATR, cm−1): [small nu, Greek, tilde] = 2952 (w), 1608 (s), 1512 (s), 1470 (m), 1332 (s), 1245 (s), 1172 (m), 1028 (s), 802 (s), 709 (s). MS (GC, 70 eV): m/z (%) = 386 (M+, 4), 122 (38), 121 (100), 78 (12), 77 (14). HRMS (ESI): calcd for C23H18N2O4: 386.1260, found: 386.1267.
6-Nitro-1-phenethyl-2-phenylquinolin-4(1H)-one (7bc). Yellow crystals, yield 79%. Mp 263–265 °C. 1H NMR (300.13 MHz DMSO-d6/CF3COOD): δ = 2.90 (s, 2H, –CH2CH2Ph), 4.75 (s, 2H, –CH2CH2Ph), 6.47 (d, 2H, 3J = 6.5 Hz, Ph′), 6.87–7.15 (m, 3H, Ph′ + 3H, Ph), 7.27–7.49 (m, 2H, Ph + 1H, –COCH[double bond, length as m-dash]), 8.28 (d, 1H, 3J = 9.2 Hz, Ar), 8.67 (d, 1H, 3J = 9.2 Hz, Ar), 9.20 (s, 1H, Ar). 13C NMR (300.13 MHz DMSO-d6/CF3COOD): δ = 37.10, 55.30 (2CH2), 112.65, 123.44, 124.22 (3CH), 124.28 (C), 129.91 (CH), 130.33, 131.07 (4CH), 131.15 (CH), 131.44, 131.67 (4CH), 133.72 (CH), 135.60, 138.28, 145.07, 148.22, 165.60, 173.50 (6C). IR (ATR, cm−1): [small nu, Greek, tilde] = 3055 (s), 1634 (w), 1600 (m), 1557 (s), 1519 (m), 1494 (m), 1468 (w), 1443 (m), 1391 (s), 1368 (s), 1329 (w), 1294.3 (m), 1255 (m), 1192 (m), 1166 (m), 1145 (m), 1114 (m), 1078 (m), 1030 (s), 984 (m), 924 (m), 857 (w), 822 (w), 800 (m), 761 (w), 734 (w), 706 (w), 671 (m), 631 (m), 591 (m), 545 (m). MS (GC, 70 eV): m/z (%) = 370 (M+, 43), 279 (100), 233 (54), 177 (17), 131 (21). HRMS (EI): calcd for C23H18N2O3: 370.1312, found: 370.1312.
6-Nitro-4-oxo-2-phenyl-1-(3-phenylpropyl)quinoline (7bd). Yellow crystals, yield 66%. Mp 180 °C. 1H NMR (300.13 MHz DMSO-d6): δ = 1.94 (br s, 2H, –CH2CH2CH2Ph), 2.47 (m, 2H, –CH2CH2CH2Ph), 4.10 (br s, 2H, –CH2CH2CH2Ph), 6.09 (s, 1H, –COCH[double bond, length as m-dash]), 6.90–7.30 (m, 5H, Ph′), 7.56 (s, 5H, Ph), 8.05 (d, 1H, 3J = 8.6 Hz, Ar), 8.47 (d, 1H, 3J = 8.6 Hz, Ar), 8.93 (s, 1H, Ar). 13C NMR (250.13 MHz, DMSO-d6): δ = 29.09, 31.60, 47.92 (3C, –n-C3H6Ph), 113.08, 119.58, 121.71, 125.88 (4CH, Ar), 125.95 (1C, Ph), 126.01 (1C, Ar), 127.90, 128.26 (4CH, Ph), 128.11, 128.73 (4CH, Ph′), 129.69 (1CH, Ph′), 134.77, 140.09, 142.56, 144.07, 155.67, 174.91 (7C). IR (ATR, cm−1): [small nu, Greek, tilde] = 3055 (w), 2939 (w), 1627 (s), 1609 (s), 1580 (m), 1556 (w), 1516 (w), 1494 (w), 1465 (m), 1389 (m), 1331 (s), 1296 (m), 1211 (w), 1188 (m), 1167 (m), 1144 (m), 1113 (m), 1069 (m), 1050 (m), 1031 (w), 1013 (w), 933 (w), 910 (w), 846 (m), 814 (w), 763 (m), 746 (m), 735 (s), 704 (m), 692 (s), 674 (s). MS (GC, 70 eV): m/z (%) = 384 (M+, 100), 354 (11), 280 (18), 279 (92), 266 (20), 233 (45), 177 (20), 131 (15), 118 (15), 91 (81). HRMS (ESI): calcd for C24H22N2O3: 385.1547, found: 385.1547.
1-Heptyl-6-nitro-2-phenylquinolin-4(1H)-one (7be). Dark crystals, yield 90%. Mp 142–144 °C. 1H NMR (300.13 MHz DMSO-d6): δ = 0.81 (t, 3H, 3J = 6.7 Hz, –C6H12–CH3), 0.98–1.20 (br m, 8H, –C2H4–C4H8–CH3), 1.61 (br s, 2H, –CH2–CH2–C5H11), 4.11 (t, 2H, 3J = 7.4 Hz, –CH2–C6H13), 6.12 (s, 1H, –COCH[double bond, length as m-dash]), 7.61 (s, 5H, Ph), 8.11 (d, 1H, 3J = 9.5 Hz, Ar), 8.51 (dd, 1H, 3J = 9.5 Hz, 4J = 2.5 Hz, Ar), 8.94 (d, 1H, 4J = 2.5 Hz, Ar). 13C NMR (250.13 MHz, DMSO-d6): δ = 13.77 (–C6H12CH3), 21.84, 25.46, 27.63, 27.70, 30.79, 48.15 (6CH2, –C6H12–CH3), 113.07, 119.72, 121.69 (3CH), 125.95 (C), 126.14 (CH), 128.27 (2CH, Ph), 128.73 (2CH, Ph), 129.70 (CH, Ph), 134.94, 142.57, 144.03, 155.69, 174.88 (5C). IR (ATR, cm−1): [small nu, Greek, tilde] = 3062 (w), 2924 (w), 2853 (w), 1640 (m), 1602 (m), 1583 (m), 1515 (m), 1468 (s), 1393 (w), 1328 (s), 1188 (w), 1170 (w), 1140 (w), 1110 (m) 1057 (w), 1014 (w), 935 (w), 910 (w), 852 (m), 823 (m), 802 (m), 765 (s), 745 (s), 705 (s), 674 (m), 633 (w). MS (GC, 70 eV): m/z (%) = 364 (M+, 70), 293 (14), 287 (19), 279 (100), 266 (75), 245 (18), 233 (62), 204 (10), 191 (12), 177 (29), 131 (21), 57 (10), 43 (11), 41 (12). HRMS (EI): calcd for C22H24N2O3: 364.1781, found: 364.1773.
1-Cyclohexane-6-nitro-4-oxo-2-phenylquinoline (7bf). Yellow crystals, yield 60%. Mp 272–274 °C. 1H NMR (300.13 MHz DMSO-d6/CF3COOD): δ = 0.80–2.50 (m, 10H, cyclohexyl), 4.55 (t, 1H, 3J = 11.6 Hz, cyclohexyl), 6.95 (s, 1H, –COCH[double bond, length as m-dash]), 7.40–7.70 (m, 5H, Ph), 8.62 (s, 2H, Ar), 9.20 (s, 1H, Ar). 13C NMR (250.13 MHz DMSO-d6/CF3COOD): δ = 25.86 (1-CH2–), 27.80, 32.17 (4-CH2–), 69.15, 112.96, 123.54, 124.18 (4CH), 125.46 (1C), 128.67 (1CH), 128.94, 131.12 (4CH), 132.72 (1CH), 136.80, 144.92, 146.51, 163.94, 174.20 (5C). IR (ATR, cm−1): [small nu, Greek, tilde] = 2938 (s), 2854 (s), 1645 (m), 1610 (s), 1581 (s), 1513 (s), 1469 (m), 1442 (m), 1383 (s), 1330 (w), 1278 (s), 1262 (s), 1225 (s), 1188 (s), 1167 (s), 1141 (s), 1099 (s), 1067 (s), 1031 (s), 984 (s), 934 (s), 913 (s), 857 (m), 829 (s), 793 (s), 767 (m), 744 (m), 706 (w), 677 (s), 636 (s), 573 (s), 543 (s). MS (GC, 70 eV): m/z (%) = 348 (M+, 24), 266 (100), 190 (11), 83 (14), 55 (27), 41 (11). HRMS (EI): calcd for C21H20N2O3: 348.1467, found: 348.1468.
1-Hexyl-6-nitro-2-phenylquinolin-4(1H)-one (7bg). Red-Brown crystals, yield 81%. Mp 159–160 °C. 1H NMR (300.13 MHz; DMSO-d6): δ = 0.77 (t, 3H, 3J = 7.0 Hz, –CH3), 0.97–1.16 (br m, 6H, –(CH2)2–(CH2)3–CH3), 1.53–1.64 (m, 2H, –CH2–CH2–C4H9), 4.11 (t, 2H, 3J = 7.9 Hz, –CH2–C5H11), 6.12 (s, 1H, –COCH[double bond, length as m-dash]), 7.62 (s, 5H, Ph), 1.05 (d, 1H, 3J = 9.5 Hz, Ar), 8.51 (dd, 1H, 3J = 9.5 Hz, 4J = 2.9 Hz, Ar), 8.94 (d, 1H, 4J = 2.9 Hz, Ar). 13C NMR (250.13 MHz, DMSO-d6): δ = 13.68 (–CH3), 21.70, 25.19, 27.69, 30.19, 48.19 (5CH2), 113.08, 119.76, 121.72 (3CH), 125.96 (C), 126.19 (CH), 128.30, 128.77 (4CH, Ph), 129.73 (CH, Ph), 134.96, 142.60, 144.05, 155.74, 174.92 (5C). IR (ATR, cm−1): [small nu, Greek, tilde] = 2922 (w), 1641 (m), 1602 (m), 1583 (m), 1515 (w), 1469 (s), 1394 (w), 1328 (s), 1249 (w), 1188 (w), 1172 (m), 1111 (m), 1056 (m), 1019 (w), 991 (w), 935 (w), 911 (w), 853 (m), 823 (w), 801 (w), 766 (s), 745 (s), 707 (s), 674 (m), 633 (w), 539 (w). MS (GC, 70 eV): m/z (%) = 350 (M+, 95), 279 (100), 273 (12), 266 (25), 233 (69), 221 (12), 204 (15), 190 (14), 177 (17), 165 (11), 131 (25), 76 (10), 43 (30), 41 (24). HRMS (ESI): calcd for C21H22N2O3: 350.1624, found: 350.1630.
1-(3,5-Dimethoxybenzen)-6-nitro-4-oxo-2-phenylquinoline (7bh). Yellow crystals, yield 47%. Mp 248–251 °C. 1H NMR (300.13 MHz DMSO-d6/CDCl3 1[thin space (1/6-em)]:[thin space (1/6-em)]5): δ = 3.38 (s, 6H, 2CH3O-), 6.05 (d, 3H, 4J = 2.5 Hz, Ar), 6.10 (s, 1H, –COCH[double bond, length as m-dash]), 6.88 (d, 1H, 3J = 9.4 Hz, Ar), 6.95 (s, 5H, Ph), 7.93 (dd, 1H, 3J = 9.4 Hz, 4J = 2.6 Hz, Ar), 8.85 (d, 1H, 4J = 2.6 Hz, Ar). 13C NMR (300.13 MHz DMSO-d6/CDCl3 1[thin space (1/6-em)]:[thin space (1/6-em)]5): δ = 55.07 (2CH3), 100.73 (1CH), 107.41 (2CH), 112.91, 119.41, 121.91 (3CH), 124.77 (1C), 125.29 (1CH), 127.46, 128.16 (4CH), 128.64 (1CH), 134.06, 138.98, 142.73, 145.01, 154.40 (5C), 160.91 (2C), 175.93 (1C). IR (ATR, cm−1): [small nu, Greek, tilde] = 3078 (w), 2937 (w), 1583 (s), 1456 (s), 1330 (s), 1193 (m), 1155 (s), 1058 (m), 922 (w), 820 (m), 745 (m), 698 (m), 588 (m). MS (GC, 70 eV): m/z (%) = 403 (M+1, 29), 402 (M+, 100), 356 (14). HRMS (EI): calcd for C23H18N2O5: 402.1210, found: 402.1212.
6-Nitro-1-(3,4-dimethoxyphenethyl)-2-p-tolyl-4-quinolone (7ca). Yellow crystals, yield 82%. 1H NMR (300 MHz, CDCl3) δ = 0.93 (t, 3J = 7.3 Hz, 3H, –CH2CH2CH2CH3), 1.32–1.45 (m, 2H, –CH2CH2CH2CH3), 1.53–1.63 (m, 2H, –CH2CH2CH2CH3), 2.43 (t, 2H, 3J = 7.1 Hz, –CH2CH2CH2CH3), 3.04 (t, 3J = 7.1 Hz, 2H, –NCH2CH2–), 3.79 (s, 3H, –OCH3), 3.84 (s, 3H, –OCH3), 4.41 (t, 3J = 7.2 Hz, 2H, –NCH2CH2–), 6.20 (s, 1H, Ar), 6.52 (d, 4J = 1.9 Hz, 1H, Ar), 6.62 (dd, 3J = 8.1 Hz, 4J = 1.9 Hz, 1H, Ar), 6.79 (d, 3J = 8.2 Hz, 1H, Ar), 7.65 (d, 4J = 9.5 Hz, 1H, Ar), 8.40 (dd, 3J = 9.5 Hz, 4J = 2.8 Hz, 1H, Ar), 9.22 (d, 4J = 2.8 Hz, 1H, Ar). 13C NMR (63.00 MHz, CDCl3) δ = 13.66 (CH3), 22.36, 30.51, 33.47, 34.45, 47.87 (5CH2), 55.96 (2CH3), 111.70, 111.77, 112.43, 117.04, 120.73, 123.55, 126.09 (7CH), 126.45, 128.89, 142.96, 144.18, 148.48, 149.34, 156.12, 176.50 (8C). IR (ATR, cm−1): [small nu, Greek, tilde] = 2955 (w), 2935 (w), 1632 (s), 1606 (m), 1576 (m), 1515 (s), 1466 (s), 1446 (m), 1421 (m), 1399 (w), 1334 (s), 1283 (m), 1265 (s), 1237 (s), 1213 (m), 1189 (w), 1159 (s), 1142 (s), 1101 (m), 1023 (m), 939 (w), 930 (m), 912 (w), 840 (s), 821 (s), 804 (m), 761 (m), 744 (s), 671 (w), 648 (m), 625 (m), 560 (w), 542 (w). MS (GC, 70 eV): m/z (%) = 410 (M+, 5), 409 (M+, 5), 151 (100). HRMS (ESI): calcd for C23H26N2O5: 410.1828, found: 410.1836.
2-Butyl-1-(3,5-dimethoxyphenyl)-6-nitroquinolin-4(1H)-one (7cb). Brown crystals, yield 39%. Mp 162–164 °C. 1H NMR (300.13 MHz DMSO-d6): δ = 0.79 (t, 3H, 3J = 7.1 Hz, –C3H6–CH3), 1.18–1.29 (m, 2H, –C2H4–CH2–CH3), 1.48–1.59 (m, 2H, –CH2–CH2–C2H5), 2.40 (t, 2H, 3J = 7.5 Hz, –CH2–C3H7), 3.85 (s, 6H, 2-OCH3), 6.28 (s, 1H, –COCH[double bond, length as m-dash]), 6.83 (s, 3H, Ar′), 7.00 (d, 1H, 3J = 9.3 Hz, Ar), 8.31 (d, 1H, 3J = 9.3 Hz, Ar), 8.85 (s, 1H, Ar). 13C NMR (300.13 MHz, DMSO-d6): δ = 13.40 (–CH3), 21.65, 30.03, 32.46 (3CH2–), 55.79 (2OCH3), 101.92 (CH), 107.20 (2CH, Ar′), 110.26, 120.09, 121.10, 124.28 (4CH), 125.78, 139.13, 142.47, 145.68, 156.39 (5C), 161.72 (2C, Ar′), 175.51 (C). IR (ATR, cm−1): [small nu, Greek, tilde] = 2959 (w), 1632 (m), 1607 (s), 1584 (s), 1515 (w), 1467 (s), 1326 (s), 1297 (m), 1256 (m), 1195 (s), 1156 (s), 1060 (s), 992 (w), 930 (w), 910 (w), 860 (w), 844 (m), 814 (m), 746 (m), 710 (m), 670 (w), 618 (w), 591 (m), 536 (m). MS (GC, 70 eV): m/z (%) = 382 (M+, 39), 340 (100), 325 (10), 323 (18), 311 (71), 297 (11), 283 (10), 265 (10). HRMS (ESI): calcd for C21H22N2O5: 382.1518, found: 382.1529.
2-Butyl-1-(4-methoxyphenyl)-6-nitroquinolin-4(1H)-one (7cc). Brown crystals, yield 72%. Mp 171–173 °C. 1H NMR (300.13 MHz DMSO-d6): δ = 0.76 (t, 3H, 3J = 7.3 Hz, –CH3), 1.14–1.27 (m, 2H, –CH2CH3), 1.48 (m, 2H, –CH2CH2CH3), 2.34 (t, 2H, 3J = 8.1 Hz, [double bond, length as m-dash]NCH2–), 3.92 (s, 3H, –OCH3), 6.31 (s, 1H, –COCH[double bond, length as m-dash]), 6.89 (d, 1H, 3J = 9.4 Hz, Ar), 7.26 (d, 2H, 3J = 8.9 Hz, Ar), 7.52 (d, 2H, 3J = 8.9 Hz, Ar), 8.30 (dd, 1H, 3J = 9.4 Hz, 4J = 2.8, Ar), 8.88 (d, 1H, 4J = 2.8, Ar). 13C NMR (250.13 MHz, DMSO-d6): δ = 13.32 (CH3), 21.59, 29.79, 32.84 (CH2), 55.57 (CH3), 110.46 (CH), 115.57 (2CH), 119.93, 121.22 (2CH), 124.47 (C), 125.72 (CH), 129.98 (C), 130.27 (2CH), 142.46, 146.35, 156.97, 159.97, 175.52 (5C). IR (ATR, cm−1): [small nu, Greek, tilde] = 2930 (w), 1610 (s), 1506 (s), 1464 (s), 1330 (s), 1244 (s), 1031 (m), 918 (m), 823 (m), 745 (m), 549 (m). MS (GC, 70 eV): m/z (%) = 352 (M+, 22), 311 (18), 310 (100), 309 (23), 121 (33). HRMS (EI): calcd for C20H20N2O4: 352.1418, found: 352.1419.
2-Butyl-1-(4-tert-butylphenyl)-6-nitroquinolin-4(1H)-one (7cd). Brown crystals, yield 42%. Mp 127–129 °C. 1H NMR (300.13 MHz DMSO-d6): δ = 0.67 (t, 3H, 3J = 7.3 Hz, –CH3), 0.83–1.30 (br m, 6H), 1.41 (s, 9H, 3CH3), 2.31 (t, 2H, 3J = 8.0 Hz, –CH2), 6.34 (s, 1H, COCH[double bond, length as m-dash]), 6.86 (d, 1H, 3J = 9.4 Hz, Ar), 7.50 (d, 2H, 3J = 8.5 Hz, Ph), 7.75 (d, 2H, 3J = 8.5 Hz, Ph), 8.33 (dd, 1H, 3J = 9.4 Hz, 4J = 2.8 Hz, Ar), 8.91 (d, 1H, 4J = 2.4 Hz, Ar). 13C NMR (250.13 MHz, DMSO): δ = 13.01 (1CH3), 21.45, 29.82 (2CH2), 30.97 (3CH3), 32.67 (CH2), 34.67 (C), 110.61, 119.80, 121.27 (3CH), 124.46 (C), 125.83 (CH), 127.25, 128.60 (4CH), 134.85, 142.51, 145.98, 152.80, 156.67, 175.49. IR (ATR, cm−1): [small nu, Greek, tilde] = 2958 (m), 1633 (m), 1610 (m), 1520 (m), 1464 (m), 1335 (s), 1107 (m), 919 (w), 837 (m), 745 (m), 569 (m). MS (GC, 70 eV): m/z (%) = 378 (M+, 15), 337 (13), 336 (66), 322 (21), 321 (100), 275 (10). HRMS (EI): calcd for C23H26N2O3: 378.1938, found: 378.1938.
6-Nitro-(3,4-dimethoxyphenethyl)-2-pentyl-4-quinolone (7da). Yellow crystals, yield 60%. Mp 170–172 °C. 1H NMR (300 MHz, CDCl3) δ = 0.89 (t, 3J = 9.3, 3H, –(CH2)4CH3), 1.31–1.36 (m, 4H, –(CH2)4CH3), 1.58–1.63 (m, 2H, –(CH2)4CH3), 2.42 (t, 3J = 7.2 Hz, 2H, –(CH2)4CH3), 3.04 (t, 3J = 7.2 Hz, 2H, –NCH2CH2–), 3.79 (s, 3H, –OCH3), 3.85 (s, 3H, –OCH3), 4.41 (t, 3J = 7.2 Hz, 2H, –NCH2CH2–), 6.21 (s, 1H, Ar), 6.52 (d, 4J = 2.0 Hz, 1H, Ar), 6.62 (dd, 3J = 8.1 Hz, 4J = 2.0 Hz, 1H, Ar), 6.79 (d, J = 8.2 Hz, 1H, Ar), 7.65 (d, 3J = 9.5 Hz, 1H, Ar), 8.41 (dd, 3J = 9.5 Hz, 4J = 2.8 Hz, 1H, Ar), 9.18 (d, 4J = 2.8 Hz, 1H, Ar). 13C NMR (300 MHz, CDCl3) δ = 13.85 (CH3), 22.26, 28.14, 31.36, 33.73, 34.46, 47.86 (6CH2), 55.95 (2CH3), 111.68, 111.76, 112.44, 117.01, 120.72, 123.59, 126.10 (7CH), 126.47, 128.86, 142.98, 144.17, 148.50, 149.35, 156.11, 176.52 (8C). IR (ATR, cm−1): [small nu, Greek, tilde] = 2953 (w), 1633 (s), 1608 (m), 1575 (m), 1516 (s), 1464 (m), 1414 (w), 1332 (s), 1298 (w), 1284 (w), 1264 (m), 1237 (s), 1208 (w), 1158 (s), 1142 (m), 1099 (s), 1026 (m), 932 (w), 912 (w), 845 (w), 832 (m), 821 (w), 802 (2), 765 (w), 744 (m), 673 (w), 650 (w), 627 (w), 601 (w), 561 (w), 542 (w). MS (GC, 70 eV): m/z (%) = 424 (M−1, 3), 407 (23), 152 (11), 151 (100). HRMS (EI): calcd for C24H29N2O5: 425.2071, found: 425.2071.
1-(4-Methoxybenzyl)-6-nitro-2-pentylquinolin-4(1H)-one (7db). Pale pink crystals, yield 51%. Mp 120–122 °C. 1H NMR (300.13 MHz, CDCl3): δ = 0.87 (t, 3H, 3J = 7.1 Hz, –C4H8–CH3), 1.30–1.40 (m, 4H, –C2H4–C2H4–CH3), 1.70 (p, 2H, 3J = 7.5 Hz, –CH2–CH2–C3H7), 2.68 (t, 2H, 3J = 7.8 Hz, –CH2–C4H9), 3.77 (s, 3H, –OCH3), 5.39 (s, 2H, –CH2–), 6.34 (s, 1H, –COCH–), 6.86 (d, 2H, 3J = 8.8 Hz, Ar′), 6.95 (d, 2H, 3J = 8.8 Hz, Ar′), 7.40 (d, 1H, 3J = 9.5 Hz, Ar), 8.23 (dd, 1H, 3J = 9.5 Hz, 4J = 2.8 Hz, Ar), 9.21 (d, 1H, 4J = 2.8 Hz, Ar). 13C NMR (300 MHz, CDCl3): δ = 13.77 (CH3), 22.23, 28.21, 31.22, 33.78, 49.76 (5CH2), 55.29 (CH3), 112.44 (CH), 114.86 (2CH), 117.88, 123.13 (2CH), 126.04 (2CH), 126.17, 126.28 (2C), 126.32 (2CH), 143.05, 144.87, 156.18, 159.48, 176.77. IR (ATR, cm−1): [small nu, Greek, tilde] = 2931 (w), 1632 (s), 1609 (s), 1514 (m), 1471 (s), 1334 (s), 1289 (s), 1248 (s), 1176 (s), 1099 (m), 1034 (m), 831 (m), 800 (m), 743 (s), 668 (m), 553 (m). MS (GC, 70 eV): m/z (%) = 380 (M+, 3), 121 (100). HRMS (ESI-TOF): calcd for C22H24N2O4: 380.1731, found: 380.1734.

General procedure for the synthesis of 8

A predried Schlenk flask was charged with a magnetic stirrer, 4-quinolone 7 (200 mg, 1 equiv.), 10% Pd/C (0.1 wt equiv.) and a fresh distilled methanol (20 mL). The Schlenk tube was threefold refilled with hydrogen. After 4–5 h in an atmosphere of hydrogen and an intense stirring at room temperature (TLC control) the reaction mixture was filtered through a fine silica gel pad and purified by a column chromatography (silica gel, methanol/ethyl acetate, 1[thin space (1/6-em)]:[thin space (1/6-em)]80) or recrystallized from a solution of ethyl acetate and n-heptane.
6-Amino-1-(3,4-dimethoxyphenethyl)-2-p-tolylquinolin-4(1H)-one (8aa). Yellow crystals, yield 64%. Mp 219–221 °C. 1H NMR (300.13 MHz DMSO-d6): δ = 2.41 (s, 3H, –Tol), 2.82 (t, 2H, 3J = 9.4 Hz, [double bond, length as m-dash]N–CH2–CH2–), 3.59 (s, 3H, Ar′ + H2O), 3.73 (s, 3H, Ar′), 4.21 (t, 2H, 3J = 9.4 Hz, [double bond, length as m-dash]N–CH2–CH2–), 5.40 (br s, 2H, –NH2), 5.74 (s, 1H, –COCH[double bond, length as m-dash]), 6.24 (d, 1H, 4J = 1.8 Hz, Ar), 6.40 (dd, 1H, 4J = 1.8 Hz, 3J = 8.1 Hz, Ar), 6.78 (d, 1H, 3J = 8.1 Hz, Ar), 7.15–7.21 (m, 2H, –Tol + 1H, Ar′), 7.32 (d, 2H, 3J = 7.9 Hz, –Tol), 7.42 (d, 2H, 3J = 2.8 Hz, Ar′), 7.79 (d, 1H, 3J = 9.2 Hz, Ar′). 13C NMR (250.13 MHz, DMSO-d6): δ = 21.20 (CH3), 34.49, 49.34 (2CH2), 55.52, 55.89 (2CH3), 109.37, 111.21, 111.30, 111.52, 117.59, 120.61, 121.57 (7CH), 128.31 (2CH), 128.61 (C), 129.02 (2CH), 129.49, 133.18, 133.47, 138.99, 143.09, 147.93, 148.93, 153.59, 176.52 (9C). IR (ATR, cm−1): [small nu, Greek, tilde] = 3314 (w), 2915 (w), 1589 (s), 1564.9 (s), 1511 (s), 1485 (s), 1418 (m), 1311 (m), 1253 (s), 1236 (s), 1177 (m), 1153 (s), 1030 (s), 942 (w), 834 (s), 806 (s), 757 (m), 624 (m), 556 (m). MS (GC, 70 eV): m/z (%) = 415 (M+1, 18), 414 (M+, 75), 413 (M−1, 11), 264 (30), 263 (100), 262 (10), 249 (10), 248 (65), 165 (11), 147 (15). HRMS (EI): calcd for C26H26N2O3: 414.1938, found: 414.1930.
6-Amino-1-(4-methoxybenzyl)-2-p-tolylquinolin-4(1H)-one (8ab). Yellow crystals, yield 89%. Mp 267–269 °C. 1H NMR (250 MHz, DMSO-d6): δ = 2.36 (s, 3H, –CH3, –Tol), 3.71 (s, 3H, –OCH3, –Ar′), 5.25 (s, 2H, –CH2–), 5.39 (s, 2H, –NH2), 5.89 (s, 1H, –COCH[double bond, length as m-dash]), 6.83–6.98 (m, 5H, Ar), 7.25–7.40 (m, 6H, Ar). 13C NMR (300 MHz, DMSO-d6): δ = 21.24 (CH3), 51.68 (CH2), 55.21 (CH3), 108.92, 111.43 (2CH), 114.29 (2CH), 118.78, 121.54 (2CH), 126.62, 128.06 (4CH), 128.36, 128.53 (2C), 129.20 (2CH), 132.91, 134.21, 139.52, 143.06, 154.06, 158.83, 176.75 (7C). IR (ATR, cm−1): [small nu, Greek, tilde] = 3213 (w), 1557 (s), 1486 (s), 1417 (m), 1300 (m), 1248 (s), 1180 (s), 1023 (m), 811 (s), 560 (m). MS (GC, 70 eV): m/z (%) = 370 (M+, 22), 250 (15), 122 (10), 121 (100). HRMS (EI-HR): calcd for C24H22N2O2: 370.1676, found: 370.1672.
6-Amino-1-(1-phenylethyl)-2-p-tolylquinolin-4(1H)-one (8ac). Yellow crystals, yield 62%. Mp 153–155 °C. 1H NMR (300.13 MHz, DMSO-d6): δ = 1.93 (t, 3H, 3J = 6.5 Hz, PhCH3CH), 2.36 (s, 3H, –CH3, –Tol), 3.15–5.50 (–NH2 + H2O), 5.62 (q, 1H, 3J = 6.8 Hz, PhCH3CH), 5.79 (solvent CH2Cl2), 5.88 (s, 1H, –COCH[double bond, length as m-dash]), 6.75 (dd, 1H, 3J = 9.2 Hz, 4J = 2.8 Hz, Ar), 6.98 (d, 1H, 3J = 9.2 Hz, Ar), 7.24 (d, 2H, 3J = 7.8 Hz, Ar), 7.29–7.37 (m, 5H, Ar), 7.41 (d, 1H, 4J = 2.8 Hz, Ar), 7.48 (d, 2H, 3J = 7.8 Hz, Ar). 13C NMR (300.13 MHz, DMSO-d6): δ = 17.32, 20.73 (2CH3), 57.75 (CH, –CHCH3Ph), 106.34, 109.84, 119.58, 120.82 (4CH), 125.22 (2CH), 126.95, 127.40, 127.51 (3CH), 127.59 (C), 128.77, 129.37 (4CH), 130.20, 133.82, 138.82, 140.46, 144.72, 153.30, 174.95 (7C). IR (ATR, cm−1): [small nu, Greek, tilde] = 3222 (w), 2919 (m), 1588 (s), 1563 (s), 1487 (s), 1415 (m), 1377 (m), 1282 (m), 1258 (s), 1179 (m), 1075 (m), 1018 (m), 814 (s), 558 (m). MS (GC, 70 eV): m/z (%) = 355 (M+1, 6), 349 (50), 348 (100), 347 (11), 264 (22), 263 (92), 251 (10), 250 (53), 249 (19), 248 (50), 147 (11). HRMS (EIHR): calcd for C24H22N2O: 354.4401, found: 354.4398.
6-Amino-1-heptyl-2-p-tolylquinolin-4(1H)-one (8ad). Yellow crystals, yield 77%. Mp 177–178 °C. 1H NMR (300.13 MHz DMSO-d6): δ = 0.81 (t, 3H, 3J = 6.9 Hz, C6H12–CH3), 0.90–1.25 (br m, 8H, CH2–(CH2)4–CH3), 1.56 (br s, 2H, –CH2–CH2–C5H11), 2.41 (s, 3H, Tol–CH3), 4.00 (t, 2H, 3J = 7.1 Hz, –CH2–C6H13), 5.43 (s, 2H, NH2), 5.77 (s, 1H, –COCH[double bond, length as m-dash]), 7.14 (dd, 1H, 3J = 9.0 Hz, 4J = 2.2 Hz, Ar), 7.36 (s, 4H, –Tol), 7.40 (d, 1H, 4J = 2.2 Hz, Ar), 7.58 (d, 1H, 3J = 9.0 Hz, Ar). 13C NMR (300.13 MHz, DMSO-d6): δ = 13.74, 20.80 (2CH3), 21.89, 25.54, 27.72, 28.09, 30.81, 47.10 (6CH2), 106.28, 109.57, 118.26, 120.88 (4CH), 128.24 (2CH, –Tol), 128.39 (C), 129.06 (2CH, –Tol), 131.89, 133.36, 138.52, 145.12, 152.33, 174.84 (6C). IR (ATR, cm−1): [small nu, Greek, tilde] = 3382 (w), 3224 (m), 2918 (m), 1644 (w), 1588 (s), 1562 (s), 1493 (s), 1415 (m), 1379 (m), 1282 (m), 1179 (m), 1107 (w), 937 (w), 822 (s), 717 (m), 558 (m). MS (GC, 70 eV): m/z (%) = 349 (M+1, 25), 348 (M+, 100), 263 (64), 250 (31), 248 (33), 221 (12), 147 (10), 41 (11). HRMS (ESI): calcd for C23H28N2O: 348.2196, found: 348.2202.
6-Amino-1-hexyl-2-p-tolylquinolin-4(1H)-one (8ae). Yellow crystals, yield 82%. Mp 196–197 °C. 1H NMR (300.13 MHz DMSO-d6): δ = 0.77 (t, 3H, 3J = 7.0 Hz, –C5H10–CH3), 0.97–1.15 (m, 6H, –C2H4–(CH2)3CH3), 1.56 (br s, 2H, –CH2–CH2–C4H9), 2.42 (s, 3H, –CH3, –Tol), 4.01 (t, 2H, 3J = 7.4 Hz, –CH2C5H11), 5.42 (s, 2H, NH2), 5.77 (s, 1H, COCH[double bond, length as m-dash]), 7.13 (dd, 1H, 3J = 9.0 Hz, 4J = 2.5 Hz, Ar), 7.37 (s, 4H, Tol), 7.39 (d, 1H, 4J = 2.5 Hz, Ar), 7.59 (d, 1H, 3J = 9.0 Hz, Ar). 13C NMR (300.13 MHz, DMSO-d6): δ = 13.69, 20.82 (2CH3), 21.72, 25.28, 28.11, 30.31, 47.14 (5CH2), 106.27, 109.57, 118.28, 120.90 (4CH), 128.26 (2CH, –Tol), 128.39 (C), 129.07 (2CH, –Tol), 131.90, 133.37, 138.56, 145.12, 152.37, 174.84 (6C). IR (ATR, cm−1): [small nu, Greek, tilde] = 3329 (w), 3223 (m), 2918 (m), 1644 (w), 1587 (s), 1562 (s), 1491 (s), 1413 (m), 1372 (m), 1279 (m), 1179 (m), 1107 (m), 1016 (m), 936 (m), 823 (s), 720 (m), 559 (m). MS (GC, 70 eV): m/z (%) = 335 (M+1, 25), 334 (M+, 100), 263 (61), 250 (23), 248 (32), 221 (10), 147 (9), 43 (11). HRMS (ESI): calcd for C22H26N2O: 334.2040, found: 334.2043.
6-Amino-1-cyclohexyl-2-p-tolylquinolin-4(1H)-one (8af). Brown powder, yield 68%. Mp 108–110 °C. 1H NMR (300.13 MHz DMSO-d6): δ = 0.90 (br d, 2H, 3J = 6.9 Hz, cyclohexyl), 1.26 (br s, 2H, cyclohexyl), 1.52 (br d, 2H, 3J = 12.0 Hz, cyclohexyl), 1.78 (t, 4H, 3J = 10.1 Hz, cyclohexyl), 2.43 (s, 3H, –Tol), 4.07 (t, 1H, 3J = 12.3 Hz, cyclohexyl), 5.41 (br s, 2H, –NH2), 5.72 (s, 1H, –COCH[double bond, length as m-dash]), 7.08 (dd, 1H, 3J = 9.2 Hz, 4J = 2.8 Hz, Ar), 7.38 (s, 5H, Ar), 7.91 (d, 1H, 3J = 9.2 Hz, Ar). 13C NMR (300.13 MHz DMSO-d6): δ = 20.87 (CH3, –Tol), 24.20 (CH2), 26.22, 30.22 (4CH2), 62.55 (CH, cyclohexyl), 106.35, 109.98, 119.95, 120.42 (4CH), 127.51, 129.19 (4CH), 129.26, 131.79, 134.54, 138.54, 144.79, 153.39, 174.69 (7C). IR (ATR, cm−1): [small nu, Greek, tilde] = 3326 (w), 2922 (m), 2851 (w), 1584 (s), 1557 (s), 1510 (m), 1482 (s), 1446 (m), 1394 (m), 1254 (m), 1167 (m), 1113 (w), 1052 (w), 822 (s), 596 (m), 563 (m). MS (GC, 70 eV): m/z (%) = 332 (M+, 33), 251 (17), 250 (100), 249 (13), 55 (12). HRMS (EIHR): calcd for C22H24N2O: 332.1883, found: 332.1885.
6-Amino-1-pentyl-2-p-tolylquinolin-4(1H)-one (8ag). Yellow crystals, yield 99%. Mp 218–219 °C. 1H NMR (300, 13 MHz, DMSO-d6): δ = 0.73 (t, 3H, –CH3, –C4H8–CH3), 1.05 (s, 4H, –C2H4–C2H2–CH3), 1.56 (s, 2H, –CH2–CH2–C3H7), 2.41 (s, 3H, CH3, –Tol), 3.99 (t, 2H, –CH2–C4H9), 5.40 (s, 2H, NH2), 5.74 (s, 1H, –COCH[double bond, length as m-dash]), 7.11 (d, 1H, 3J = 7.0 Hz, Ar), 7.36 (s, 4H, –Tol + 1H, Ar), 7.57 (d, 1H, 3J = 9.0 Hz, Ar). 13C NMR (250.13 MHz, DMSO-d6): δ = 13.58, 20.83 (2CH3), 21.33, 27.84, 27.94, 47.21 (4CH2), 106.26, 109.59, 118.29, 120.88 (4CH), 128.25 (2CH), 128.39 (C), 129.08 (2CH), 131.88, 133.38, 138.57, 145.11, 152.38, 174.82 (6C). IR (ATR, cm−1): [small nu, Greek, tilde] = 3379 (w), 3221 (m), 2921 (m), 1588 (s), 1563 (s), 1492 (s), 1414 (m), 1377 (m), 1281 (m), 1179 (m), 1019 (m), 822 (s), 558 (m). MS (GC, 70 eV): m/z (%) = 321 (M+1, 23), 320 (M+, 100), 264 (13), 263 (78), 262 (10), 250 (27), 249 (17), 248 (43), 221 (11), 207 (10), 147 (13). HRMS (ESI-TOF): calcd for C21H24N2O: 320.1882, found: 320.1889.
6-Amino-1-n-butyl-2-p-tolyl-4-quinolone (8ah). Yellow crystals, yield 99%. Mp 206–208 °C. 1H NMR (250.13 MHz, DMSO): δ = 0.69 (t, 3J = 7.3 Hz, 3H, CH3CH2CH2CH2–), 1.08 (dd, J = 14.7, 7.3 Hz, 2H, CH3CH2CH2CH2–), 1.51–1.61 (m, 2H, CH3CH2CH2CH2–), 2.42 (s, 3H, Ar–CH3), 3.99–4.04 (m, 2H, CH3CH2CH2CH2–), 5.42 (s, 2H, –NH2), 5.76 (s, 1H, Ar), 7.12 (dd, 3,4J = 9.1, 2.7 Hz, 1H, Ar), 7.38 (s, 5H, Ar), 7.60 (d, 3J = 9.1 Hz, 1H, Ar). 13C NMR (75 MHz, DMSO) δ = 13.23 (CH3), 19.00 (CH2), 20.84 (CH3), 30.44, 47.04 (2CH2), 106.24, 109.59, 118.35, 120.91 (4CH), 128.28 (2CH), 128.38 (C), 129.10 (2CH), 131.90, 133.37, 138.59, 145.12, 152.43, 174.84 (7C). IR (ATR): [small nu, Greek, tilde] = 3376 (w), 3330 (w), 3222 (w), 2951 (w), 2855 (w), 1650 (w), 1612 (w), 1587 (s), 1562 (s), 1542 (s), 1510 (m), 1492 (s), 1456 (m), 1416 (s), 1375 (m), 1328 (m), 1307 (m), 1283 (s), 1256 (m), 1231 (w), 1207 (w), 1180 (s), 1155 (w), 1109 (w), 1072 (w), 1016 (m), 935 (w), 867 (w), 852 (w), 835 (s), 824 (s), 815 (s), 789 (w), 776 (m), 738 (w), 700 (w), 688 (w), 595 (m), 555 (s), 533 (s). MS (GS): m/z (%) = 306 (M−1, 100), 307 (25), 264 (15), 263 (74), 253 (10), 250 (18), 249 (18), 248 (30), 209 (11), 208 (14), 207 (24), 147 (12). HRMS (ESI): calcd for C20H23N2O: 307.18049, found: 307.18102.
6-Amino-1-n-propyl-2-p-tolyl-4-quinolone (8ai). Pale brown crystals, yield 97%. Mp 210–212 °C. 1H NMR (250.13 MHz, DMSO): δ = 0.66 (t, 3J = 7.4 Hz, 3H, CH3CH2CH2–), 1.60 (dd, J = 14.8, 7.4 Hz, 2H, CH3CH2CH2–), 2.42–2.55 (m, 3H, Ar–CH3), 3.94–3.99 (m, 2H, –NH2), 5.42 (s, 2H, CH3CH2CH2–), 5.76 (s, 1H, –COCH[double bond, length as m-dash]), 7.12 (dd, 3,4J = 9.1, 2.7 Hz, 1H, Ar), 7.37–7.39 (m, 5H, Ar), 7.60 (d, 3J = 9.1 Hz, 1H, Ar). 13C NMR (75 MHz, DMSO) δ = 10.57, 20.84 (2CH3), 21.80, 48.80 (2CH2), 106.22, 109.55, 118.39, 120.93 (4CH), 128.23 (2CH), 128.33 (C), 129.13 (2CH), 131.90, 133.40, 138.60, 145.15, 152.51, 174.87 (6C). IR (ATR): [small nu, Greek, tilde] = 3428 (w), 3329 (w), 3226 (w), 2938 (w), 1622 (w), 1582 (s), 1566 (s), 1510 (w), 1483 (s), 1376 (w), 1360 (w), 1316 (w), 1281 (m), 1259 (w), 1179 (m), 1112 (w), 1070 (w), 1014 (w), 934 (w), 902 (w), 876 (w), 845 (w), 808 (s), 741 (w), 715 (w), 688 (w), 625 (w), 593 (m), 568 (m), 550 (m), 531 (m). MS (GS): m/z (%) = 292 (M−1, 100), 293 (21), 264 (16), 263 (78), 250 (11), 249 (18), 248 (42), 221 (10), 147 (11). HRMS (ESI): calcd for C19H21N2O: 293.16484, found: 293.16533.
6-Amino-1-isopropyl-2-p-tolylquinolin-4(1H)-one (8aj). Yellow crystals, yield 85%. Mp 323–324 °C. 1H NMR (300.13 MHz, DMSO-d6): δ = 1.54 (d, 6H, 3J = 7.1 Hz, 2CH3, i-PrOH), 2.42 (s, 3H, CH3, –Tol), 4.57 (m, 1H, CH, i-PrOH), 5.44 (br s, 2H, NH2), 5.71 (s, 1H, –COCH[double bond, length as m-dash]), 7.09 (dd, 1H, 3J = 9.2 Hz, 4J = 2.8 Hz, Ar), 7.38 (m, 1H, Ar + 4H, –Tol), 7.80 (d, 1H, 3J = 7.1 Hz, Ar). 13C NMR (300.13 MHz, DMSO) δ = 20.82 (2CH3), 53.06 (CH3, –Tol), 106.54, 109.78, 119.98, 120.19 (4CH), 127.63 (2CH), 127.72 (C), 129.32 (2CH), 129.39 (CH), 131.08, 134.43, 138.57, 144.83, 153.12, 174.70 (6C). IR (ATR, cm−1): [small nu, Greek, tilde] = 3318 (w), 2919 (w), 1586 (s), 1568 (s), 1485 (m), 1454 (m), 1393 (m), 1373 (m), 1248 (m), 1170 (m), 1109 (m), 1076 (m), 995 (m), 824 (s), 595 (m). MS (GC, 70 eV): m/z (%) = 293 (M+1, 14), 292 (M+, 63), 251 (28), 250 (100), 222 (22), 221 (21), 206 (13). HRMS (ESI): calcd for C19H20N2O: 292.1570, found: 292.1570.
6-Amino-1-phenyl-2-p-tolylquinolin-4(1H)-one (8ak). Brown powder, 81% (yield of the product 8ak obtained from the substrate 7ak) 56% (yield of the product 8ak obtained from the substrate 7aq). Mp 253–255 °C. 1H NMR (300.13 MHz, DMSO-d6): δ = 2.24 (–CH3, –Tol), 5.42 (br s, 2H, –NH2), 5.97 (s, 1H, –COCH[double bond, length as m-dash]), 6.59 (d, 1H, 3J = 9.1 Hz, Ar), 6.92 (dd, 1H, 3J = 2.8 Hz, 3J = 9.1 Hz, Ar), 7.05 (d, 2H, 3J = 8.0 Hz, –Tol), 7.19 (d, 2H, 3J = 8.0 Hz, –Tol), 7.32–7.35 (m, 1H, Ar), 7.36–7.38 (m, 2H, Ar), 7.40 (d, 2H, 3J = 2.8 Hz, Ar), 7.42–7.44 (m, 1H, Ar). 13C NMR (300.13 MHz, DMSO) δ = 20.65 (CH3), 105.66, 109.43, 119.01, 120.57 (4CH), 127.07 (C), 128.25 (2CH), 128.29 (C), 128.68 (CH), 129.04, 129.33, 130.07 (6CH), 133.11, 134.18, 137.66, 139.24, 145.35, 151.92, 175.48 (7C). IR (ATR, cm−1): [small nu, Greek, tilde] = 3326 (w), 1587 (s), 1568 (s), 1506 (m), 1480 (s), 1403 (m), 1373 (m), 1319 (m), 1293 (m), 1022 (m), 926 (w), 853 (m), 820 (s), 769 (m), 698 (s), 578 (m), 544 (m). MS (GC, 70 eV): m/z (%) = 327 (M+1, 22), 326 (M+, 100), 298 (27). HRMS (ESI-TOF): calcd for C22H18N2O: 326.1414, found: 326.1409.
6-Amino-1-(3,5-dimethylphenyl)-2-p-tolylquinolin-4(1H)-one (8am). Yellow crystals, yield 85%. Mp 332–334 °C. 1H NMR (300 MHz, DMSO-d6): δ = 2.23 (s, 6H, 2CH3, Ar′), 2.25 (s, 3H, –CH3, –Tol), 5.42 (s, 2H, –NH2), 5.95 (s, 1H, –COCH[double bond, length as m-dash]), 6.64 (d, 1H, 3J = 9.1 Hz, Ar), 6.93 (dd, 1H, 3J = 9.1 Hz, 4J = 2.7 Hz, Ar), 6.96–7.00 (m, 3H, Ar′), 7.06 (d, 2H, 3J = 8.0 Hz, –Tol), 7.21 (d, 2H, 3J = 8.0 Hz, –Tol), 7.40 (d, 1H, 4J = 2.7 Hz, Ar). 13C NMR (250 MHz, DMSO-d6): δ = 20.55, 20.68, 48.57 (3CH3), 105.59, 109.44, 119.23, 120.56 (4CH), 127.06 (C), 127.49, 128.21, 128.99 (6CH), 130.03 (CH), 133.18, 134.21, 137.64 (3C), 138.53 (2C), 139.05, 145.31, 151.87, 175.43 (4C). IR (ATR, cm−1): [small nu, Greek, tilde] = 3324 (m), 1584 (s), 1510 (m), 1478 (s), 1409 (m), 1323.9 (m), 1310 (m), 1180 (m), 1019 (m), 843 (m), 816 (m), 707 (m), 600 (m), 562 (m). MS (GC, 70 eV): m/z (%) = 355 (M+1, 29), 354 (M+, 100), 353 (M−1, 28), 115 (11). HRMS (ESI-TOF): calcd for C24H22N2O: 354.1727, found: 354.1725.
6-Amino-1-(2,3-dihydro-1H-inden-5-yl)-2-p-tolylquinolin-4(1H)-one (8an). Brown powder, yield 31%. Mp 333–335 °C. 1H NMR (300, 13 MHz, DMSO-d6): δ = 0.84 (br s, 2H, Alk), 1.43 (br s, 2H, Alk), 2.39 (s, 3H, CH3, –Tol), 3.90 (t, 2H, 3J = 7.1 Hz, Alk), 5.41 (s, 2H, –NH2), 5.73 (s, 1H, –COCH[double bond, length as m-dash]), 7.10 (dd, 1H, 3J = 9.1 Hz, Ar), 7.23–7.42 (m, 8H, Ar), 7.51 (d, 1H, 3J = 9.1 Hz, Ar). 13C NMR (300.13 MHz, DMSO-d6): δ = 22.01 (CH3), 26.92, 30.67, 53.12 (3CH2), 111.50, 121.98 (2CH), 122.57 (CH + CF3COOD), 122.82 (CH), 123.38, 123.76 (2C), 129.40 (2CH), 129.51, 129.54 (2CH), 131.76 (2CH), 132.06 (C), 132.31 (CH), 141.49, 144.20, 159.84, 161.72, 163.15, 164.08, 170.39 (7C). IR (ATR, cm−1): [small nu, Greek, tilde] = 3322 (w), 2938 (w), 1586 (s), 1568 (s), 1485 (s), 1470 (s), 1380 (m), 1283 (m), 1259 (m), 1176 (m), 1017 (m), 933 (w), 811 (s), 553 (m), 531 (m). HRMS (ESI-TOF): calcd for C25H22N2O: 366.4508, found: 366.4485.
6-Amino-1-(4-methoxyphenyl)-2-p-tolylquinolin-4(1H)-one (8ap). Yellow powder, yield 85%. Mp 228–230 °C. 1H NMR (500.13 MHz, DMSO-d6): δ = 2.24 (s, 3H, –CH3, –Tol), 3.76 (s, 3H, –OCH3), 5.37 (br s, NH2), 5.98 (s, 1H, –COCH[double bond, length as m-dash]), 6.62 (d, 1H, 3J = 9.0 Hz, Ar), 6.93 (d, 2H, 3J = 8.9 Hz, –Tol), 6.94 (d, 1H, 3J = 9.0 Hz, Ar), 7.06 (d, 2H, 3J = 7.9 Hz, Ar′), 7.18 (d, 2H, 3J = 7.9 Hz, Ar′), 7.24 (d, 2H, 3J = 8.9 Hz, –Tol), 7.41 (d, 1H, 4J = 2.7 Hz, Ar). 13C NMR (300.13 MHz, DMSO-d6): δ = 20.68, 55.26 (2CH3), 105.67, 109.43 (2CH), 114.38 (2CH), 119.13, 120.61 (2CH), 127.14 (C), 128.31, 129.03, 131.08 (6CH), 131.90, 133.30, 134.63, 137.61, 145.34, 152.30, 158.70, 175.51 (8C). IR (ATR, cm−1): [small nu, Greek, tilde] = 2918 (w), 1588 (s), 1568 (s), 1505 (s), 1481 (s), 1393 (m), 1361 (m), 1295 (m), 1245 (s), 1107 (m), 1023 (m), 818 (s), 546 (m). MS (GC, 70 eV): m/z (%) = 357 (M+1, 29), 356 (M+, 100), 355 (M−1, 13), 328 (12), 197 (10). HRMS (ESI-TOF): calcd for C23H20N2O2: 356.1519, found: 356.1525.
6-Amino-1-(3,4-dimethoxyphenethyl)-2-phenylquinolin-4(1H)-one (8ba). Yellow crystals, yield 81%. Mp 217–219 °C. 1H NMR (300.13 MHz DMSO-d6): δ = 2.81 (t, 2H, 3J = 7.2 Hz, –CH2–Ar), 3.58 (s, 3H, –OCH3), 3.71 (s, 3H, –OCH3), 4.19 (t, 2H, 3J = 7.2 Hz, –CH2–CH2Ar), 5.49 (br s, 2H, –NH2), 5.75 (s, 1H, COCH[double bond, length as m-dash]), 6.27 (d, 1H, 4J = 1.8 Hz, Ar′), 6.34 (dd, 1H, 3J = 8.1 Hz, 4J = 1.8 Hz, Ar′), 6.76 (d, 1H, 3J = 8.1 Hz, Ar′), 7.21 (dd, 1H, 3J = 9.1 Hz, 4J = 2.8 Hz, Ar), 7.30 (m, 2H, Ph), 7.44 (d, 1H, 4J = 2.8 Hz, Ar), 7.52 (m, 3H, Ph), 7.79 (d, 1H, 3J = 9.1 Hz, Ar). 13C NMR (250.13 MHz, DMSO-d6): δ = 33.86, 49.07 (2CH2), 55.20, 55.52 (2OCH3), 106.30, 109.46, 111.82, 112.10, 118.49, 120.47, 121.13 (7CH), 128.32 (2CH, Ph), 128.36 (C), 128.38 (2CH, Ph), 128.96 (CH, Ph), 129.88, 131.76, 136.03, 145.24, 147.53, 148.59, 152.41, 174.93 (8C). IR (ATR, cm−1): [small nu, Greek, tilde] = 3383 (w), 3310 (w), 3216 (w), 2953 (w), 1633 (w), 1589 (s), 1564 (s), 1489 (s). 1418 (m), 1311 (m), 1235 (s), 1177 (m), 1153 (s), 1028 (s), 938 (m), 883 (w), 807 (s), 754 (s), 706 (s), 623 (m), 543 (m). MS (GC, 70 eV): m/z (%) = 400 (M+, 28), 250 (15), 249 (100), 248 (16). HRMS (ESI): calcd for C25H24N2O3: 400.1778, found: 400.1787.
6-Amino-1-phenethyl-2-phenylquinolin-4(1H)-one (8bc). Yellow crystals, yield 99%. Mp 253–254 °C. 1H NMR (300.13 MHz, DMSO-d6): δ = 2.90 (t, 2H, 3J = 7.5 Hz, –CH2–CH2–, Ar′), 4.20 (t, 2H, 3J = 7.5 Hz, –CH2–CH2–, Ar′), 5.47 (s, 2H, –NH2), 5.74 (s, 1H, –COCH[double bond, length as m-dash]), 6.80–6.87 (m, 2H, Ar), 7.15–7.25 (m, 4H, Ar), 7.30–7.37 (m, 2H, Ar), 7.43 (d, 1H, 4J = 2.7 Hz, Ar), 7.49–7.56 (m, 3H, Ar), 7.78 (d, 1H, 3J = 9.1 Hz, Ar). 13C NMR (0.13 MHz, DMSO-d6): δ = 34.30, 48.82 (2CH2), 106.37, 109.53, 118.41, 121.13, 126.54 (5CH), 128.32, 128.39, 128.48, 128.53 (8CH, C), 129.06 (CH), 131.72, 135.99, 137.54, 145.26, 152.36, 174.90 (6C). IR (ATR, cm−1): [small nu, Greek, tilde] = 3368 (w), 1583 (s), 1488 (s), 1420 (m), 1371 (w), 1311 (m), 1177 (m), 1073 (w), 810 (m), 757 (m), 702 (s). MS (GC, 70 eV): m/z (%) = 341 (M+1, 12), 340 (M+, 48), 250 (17), 249 (100), 248 (21). HRMS (ESI): calcd for C23H20N2O: 340.1571, found: 340.1576.
6-Amino-1-phenethyl-2-phenylquinolin-4(1H)-one (8bd). Yellow crystals, yield 99%. Mp 223–225 °C. 1H NMR (300.13 MHz, CDCl3/DMSO-d6 9[thin space (1/6-em)]:[thin space (1/6-em)]1): δ = 1.92 (p, 2H, 3J = 7.5 Hz, –CH2–CH2–CH2–Ph), 2.36–2.45 (m, 2H, –C2H4–CH2–Ph), 3.30 (br s, NH2 + H2O) 3.94 (t, 2H, 3J = 7.8 Hz, –CH2–C2H4–Ph), 5.98 (s, 1H, –COCH[double bond, length as m-dash]), 6.90–7.61 (m, 13H, Ar). 13C NMR (300.13 MHz, CDCl3/DMSO-d6 9[thin space (1/6-em)]:[thin space (1/6-em)]1): δ = 29.47, 31.87, 46.81 (3CH2), 107.56, 110.14, 117.01, 121.04, 125.58 (5CH), 127.52, 127.59, 127.86 (6CH), 127.93 (C), 128.10 (2CH), 128.69 (CH), 132.45, 135.43, 139.46, 143.57, 152.36, 175.65. IR (ATR, cm−1): [small nu, Greek, tilde] = 3225 (w), 1562 (s), 1489 (s), 1417 (m), 1369 (m), 1283 (m), 1186 (m), 838 (s), 741 (m), 698 (s), 561 (m). MS (GC, 70 eV): m/z (%) = 355 (M+1, 27), 354 (M+, 100), 250 (12), 249 (82), 248 (19), 236 (16), 235 (10), 147 (10), 91 (38). HRMS (ESI-TOF): calcd for C24H22N2O: 354.1721, found: 354.1732.
6-Amino-1-heptyl-2-phenylquinolin-4(1H)-one (8be). Yellow crystals, yield 75%. Mp 178–180 °C. 1H NMR (300.13 MHz DMSO-d6): δ = 0.81 (t, 3H, 3J = 6.9 Hz, –CH3), 0.99–1.29 (m, 8H, –(CH2)2(CH2)4CH3), 1.57 (br s, 2H, –CH2–CH2–C5H11), 3.26–3.66 (br s, 2H, –NH2 + H2O), 4.00 (t, 2H, 3J = 7.1 Hz, –CH2–C6H13), 5.79 (s, 1H, –COCH[double bond, length as m-dash]), 7.13 (d, 1H, 3J = 7.1 Hz, Ar), 7.39 (d, 1H, 4J = 1.8 Hz, Ar), 7.47–7.67 (m, 1H, Ar + 5H, Ph). 13C NMR (250.13 MHz, DMSO-d6): δ = 13.78 (CH3), 21.85, 25.55, 27.70, 28.14, 30.82, 47.25 (6CH2), 106.22, 109.50, 118.30, 121.04 (4CH), 128.35 (C + 2CH, Ph), 128.55 (2CH, Ph), 129.07 (CH, Ph), 131.89, 136.14, 145.19, 152.27, 174.82 (5C). IR (ATR, cm−1): [small nu, Greek, tilde] = 3387 (w), 3328 (w), 3222 (m), 3061 (w), 2918 (m), 2852 (m), 1643 (w), 1605 (m), 1585 (s), 1558 (s), 1538 (s), 1489 (s), 1440 (m), 1415 (s), 1376 (m), 1328 (m), 1307 (m), 1282 (s), 1254 (m), 1229 (m), 1153 (m), 1116 (m), 1073 (m), 1020 (m), 938 (m), 868 (m), 837 (s), 815 (s), 787 (m), 758 (m), 721 (m), 702 (s), 662 (m), 623 (m), 558 (s), 538 (s). MS (GC, 70 eV): m/z (%) = 335 (M+1, 33), 334 (M+, 100), 250 (18.39), 249 (89), 236 (34), 235 (14), 41 (10). HRMS (ESI): calcd for C22H26N2O: 334.2039, found: 334.2045.
6-Amino-1-cyclohexyl-2-phenylquinolin-4(1H)-one (8bf). Yellow crystals, yield 99%. Mp 261–263 °C. 1H NMR (300.13 MHz, DMSO-d6): δ = 0.86 (q, 2H, 3J = 12.6 Hz, cyclohexyl), 1.26 (q, 1H, 3J = 12.8 Hz, cyclohexyl), 1.51 (d, 1H, 3J = 12.7 Hz, cyclohexyl), 1.78 (t, 4H, 3J = 12.4 Hz, cyclohexyl), 2.40 (q, 2H, 3J = 12.1 Hz, cyclohexyl), 4.02 (t, 1H, 3J = 12.6 Hz, cyclohexyl), 5.42 (s, 2H, –NH2), 5.74 (s, 1H, –COCH[double bond, length as m-dash]), 7.09 (dd, 1H, 3J = 9.2 Hz, 4J = 2.9 Hz, Ar), 7.40 (d, 1H, 4J = 2.9 Hz, Ar), 7.43–7.70 (m, 5H, –Ph), 7.91 (d, 1H, 3J = 9.2 Hz, Ar). 13C NMR (300.13 MHz, DMSO-d6 9[thin space (1/6-em)]:[thin space (1/6-em)]1): δ = 24.19 (CH2), 26.23, 30.18 (4CH2), 62.62, 106.35, 109.84, 120.00, 120.41 (5CH), 127.60, 128.66 (4CH), 129.08 (CH), 129.19, 131.74, 137.34, 144.84, 153.24, 174.68 (6C). IR (ATR, cm−1): [small nu, Greek, tilde] = 3314 (w), 2939 (w), 1583 (s), 1486 (s), 1402 (m), 1348 (m), 1260 (m), 1167 (m), 1053 (m), 779 (s), 702 (s), 565 (m). MS (GC, 70 eV): m/z (%) = 318 (M+, 23), 237 (18), 236 (100), 235 (9), 208 (10), 41 (8). HRMS (ESI-TOF): calcd for C21H22N2O: 318.1726, found: 318.1732.
6-Amino-1-hexyl-2-phenylquinolin-4(1H)-one (8bg). Yellow crystals, yield 80%. Mp 197–199 °C. 1H NMR (300.13 MHz, DMSO-d6): δ = 0.77 (t, 3H, 3J = 7.0 Hz, –(CH2)5–CH3), 0.96–1.11 (m, 6H, –(CH2)2–(CH2)3–CH3), 1.57 (br s, 2H, –CH2–CH2–C4H9), 3.98 (t, 2H, 3J = 7.2 Hz, –CH2–C5H11), 5.43 (s, 2H, –NH2), 5.78 (s, 1H, –COCH[double bond, length as m-dash]), 7.13 (dd, 1H, 3J = 9.0 Hz, 4J = 2.2 Hz, Ar), 7.39 (d, 1H, 4J = 2.2 Hz, Ar), 7.49–7.61 (m, 1H, Ar + 5H, Ph). 13C NMR (300.13 MHz, DMSO-d6): δ = 13.68 (–CH3), 21.71, 25.27, 28.12, 30.25, 47.22 (5CH2), 106.25, 109.50, 118.30, 120.95 (4CH), 128.37, 128.57 (4CH, –Tol), 129.07 (CH, –Tol), 131.87, 136.17, 145.16, 152.25 (4C), 174.83 (–CO–). IR (ATR, cm−1): [small nu, Greek, tilde] = 3222 (w), 2916 (w), 1558 (s), 1489 (s), 1416 (m), 1376 (m), 1283 (m), 1178 (m), 837 (s), 760 (m), 702 (s), 558 (m). MS (GC, 70 eV): m/z (%) = 321 (M+1, 24), 320 (M+, 100), 250 (14), 249 (77), 248 (17). HRMS (ESI-TOF): calcd for C21H24N2O: 320.1882, found: 320.1889.
6-Amino-2-butyl-1-(3,4-dimethoxyphenethyl)quinolin-4(1H)-one (8ca). Brown oil, yield 99%. 1H NMR (300.13 MHz, DMSO-d6): δ = 0.91 (t, 3H, 3J = 7.2 Hz, –(CH2)3–CH3), 1.30–1.40 (m, 2H, –(CH2)2–CH2–CH3), 1.52 (p, 2H, 3J = 7.2 Hz, –CH2–CH2–C2H5), 2.44 (t, 2H, 3J = 7.5 Hz, –CH2–C3H7), 2.96 (t, 2H, 3J = 6.0 Hz, –CH2–CH2–Ar′), 3.71 (s, 3H, –OCH3), 3.75 (s, 3H, –OCH3), 4.36 (br s, 2H, –CH2–CH2–Ar′), 5.35 (br s, 2H, –NH2), 5.82 (s, 1H, –COCH[double bond, length as m-dash]), 6.69–6.79 (m, 2H, Ar′), 6.90 (d, 1H, 3J = 7.9 Hz, Ar′), 7.12 (dd, 1H, 3J = 9.1 Hz, 4J = 2.7 Hz, Ar), 7.36 (d, 1H, 4J = 2.7 Hz, Ar), 7.68 (d, 1H, 3J = 9.1 Hz, Ar). 13C NMR (300 MHz, DMSO-d6): δ = 13.55 (–(CH2)3CH3), 21.87, 30.38, 32.41, 33.93, 46.82 (5CH2), 55.34, 55.53 (2OCH3), 106.48, 107.84, 111.96, 112.72, 117.83, 120.73, 120.79 (7CH), 127.98, 130.30, 132.17, 144.74, 147.65, 148.69, 152.89, 175.28. IR (ATR, cm−1): [small nu, Greek, tilde] = 3325 (w), 3211 (w), 2929 (w), 1587 (s), 1481 (s), 1362 (w), 1323 (w), 1235 (s), 1139 (m), 1024 (s), 808 (m), 761 (m), 557 (m). MS (GC, 70 eV): m/z (%) = 381 (M+1, 15), 380 (M+, 55), 379 (M−1, 14), 230 (16), 229 (100), 214 (12), 174 (11), 159 (12), 151 (18). HRMS (ESI-TOF): calcd for C23H28N2O3: 380.2091, found: 380.2099.
6-Amino-1-(3,4-dimethoxyphenethyl)-2-pentylquinolin-4(1H)-one (8da). Brown oil, yield 98%. 1H NMR (300.13 MHz, DMSO-d6): δ = 0.89 (t, 3H, 3J = 7.2 Hz, –(CH2)4–CH3), 1.28–1.34 (m, 4H, –(CH2)2–(CH2)2–CH3), 1.53 (br s, 2H, –CH2–CH2–C3H7), 2.43 (t, 2H, 3J = 7.5 Hz, –CH2–C4H9), 2.96 (t, 2H, 3J = 6.4 Hz, –CH2–CH2–Ar′), 3.71 (s, 3H, –OCH3), 3.75 (s, 3H, –OCH3), 4.36 (br s, 2H, –CH2–CH2–Ar′), 5.35 (br s, 2H, –NH2), 5.82 (s, 1H, –COCH[double bond, length as m-dash]), 6.69–6.79 (m, 2H, Ar′), 6.89 (d, 1H, 3J = 7.9 Hz, Ar′), 7.12 (dd, 1H, 3J = 9.1 Hz, 4J = 2.7 Hz, Ar), 7.36 (d, 1H, 4J = 2.7 Hz, Ar), 7.68 (d, 1H, 3J = 9.1 Hz, Ar). 13C NMR (300 MHz, DMSO-d6): δ = 13.82 (–(CH2)3CH3), 21.75, 27.91, 30.91, 32.65, 33.93, 46.80 (6CH2), 55.32, 55.52 (2OCH3), 106.48, 107.81, 111.93, 112.71, 117.83, 120.73, 120.79 (7CH), 127.98, 130.30, 132.16, 144.74, 147.65, 148.69, 152.88, 175.28. IR (ATR, cm−1): [small nu, Greek, tilde] = 3328 (w), 3213 (w), 2928 (w), 1588 (s), 1482 (s), 1362 (w), 1323 (w), 1235 (s), 1139 (m), 1024 (s), 808 (m), 761 (m), 557 (m). MS (GC, 70 eV): m/z (%) = 395 (M+1, 19), 394 (M+, 47), 281 (18), 267 (13), 244 (11), 243 (100), 237 (11), 228 (20), 208 (12), 188 (13), 187 (28), 175 (10), 174 (10), 165 (13), 164 (22), 160 (11), 159 (19), 151 (31), 133 (12), 107 (11), 106 (11), 105 (17), 103 (15), 79 (19), 77 (17), 73 (11). HRMS (ESI-TOF): calcd for C24H30N2O3: 394.2245, found: 394.2256.
6-Amino-1-(4-methoxybenzyl)-2-pentylquinolin-4(1H)-one (8db). Beige crystals, yield 99%. Mp 201–202 °C. 1H NMR (300.13 MHz, DMSO-d6): δ = 0.86 (t, 3H, 3J = 7.0 Hz, –C4H8–CH3), 1.19–1.39 (m, 4H, –C2H4–C2H4–CH3), 1.60 (p, 2H, 3J = 7.7 Hz, –CH2–CH2–C3H7), 2.67 (t, 2H, 3J = 7.7 Hz, –CH2–C4H9), 3.73 (s, 3H, –OCH3), 5.30 (s, 2H, –NH2), 5.42 (s, 2H, –CH2–Ar′), 5.98 (s, 1H, –COCH[double bond, length as m-dash]), 6.86–7.04 (m, 5H, 1H, Ar + 4H, Ar′), 7.25–7.38 (m, 2H, Ar). 13C NMR (300.13 MHz, DMSO-d6): δ = 13.74 (–C4H8CH3), 21.76, 28.07, 30.74, 32.95, 48.15 (5CH), 55.01 (–OCH3), 106.20, 108.18 (2CH), 114.18 (2CH), 118.20, 120.47 (2CH), 126.65 (2CH), 127.87, 128.88, 132.79, 144.79, 153.01, 158.34, 175.47 (7C). IR (ATR, cm−1): [small nu, Greek, tilde] = 3320 (w), 2951 (w), 1587 (s), 1564 (s), 1486 (s), 1366 (m), 1244 (m), 1174 (s), 1106 (m), 1027 (m), 818 (s), 622 (m), 555 (s). MS (GC, 70 eV): m/z (%) = 350 (M+, 11), 292 (8), 174 (16), 121 (100). HRMS (ESI-TOF): calcd for C22H26N2O2: 350.1988, found: 350.1994.

Specific procedure for the synthesis of 9a and 9b

Under a constant flow of an inert gas a pressure tube was charged with a magnetic stirrer, 6a (450 mg, 1 equiv.), KF (2 equiv.), extra dry dimethylformamide (6 mL) and appropriate amine (1.7 equiv.). After stirring for 10 h at 120 °C the solvent was evaporated under reduced pressure. Residue was purified by a column chromatography (silica gel, heptane/ethyl acetate, 25[thin space (1/6-em)]:[thin space (1/6-em)]1). On the TLC compound 9 appears as an upper spot (Rf ≈ 0.8) in comparison to 7 (Rf ≈ 0.4).

Specific procedure for the synthesis of 9c and 10a

Under a constant flow of an inert gas a pressure tube was charged with a magnetic stirrer, 6c (450 mg, 1 equiv.), KF (2 equiv.), extra dry dimethylformamide (6 mL) and 2-(3,4-dimethoxyphenyl)ethanamine (1.7 equiv.). After stirring for 4 h at 120 °C the solvent was evaporated under reduced pressure. Residue was purified by a column chromatography (silica gel, heptane/ethyl acetate, 25[thin space (1/6-em)]:[thin space (1/6-em)]1). On the TLC compound 9 and 10 appear as upper spots (Rf ≈ 0.8 for 9, Rf ≈ 0.75 for 10) in comparison to 7 (Rf ≈ 0.4).

Specific procedure for the synthesis of 9d and 10b

Under a constant flow of an inert gas a pressure tube was charged with a magnetic stirrer, 6c (450 mg, 1 equiv.), KF (2 equiv.), extra dry dimethylformamide (6 mL) and cyclohexylamine (1.7 equiv.). After stirring for 4 h at 120 °C the solvent was evaporated under reduced pressure. Residue was purified by a column chromatography (silica gel, heptane/ethyl acetate, 25[thin space (1/6-em)]:[thin space (1/6-em)]1).
(Z)-3-(4-Methoxybenzylamino)-1-(2-(4-methoxybenzylamino)-5-nitrophenyl)-3-p-tolylprop-2-en-1-one (9a). Yellow crystals, yield 8%. Mp 166–167 °C. 1H NMR (300 MHz, CDCl3) δ = 2.42 (s, 3H, CH3), 3.80 (s, s, 6H, 2OCH3), 4.41 (d, d, 6.0 Hz, 4H, 2CH2), 5.79 (s, 1H, –CH[double bond, length as m-dash]C), 6.59 (d, J = 9.4 Hz, 1H, Ar), 6.85–6.90 (m, 4H, Ar), 7.13–7.16 (m, 2H, Ar), 7.25–7.33 (m, 6H, Ar), 8.05 (dd, J = 9.3, 2.5 Hz, 1H, Ar), 8.58 (d, J = 2.6 Hz, 1H, Ar), 9.88 (t, J = 5.5 Hz, 1H, NH), 11.28 (t, J = 6.1 Hz, 1H, NH). 13C NMR (300 MHz, CDCl3) δ = 21.34 (CH3), 46.43, 48.08 (CH2), 55.25, 94.20, 110.94, 114.16 (d, J = 4.9 Hz), 119.48, 126.32, 127.63, 128.40–127.75 (m), 129.38 (d, J = 10.8 Hz), 130.26, 132.26, 135.74, 139.97, 154.34, 158.97 (d, J = 1.7 Hz), 167.26, 189.67. IR (ATR, cm−1): [small nu, Greek, tilde] = 3225 (w), 2838 (w), 1609 (m), 1576 (m), 1556 (m), 1514 (s), 1494 (m), 1456 (m), 1428 (w), 1369 (w), 1324 (s), 1303 (m), 1278 (m), 1253 (s), 1200 (m), 1176 (m), 1140 (m), 1106 (s), 1078 (m), 1020 (m), 927 (w), 911 (m), 848 (w), 819 (s), 806 (m), 786 (m), 762 (m), 739 (s), 723 (w), 712 (w), 690 (m), 666 (w), 651 (m), 631 (m), 611 (w), 557 (w), 550 (w). MS (GC, 70 eV): m/z (%) = 537 (M+, 2), 417 (34), 416 (100), 283 (61), 121 (88). HRMS (EI): calcd for C32H32N3O5: 538.2336, found: 538.2343.
(Z)-3-(Isopropylamino)-1-(2-(isopropylamino)-5-nitrophenyl)-3-p-tolylprop-2-en-1-one (9b). Brown oil, yield 7%. 1H NMR (250 MHz, CDCl3) δ = 1.22 (d, J = 6.5 Hz, 6H, CH(CH3)2), 1.34 (d, J = 6.4 Hz, 6H, CH(CH3)2), 2.42 (s, 3H, CH3), 3.60–3.86 (m, 2H, CH(CH3)2), 5.61 (s, 1H, –CH[double bond, length as m-dash]C), 6.61 (d, J = 9.5 Hz, 1H, Ar), 7.26–7.28 (m, 4H, tolyl), 8.08 (dd, J = 9.4, 2.6 Hz, 1H, Ar), 8.52 (d, J = 2.6 Hz, 1H, Ar), 9.51 (d, J = 7.1 Hz, 1H, NH), 10.88 (d, J = 9.3 Hz, 1H, NH). 13C NMR (250 MHz, CDCl3) δ = 21.34, 22.52, 24.19, 43.89, 46.31 (5CH3), 93.73, 110.52 (CH), 119.07 (C), 126.73, 127.33, 127.95, 129.26 (CH), 132.98, 134.94, 139.61, 153.60, 166.33, 189.50 (C). IR (ATR, cm−1): [small nu, Greek, tilde] = 2930 (w), 1596 (s), 1572 (s), 1520 (s), 1475 (m), 1315 (s), 1241 (m), 1142 (m), 1137 (m), 1060 (m), 922 (w), 896 (w), 860 (w), 739 (s), 651 (w), 577 (w). HRMS (EI): calcd for C22H27N3O3: 381.4724, found: 381.4731.
(Z)-3-(3,4-Dimethoxyphenethylamino)-1-(2-(3,4-dimethoxyphenethylamino)-5-nitrophenyl)hept-2-en-1-one (9c). Brown oil, yield 9%. 1H NMR (300 MHz, CDCl3) δ = 0.94 (t, 3J = 7.2 Hz, 3H, –(CH2)3CH3), 1.36–1.57 (m, 4H, –(CH2)3CH3), 2.22 (t, 3J = 7.62, 2H, –(CH2)3CH3), 2.91 (dt, 3J = 14.6, 3J = 7.2 Hz, 4H, 2(–NHCH2CH2–)), 3.45–3.60 (m, 4H, 2(–NHCH2CH2–)), 3.85 (s, 12H, –OCH3), 5.59 (s, 1H, –CH[double bond, length as m-dash]), 6.60 (d, 3J = 9.4 Hz, 1H, Ar), 6.75–6.84 (m, 6H, Ph), 8.10 (dd, 3J = 9.3 Hz, 4J = 2.6 Hz, 1H, Ar), 8.52 (d, 4J = 2.6 Hz, 1H, Ar), 9.52 (t, 3J = 5.2 Hz, 1H, NH), 11.21 (t, 3J = 5.8 Hz, 1H, NH). 13C NMR (75 MHz, CDCl3) δ = 13.80 (CH3), 22.70, 30.41, 32.45, 35.00, 36.56, 44.85, 45.05 (7CH2), 55.83, 55.92 (4CH3), 91.84, 110.20, 111.45, 111.47, 112.19, 112.22 (6CH), 119.59 (C), 120.68, 120.78, 126.09, 127.83 (4CH), 130.70, 131.35, 135.51, 147.81, 147.97, 148.99, 149.05, 154.19, 169.32, 189.04 (10C). IR (ATR, cm−1): [small nu, Greek, tilde] = 2931 (w), 1602 (m), 1574 (m), 1513 (s), 1463 (m), 1417 (w), 1318 (m), 1258 (s), 1233 (s), 1139 (s), 1123 (s), 1023 (s), 914 (w), 804 (m), 762 (m), 747 (m), 635 (w). MS (GC, 70 eV): m/z (%) = 591 (M−1, 2), 441 (24), 440 (88), 281 (13), 208 (10), 207 (46), 169 (20), 166 (14), 165 (100), 164 (42), 152 (22), 151 (75), 150 (15), 131 (13), 119 (13), 107 (16), 105 (18), 103 (10), 98 (12), 97 (16), 91 (21), 85 (10), 84 (15), 83 (15), 82 (13), 81 (25), 80 (12), 79 (23), 78 (15), 77 (20), 73 (26), 71 (13), 70 (13), 69 (49), 68 (15), 67 (16), 66 (11), 65 (12), 64 (10), 60 (42), 57 (25), 56 (21), 55 (40), 54 (14), 53 (12), 52 (18), 51 (14), 50 (10), 48 (10), 46 (29). HRMS (ESI): calcd for C33H42N3O7: 592.3017, found: 592.3018.
(Z)-3-(Cyclohexylamino)-1-(2-(cyclohexylamino)-5-nitrophenyl)hept-2-en-1-one (9d). Brown oil, yield 36%. 1H NMR (500 MHz, CDCl3) δ = 0.98 (t, 3J = 7.3 Hz, 3H, CH3), 1.37–1.47 (m, 11H, cyclohexyl), 1.59–1.64 (m, 5H, cyclohexyl), 1.79–1.83 (m, 4H, cyclohexyl), 1.92–1.94 (d, m, 2H, –CH2CH2CH2CH3), 2.03–2.04 (m, 2H, –CH2CH2CH2CH3), 2.30–2.34 (m, 2H, –CH2CH2CH2CH3), 3.42–3.46 (m, 2H, cyclohexyl), 5.55 (s, 1H, –CH[double bond, length as m-dash]C), 6.58 (d, J = 9.7 Hz, 1H, Ar), 8.05 (dd, 3J = 9.4 Hz, 4J = 2.7 Hz, 1H, Ar), 8.52 (d, 4J = 2.7 Hz, 1H, Ar), 9.50 (d, J = 7.2 Hz, 1H, NH), 11.19 (d, J = 8.8 Hz, 1H, NH). 13C NMR (500 MHz, CDCl3) δ = 13.83 (CH3), 22.75, 24.69, 25.27, 25.69, 31.23, 32.40, 32.57, 34.28 (13CH2), 51.12, 51.88, 91.48, 110.37 (4CH), 119.47 (C), 126.47, 127.67 (2CH), 134.85, 153.50, 168.08, 188.96 (4C). IR (ATR): [small nu, Greek, tilde] = 2926 (m), 2852 (w), 1598 (s), 1570 (s), 1522 (m), 1489 (m), 1448 (w), 1310 (s), 1256 (s), 1206 (m), 1150 (m), 1121 (s), 1097 (s), 921 (w), 888 (w), 816 (m), 747 (m), 718 (m), 650 (m). MS (GS): m/z (%) = 427 (M+, 34), 410 (23), 345 (23), 344 (100), 327 (13), 326 (50), 302 (12), 245 (37), 203 (10), 180 (20), 165 (11), 84 (11), 55 (34), 41 (19). HRMS (ESI): calcd for C25H37O3N3: 427.2829, found: 427.2827.
(Z)-1-(2-Chloro-5-nitrophenyl)-3-(3,4-dimethoxyphenethylamino)hept-2-en-1-one (10a). Brown oil, yield 39%. 1H NMR (300.13 MHz, DMSO-d6): δ = 0.92 (t, 3H, 3J = 7.2 Hz, –CH3, –n-But), 1.33–1.38 (m, 2H, –CH2–, –n-But), 1.44–1.52 (m, 2H, –CH2–, –n-But), 2.13–2.21 (m, 2H, –CH2–, –n-But), 2.89 (t, 3H, –CH2–, R1), 2.99 (3H, –OCH3), 3.51–3.58 (m, 3H, –CH2–, R1), 3.82–3.86 (m, 3H, –OCH3), 5.32 (s, 1H, –CH[double bond, length as m-dash]), 6.73–6.82 (m, 4H, Ar), 8.06 (dd, 1H, Ar), 8.23 (d, 1H, Ar), 11.29 (br s, 1H, N). 13C NMR (500 MHz, CDCl3) δ = 13.71 (CH3), 22.54, 29.95, 31.82, 36.34 (4CH2), 42.60 (CH3), 44.88 (CH2), 55.86 (CH3), 94.13, 111.38, 112.12, 113.95, 120.79, 125.51, 126.51 (7CH), 129.37, 130.72, 137.25, 147.87, 148.98, 153.87, 169.25, 190.15 (8C). MS (GC, 70 eV): m/z (%) = 447 (M+, 31), 411 (58), 231 (16).
(Z)-1-(2-Chloro-5-nitrophenyl)-3-(cyclohexylamino)hept-2-en-1-one (10b). Brown oil, yield 12%. 1H NMR (500 MHz, CDCl3) δ = 0.95 (t, 3J = 7.3 Hz, 3H, CH3), 1.37–1.47 (m, 6H, cyclohexyl), 1.56–1.63 (m, 3H, cyclohexyl), 1.81–1.84 (m, 2H, –CH2CH2CH2–), 1.92–1.94 (m, 2H, –CH2CH2CH2–), 2.30–2.33 (m, 2H, –CH2CH2CH2–), 3.47–3.53 (m, 1H, cyclohexyl), 5.23 (s, 1H, –CH[double bond, length as m-dash]C), 7.51 (d, 3J = 8.7 Hz, 1H, Ar), 8.08 (dd, 3J = 8.7 Hz, 4J = 2.8 Hz, 1H, Ar), 8.33 (d, 4J = 2.7 Hz, 1H, Ar), 11.45 (d, J = 8.1 Hz, 1H, NH). 13C NMR (500 MHz, CDCl3) δ = 13.79 (CH3), 22.61, 24.48, 25.21, 30.62, 31.73, 33.96 (8CH2), 51.95, 94.32, 123.94, 124.49, 131.05 (5CH), 137.85, 142.82, 146.34, 169.08, 184.68. IR (ATR): [small nu, Greek, tilde] = 2928 (w), 2854 (w), 1591 (s), 1573 (s), 1519 (s), 1451 (w), 1401 (w), 1336 (s), 1247 (m), 1189 (w), 1151 (w), 1122 (m), 1097 (m), 1040 (m), 917 (w), 890 (w), 866 (w), 831 (m), 739 (s), 650 (w), 578 (w), 532 (w). MS (GS): m/z (%) = 366 (M+, C19H25O3N237Cl, 10), 364 (M+, C19H25O3N235Cl, 29), 335 (12), 322 (24), 307 (13), 294 (23), 287 (26), 283 (25), 253 (14), 243 (34), 241 (100), 215 (12), 213 (36), 186 (25), 184 (76), 180 (39), 139 (10), 138 (48), 126 (10), 124 (23), 83 (11), 82 (15), 81 (11), 67 (16), 55 (50), 41 (37). HRMS (ESI): calcd for C19H25O3N235Cl: 364.1548, found: 364.1544; C19H25O3N237Cl: 366.1518, found: 366.1521.

General procedure for the synthesis of 11

Under a constant flow of an inert gas a pressure tube was charged with a magnetic stirrer, 6a (450 mg, 1 equiv.), K3PO4 (2 equiv.), extra dry dimethylformamide (6 mL) and methylaniline (1.7 equiv.). After stirring for 8 h at 120 °C the solvent was evaporated under reduced pressure. Residue was purified by a column chromatography (silica gel, heptane/ethyl acetate, 25[thin space (1/6-em)]:[thin space (1/6-em)]1).
(Z)-1-(2-Chloro-5-nitrophenyl)-3-(methyl(phenyl)amino)-3-p-tolylprop-2-en-1-one (11). Brown powder, yield 58%. Mp 118–120 °C. 1H NMR (300.13 MHz, DMSO-d6): δ = 2.08 (s, 3H, –NPhCH3), 3.37 (s, 3H, –CH3, –Tol), 5.61 (s, 1H, –COCH[double bond, length as m-dash]), 6.81 (d, 2H, 3J = 7.9 Hz, –Tol), 7.05 (d, 2H, 3J = 7.9 Hz, –Tol), 7.13–7.33 (m, 5H, Ph), 7.48 (d, 1H, 3J = 8.8 Hz, Ar), 7.73 (d, 1H, 4J = 2.8 Hz, Ar), 7.96 (dd, 1H, 3J = 8.8 Hz, 4J = 2.8 Hz, Ar). 13C NMR (300.13 MHz, DMSO-d6): δ = 20.53, 42.40 (2CH3), 103.37, 123.33, 123.44, 126.43 (4CH), 127.12, 128.05, 129.18, 129.57 (8CH), 130.65 (CH), 131.67, 136.30, 138.33, 142.69, 145.34, 145.67, 164.28, 187.40 (8C). IR (ATR, cm−1): [small nu, Greek, tilde] = 2920 (m), 1597 (m), 1488 (s), 1390 (m), 1340 (s), 1272 (m), 1093 (m), 1032 (m), 898 (m), 819 (m), 739 (s), 696 (s). MS (GC, 70 eV): m/z (%) = 406 (M+, 27), 391 (18), 390 (13), 389 (43), 250 (31), 223 (14), 222 (87), 221 (10), 207 (35), 194 (11), 184 (11), 138 (14), 133 (10), 132 (100), 115 (12), 110 (12), 106 (11), 91 (11), 77 (18). HRMS (EIHR): calcd for C23H19N2O3: 406.1078, found: 406.1084.

General procedure for the synthesis of 12

Under a constant flow of an inert gas a pressure tube was charged with a magnetic stirrer, 1-(2-chloro-5-nitrophenyl)-3-p-tolylprop-2-yn-1-one 6a (500 mg, 1 equiv.), K2CO3 (462 mg, 2 equiv.), extra dry dimethylformamide (9 mL) and diaminobutane (for 12a) or diaminohexane (for 12b) (0.51 equiv.). After stirring for 8 h at 120 °C the solvent was evaporated. Residue was recrystallized from toluene.
1,1′-(Butane-1,4-diyl)bis(6-nitro-2-p-tolylquinolin-4(1H)-one) (12a). Yellow crystals, yield 75%. Mp 370–372 °C. 1H NMR (250.13 MHz DMSO-d6): δ = 1.55 (br s, 4H, –CH2–(CH2)2–CH2–), 2.22 (s, 6H, –CH3, –Tol), 4.25 (br s, 4H, [double bond, length as m-dash]NCH2(CH2)2CH2N[double bond, length as m-dash]), 6.98 (s, 2H, 2COCH[double bond, length as m-dash]), 7.05 (d, 4H, 3J = 8.0 Hz, –Tol, –Tol′), 7.16 (d, 4H, 3J = 8.0 Hz, –Tol, –Tol′), 7.98 (d, 2H, 3J = 9.7 Hz, Ar, Ar′), 8.54 (dd, 2H, 3J = 9.7 Hz, 4J = 2.4 Hz, Ar, Ar′), 9.12 (d, 2H, 4J = 2.4 Hz, Ar, Ar′). 13C NMR (250.13 MHz, DMSO-d6): δ = 23.00 (2CH3, –Tol, Tol′), 28.31, 53.17 (4CH2), 113.21, 123.19 (4CH), 124.23 (2C), 124.46 (2CH), 130.20, 131.59 (4CH), 132.69 (2C), 132.84 (2CH), 145.19, 145.49, 148.63, 166.11, 173.26 (10C). IR (ATR, cm−1): [small nu, Greek, tilde] = 2919 (s), 1631 (s), 1470 (s), 1334 (s), 1171 (m), 1112 (m), 910 (m), 823 (s), 749 (s), 651 (m), 538 (m). HRMS (ESI-TOF): calcd for C36H30N4O6: 614.2159, found: 614.2165.
1,1′-(Hexane-1,6-diyl)bis(6-nitro-2-p-tolylquinolin-4(1H)-one) (12b). Yellow-green crystals, yield 92%. Mp 333–335 °C. 1H NMR (300.13 MHz DMSO-d6): δ = 0.84 (br s, 4H, [double bond, length as m-dash]N–(CH2)2(CH2)2(CH2)2–N[double bond, length as m-dash]), 1.53 (br s, 4H, [double bond, length as m-dash]N–CH2CH2(CH2)2CH2CH2–N[double bond, length as m-dash]), 2.23 (s, 6H, Tol–CH3), 4.34 (t, 4H, 3J = 7.6 Hz, [double bond, length as m-dash]N–CH2(CH2)4CH2–N[double bond, length as m-dash]), 7.03 (s, 2H, 2COCH[double bond, length as m-dash]), 7.17 (d, 4H, 3J = 8.3 Hz, –Tol, –Tol′), 7.21 (d, 4H, 3J = 8.3 Hz, –Tol, –Tol′), 8.06 (d, 2H, 3J = 9.7 Hz, Ar, Ar′), 8.58 (dd, 2H, 3J = 9.7 Hz, 4J = 2.6 Hz, Ar, Ar′), 9.14 (d, 2H, 4J = 2.6 Hz, Ar, Ar′). 13C NMR (250.13 MHz, DMSO-d6): δ = 22.75 (2CH3), 27.59, 31.23, 53.92 (6CH2), 112.79, 123.17, 124.07 (6CH), 124.44 (2C), 130.13 (4CH), 131.11 (2CH), 132.44 (4CH), 132.77, 144.90, 145.03, 148.26, 165.70, 172.97 (12C). IR (ATR, cm−1): [small nu, Greek, tilde] = 3057 (w), 2936 (w), 1640 (s), 1469 (s), 1330 (s), 1113 (m), 1057 (m), 910 (m), 832 (m), 745 (m), 653 (w). 528 (m). MS (GC, 70 eV): m/z (%) = 642 (M+, 5), 204 (22), 177 (51), 163 (14), 162 (100), 152 (13), 148 (11), 146 (15), 137 (22), 136 (18), 135 (13), 134 (18), 123 (11), 121 (26), 120 (23), 119 (40), 117 (13), 115 (10), 107 (10), 105 (18), 91 (30), 79 (11), 77 (25), 71 (10), 69 (15), 67 (11), 66 (56), 65 (33), 57 (16), 55 (15), 44 (100), 43 (37), 41 (22), 40 (12), 39 (24). HRMS (ESI): calcd for C38H34N4O6: 642.2472, found: 642.2478.

General procedure for the synthesis of 13

Under a constant flow of an inert gas a pressure tube was charged with magnetic stirrer, 1-(2-chloro-5-nitrophenyl)-3-p-tolylprop-2-yn-1-one 6a (250 mg, 1 equiv.), K3PO4 (354 mg, 2 equiv.), extra dry dimethylformamide (4 mL) and 6-amino-1-n-propyl-2-p-tolyl-4-quinolone 8ai (for 13a) or 6-amino-1-isopropyl-2-p-tolylquinolin-4(1H)-one 8aj (for 13b) (0.91 equiv.) under inert gas flow. After stirring for 8 h at 120 °C the solvent was evaporated. Residue was purified by a column chromatography (silica gel, heptane/ethyl acetate, 6[thin space (1/6-em)]:[thin space (1/6-em)]1 to 1[thin space (1/6-em)]:[thin space (1/6-em)]1).
6-Nitro-1′-propyl-2,2′-di-p-tolyl-4H-1,6′-biquinoline-4,4′(1′H)-dione (13a). Brown crystals, yield 11%. Mp 350–352 °C. 1H NMR (300.13 MHz, DMSO-d6): δ = 0.91–5.00 (m, 13H, Alk), 5.91 (s, 1H, –COCH[double bond, length as m-dash]), 8.39–8.90 (m, 9H, Ar), 9.44 (s, 1H, Ar), 9.66 (s, 1H, Ar), 9.97 (s, 1H, Ar), 10.79 (s, 1H, Ar), 14.27 (CF3COOD). 13C NMR (300.13 MHz, DMSO-d6): δ = 10.81, 21.56, 21.77 (3CH3), 24.43, 55.37 (2CH2), 112.01, 112.08, 123.19, 123.23 (4CH), 123.60 (2CH), 126.30 (C), 128.01 (CH), 129.19, 130.75 (4CH), 130.92 (CH), 131.42 (2CH), 131.53 (C), 131.85 (2CH), 136.48, 138.34, 142.24 (3C), 144.85, 144.86 (4C), 146.18, 148.08, 165.96, 169.66, 173.43 (5C). IR (ATR, cm−1): [small nu, Greek, tilde] = 1638 (s), 1601 (s), 1469 (s), 1337 (s), 1176 (m), 1063 (m), 822 (s), 745 (m), 582 (m). MS (GC, 70 eV): m/z (%) = 556 (M+1, 39), 555 (M+, 100), 554 (M−1, 38), 526 (11). HRMS (EIHR): calcd for C35H29N3O4: 555.2153, found: 555.2136.
1′-Isopropyl-6-nitro-2,2′-di-p-tolyl-4H-1,6′-biquinoline-4,4′(1′H)-dione (13b). Pale brown crystals, yield 19%. Mp 325–327 °C. 1H NMR (250.13 MHz, DMSO-d6): δ = 1.49 (d, 3H, 3J = 7.1 Hz, CH3, i-Pr), 1.60 (d, 3H, 3J = 7.1 Hz, CH3, i-Pr), 2.23 (s, 3H, CH3, –Tol), 2.43 (s, 3H, CH3, –Tol), 4.63 (m, 1H, i-Pr), 5.93 (s, 1H, –COH[double bond, length as m-dash]), 6.32 (s, 1H, –COH[double bond, length as m-dash]), 7.06 (d, 1H, 3J = 9.5 Hz, Ar), 7.11 (d, 2H, 3J = 8.2 Hz, –Tol), 7.33 (d, 2H, 3J = 7.9 Hz, –Tol), 7.40 (d, 2H, 3J = 8.2 Hz, –Tol), 7.47 (d, 2H, 3J = 7.9 Hz, –Tol), 7.86 (dd, 1H, 3J = 9.2 Hz, 4J = 2.6 Hz, Ar′), 8.13 (d, 1H, 3J = 9.2 Hz, Ar′), 8.25 (d, 1H, 4J = 2.6 Hz, Ar′), 8.38 (dd, 1H, 3J = 9.5 Hz, 4J = 2.8 Hz, Ar), 9.02 (d, 1H, 4J = 2.8 Hz, Ar). 13C NMR (250.13 MHz, DMSO-d6): δ = 20.28 (CH3), 20.68 (2CH3), 20.85 (CH3), 53.92 (CH), 112.39, 112.90, 120.26, 121.23, 121.45 (5CH), 124.99 (C), 126.26, 127.13 (2CH), 127.63 (2CH), 128.16 (C), 128.52, 129.07, 129.45 (6CH), 131.98 (C), 132.47 (CH), 133.52, 133.73, 138.54, 139.19, 139.76, 142.86, 146.08, 155.35, 156.16, 174.60, 175.59 (11C). IR (ATR, cm−1): [small nu, Greek, tilde] = 2922 (w), 1639 (s), 1602 (s), 1509 (m), 1469 (s), 1376 (m), 1335 (s), 1166 (m), 1063 (m), 823 (s), 746 (m), 533 (w). MS (EI, 70 eV): m/z (%) = 556 (M+1, 30), 555 (M+, 100), 514 (18), 513 (69), 512 (67), 482 (10), 467 (11), 466 (21), 44 (22). HRMS (EIHR): calcd for C35H29N3O4: 555.2153, found: 555.2145.

General procedure for the synthesis of 14

Preliminarily the 6-amino-4-quinolone 8b (0.2 g, 1 equiv.) was dissolved in 2 mL of acetonitrile. Under the flow of argon a three-necked round-bottom flask equipped with a reflux condenser and a bubble counter was charged with a magnetic stirrer, CuBr2 (1.2 equiv., 145 mg), t-BuNO2 (1.5 equiv., 0.1 mL) and 2 mL of acetonitrile. After that it was closed with a septum stopper and stirred for 15 min. After 15 min the solution of 8b was injected to the flask. The stirring was held overnight at room temperature. For product isolation the acetonitrile was evaporated under the reduced pressure and purified by the column chromatography (eluent heptane[thin space (1/6-em)]:[thin space (1/6-em)]ethylacetate 4[thin space (1/6-em)]:[thin space (1/6-em)]1; Rf ≈ 0.5). The by-product is 6-bromo-4-quinolone, yield 17%, Rf ≈ 0.25.
3,6-Dibromo-1-(4-methoxybenzyl)-2-p-tolylquinolin-4(1H)-one (14). Wight crystals, yield 72%. Mp 185–186 °C. 1H NMR (250.13 MHz, DMSO-d6): δ = 2.38 (s, 3H, –CH3, –Tol), 3.71 (s, 3H, –OCH3), 5.28 (s, 2H, –CH2–), 6.86 (d, 2H, 3J = 8.8 Hz, Ar′), 7.00 (d, 2H, 3J = 8.8 Hz, Ar′), 7.34 (s, 4H, –Tol), 7.56 (d, 1H, 3J = 9.3 Hz, Ar), 7.84 (dd, 1H, 3J = 9.3 Hz, 4J = 2.5 Hz, Ar), 8.41 (d, 1H, 4J = 2.5 Hz, Ar). 13C NMR (250.13 MHz, DMSO-d6): δ = 20.88 (CH3), 52.59 (CH2), 54.97 (CH3), 108.93 (C), 114.16 (2CH), 117.14 (C), 121.09 (CH), 125.92 (C), 126.74 (2CH), 127.49 (C), 127.69 (2CH), 128.05 (CH), 129.48 (2CH), 132.53 (C), 135.11 (CH), 138.50, 139.38, 153.82, 158.41, 169.96 (5C). IR (ATR, cm−1): [small nu, Greek, tilde] = 2919 (w), 1610 (s), (1588 (s), 1504 (s), 1454 (s), 1247 (s), 1175 (s), 1098 (m), 1029 (m), 888 (m), 804 (s), 748 (m), 657 (m), 536 (m). MS (GC, 70 eV): m/z (%) = 513 (M+, 5), 122 (26), 121 (100), 78 (10). HRMS (ESI): calcd for C24H1980Br2NO2: 510.9777, found: 510.9759; calcd for C24H1980Br81Br NO2: 512.9757, found: 512.9749; calcd for C24H1981Br2NO2: 514.9736, found: 514.9737.

General procedure for the synthesis of 15

A two-necked round bottom flask, where one neck was equipped with an airproof water condenser, was charged with a magnetic stirrer, 14 (1 equiv., 200 mg), appropriate boronic acid (2.4 equiv.), tetrakis(triphenylphosphine)palladium(0) (0.2 equiv., 96 mg) and closed with a rubber septa. This mixture was threefold vacuumized and filled with argon and afterwards 11 mL of toluene were injected to the flask through the rubber septa. K2CO3 (20 equiv., 1154 mg) dissolved in a mixture of H2O (2 mL) and MeOH (3 mL) was injected to the flask. After that the reaction was stirred under an inert atmosphere at 90 °C for 4 hours. The product was purified by column chromatography (silica gel, heptanes–ethyl acetate eluent).
3,6-Bis(4-ethylphenyl)-1-(4-methoxybenzyl)-2-p-tolylquinolin-4(1H)-one (15). Pale yellow crystals, yield 10%. Mp 232–234 °C. 1H NMR (300.13 MHz, DMSO-d6): δ = 1.15 (t, 3H, 3J = 7.5 Hz, –CH2–CH3), 1.24 (t, 3H, 3J = 7.5 Hz, –CH2–CH3), 2.22 (s, 3H, –Tol), 2.50 (1/2 q, 2H + DMSO-d6, 3J = 7.5 Hz, –CH2–CH3), 2.68 (q, 2H, 3J = 7.5 Hz, –CH2–CH3), 5.244 (s, 2H, –CH2–, Ar′), 6.89 (d, 2H, 3J = 8.7 Hz, Ar), 6.95–7.10 (m, 8H, Ar), 7.19 (d, 2H, 3J = 7.8 Hz, Ar), 7.36 (d, 2H, 3J = 7.8 Hz, Ar), 7.64 (d, 1H, 3J = 9.1 Hz, Ar), 7.68 (d, 2H, 3J = 8.1 Hz, Ar), 7.97 (dd, 1H, 3J = 9.1 Hz, 4J = 2.3 Hz, Ar), 8.54 (d, 1H, 4J = 2.3 Hz, Ar). 13C NMR (300.13 MHz, DMSO-d6): δ = 15.34, 15.52, 20.72 (3CH3), 27.74, 27.78 (2CH2), 51.06 (CH2), 54.97 (CH3), 114.15 (2CH), 118.96, 122.82 (2CH), 123.60 (C), 126.48 (4CH), 126.82, 128.52 (4CH), 128.57 (C), 128.59, 128.99 (4CH), 130.40 (CH), 131.29 (2CH), 131.59, 133, 69, 134.99, 136.29, 137.93, 139.32, 140.88, 143.27, 152, 30 (8C), 158.30 (2C), 175.09 (C). IR (ATR, cm−1): [small nu, Greek, tilde] = 2924 (w), 1591 (s), 1505 (s), 1479 (m), 1454 (m), 1327 (w), 1288 (m), 1244 (s), 1174 (m), 1113 (m), 1032 (m), 907 (m), 811 (m), 747 (m), 657 (m), 534 (m). MS (GC, 70 eV): m/z (%) = 564 (M+1, 12), 563 (M+, 32), 540 (25), 539 (72), 538 (25), 537 (70), 459 (11), 458 (11), 443 (29), 442 (64), 441 (11), 419 (19), 417 (19), 339 (11), 338 (11), 337 (11), 322 (20), 122 (77), 121 (100), 91 (12), 77 (13). HRMS (ESI-TOF): calcd for C40H37NO2: 563.2818, found: 563.2824.

General procedure for the synthesis of 16

Compound 16 was synthesized analogously to 15.
3,6-Bis(4-ethylphenyl)-4H-chromen-4-one (16). White crystals, yield 48%. Mp 135–137 °C. 1H NMR (300.13 MHz, DMSO-d6): δ = 1.25 (dt, 6H, 3J = 7.6 Hz, 2CH3–CH2–C4H4–), 2.69 (dq, 4H, 3J = 7.6 Hz, 2CH3–CH2–C4H4–), 7.31 (d, 2H, 3J = 8.2 Hz, Ar′), 7.37 (d, 2H, 3J = 8.2 Hz, Ar′), 7.56 (d, 2H, 3J = 8.2 Hz, Ar′), 7.69 (d, 2H, 3J = 8.2 Hz, Ar′), 7.77 (d, 1H, 3J = 8.8 Hz, Ar), 8.12 (dd, 1H, 3J = 8.8 Hz, 4J = 2.3 Hz, Ar), 8.33 (d, 1H, 4J = 2.3 Hz, Ar), 8.55 (s, 1H, –CH[double bond, length as m-dash]). 13C NMR (300.13 MHz, DMSO-d6): δ = 15.44, 15.58 (2CH3), 27.75, 27.92 (2CH2), 119.03, 122.29 (2CH), 123.79, 123.98 (2C), 126.73, 127.55, 128.51, 128.81 (8CH), 129.12 (C), 132.36 (CH), 135.89, 137.31, 143.53, 143.60 (4C), 154.25 (CH), 154.88, 175.13 (2C). IR (ATR, cm−1): [small nu, Greek, tilde] = 2961 (w), 1640 (s), 1610 (s), 1475 (s), 1329 (m), 1267 (s), 1229 (m), 1186 (m), 1115 (m), 1048 (m), 899 (m), 816 (s), 666 (m), 551 (m). MS (GC, 70 eV): m/z (%) = 354 (M+, 100), 339 (45), 162 (11), 115 (18). HRMS (ESI): calcd for C25H22O2: 354.1614, found: 354.1620.

Acknowledgements

Financial support by the State of Mecklenburg-Vorpommern and by the DAAD (program Zusammenarbeit deutscher und pakistanischer Hochschulen) is gratefully acknowledged. J. Iqbal is thankful to the Organization for the Prohibition of Chemical Weapons (OPCW), The Hague, The Netherlands and Higher Education Commission of Pakistan for the financial support through Project No. 20-3733/NRPU/R&D/14/520.

References

  1. J. L. Millán, Mammalian Alkaline Phosphatases. From Biology to Applications in Medicine and Biotechnology, Wiley-VCH Verlag GmbH & Co, Weinheim, Germany, 2006 Search PubMed.
  2. M. Al-Rashida and J. Iqbal, Med. Res. Rev., 2014, 34, 703–743 CrossRef CAS PubMed.
  3. R. Buchet, J. L. Millan and D. Magne, Methods Mol. Biol., 2013, 1053, 27–51 CAS.
  4. C. Fonta, L. Negyessy, L. Renaud and P. Barone, Cereb. Cortex, 2004, 14, 595–609 CrossRef PubMed.
  5. M. Smith, M. J. Weiss, C. A. Griffin, J. C. Murray and K. H. Buetow, Genomics, 1988, 2, 139–143 CrossRef CAS PubMed.
  6. H. H. Hsu and N. P. Camacho, Atherosclerosis, 1999, 143, 353–362 CrossRef CAS PubMed.
  7. H. Huse and W. Marvin, Chem. Rev., 2011, 111, 152 CrossRef CAS PubMed.
  8. A. Moyano and R. Rios, Chem. Rev., 2011, 111, 4703 CrossRef CAS PubMed.
  9. X. Han, Z. Yue, X. Zhang, Q. He and C. Yang, J. Org. Chem., 2013, 78, 4850–4856 CrossRef CAS PubMed.
  10. S. Massari, D. Daelemans, M. L. Barreca, A. Knezevich, S. Sabatini, V. Cecchetti, A. Marcello, C. Pannecouque and O. Tabarrini, J. Med. Chem., 2010, 53, 64 CrossRef PubMed.
  11. S. Messaoudi, A. Hamze, O. Provot, B. Tréguier, J. R. De Losada, J. Bignon, M.-J. Liu, J. Wdzieczak-Bakala, S. Thoret, J. Dubois, J.-D. Brion and S. Alami, ChemMedChem, 2011, 6, 488–497 CrossRef CAS PubMed.
  12. S. Rajabalian, A. Foroumadi, A. Shafiee and S. Emami, J. Pharm. Pharm. Sci., 2007, 10, 153 CAS.
  13. Y. L. Janin, Drug Discovery Today, 2010, 15, 342–353 CrossRef CAS PubMed.
  14. R. Camps, Ber. Dtsch. Chem. Ges., 1899, 32, 3228–3234 CrossRef CAS.
  15. J. P. Carrie, K. W. Anderson and S. L. Buchwald, J. Org. Chem., 2007, 72, 7968–7973 CrossRef PubMed.
  16. K. Schofield and T. Swain, J. Chem. Soc., 1950, 384–392 RSC.
  17. P. Hradil, P. Krejčí, J. Hlaváč, I. Wiedermannová, A. Lyčka and V. Bertolasi, J. Heterocycl. Chem., 2004, 41, 375–379 CrossRef CAS.
  18. L. A. Mitscher, P. N. Sharma, D. T. Chu, L. L. Shen and A. G. Pernet, J. Med. Chem., 1987, 30, 2283 CrossRef CAS PubMed.
  19. R. G. Gould and W. A. Jacobs, J. Am. Chem. Soc., 1939, 61, 2890–2895 CrossRef CAS.
  20. K. Grohe and H. Heitzer, Liebigs Ann. Chem., 1987, 1987, 29–37 CrossRef.
  21. E. Eycken, C. O. Kappe, N. Pemberton, E. Chorell and F. Almqvist, Microwave-Assisted Synthesis and Functionalization of 2-Pyridones, 2-Quinolones and Other Ring-Fused 2-Pyridones, in Microwave-Assisted Synthesis of Heterocycles, Springer, Berlin Heidelberg, 2006, vol. 1, pp. 1–30 Search PubMed.
  22. J. Shao, X. Huang, X. Hong, B. Liu and B. Xu, Synthesis, 2012, 1798–1805 CAS.
  23. R. Bernini, S. Cacchi, G. Fabrizi and A. Sferrazza, Synthesis, 2009, 1209–1219 CAS.
  24. F. C. Fuchs, G. A. Eller and W. Holzer, Molecules, 2009, 14, 3814–3832 CrossRef CAS PubMed.
  25. T. R. Ward, B. J. Turunen, T. Haack, B. Neuenswander, W. Shadrick and G. I. Georg, Tetrahedron Lett., 2009, 50, 6494–6497 CrossRef CAS PubMed.
  26. V. O. Iaroshenko, S. Mkrtchyan and A. Villinger, Synthesis, 2013, 205–218 CAS.
  27. V. O. Iaroshenko, I. Knepper, M. Zahid, R. Kuzora, S. Dudkin, A. Villinger and P. Langer, Org. Biomol. Chem., 2012, 10, 2955–2959 CAS.
  28. V. O. Iaroshenko, M. Zahid, S. Mkrtchyan, A. Gevorgyan, K. Altenburger, I. Knepper, A. Villinger, V. Y. Sosnovskikh and P. Langer, Tetrahedron, 2013, 69, 2309–2318 CrossRef CAS.
  29. V. O. Iaroshenko, S. Ali, T. M. Babar, M. S. A. Abbasi, V. Y. Sosnovskikh, A. Villinger, A. Tolmachev and P. Langer, Tetrahedron, 2013, 69, 3167–3181 CrossRef CAS.
  30. A. S. Karpov and T. J. J. Müller, Org. Lett., 2003, 5, 3451–3454 CrossRef CAS PubMed.
  31. S. S. Palimkar, P. H. Kumar, N. R. Jogdand, T. Daniel, R. J. Lahoti and K. V. Srinivasan, Tetrahedron Lett., 2006, 47, 5527–5530 CrossRef CAS.
  32. ESI.
  33. S. Narisawa, D. Harmey, M. C. Yadav, W. C. O'Neill, M. F. Hoylaerts and J. L. Millán, J. Bone Miner. Res., 2007, 22, 1700–1710 CrossRef CAS PubMed.

Footnote

Electronic supplementary information (ESI) available. CCDC 1403824, 934415–934417 and 934420. For ESI and crystallographic data in CIF or other electronic format see DOI: 10.1039/c5ra10948e

This journal is © The Royal Society of Chemistry 2015
Click here to see how this site uses Cookies. View our privacy policy here.